|
Постройте таблицу истинности для следующего логического выражения:
|
|
Постройте таблицу истинности для следующего логического выражения:
|
|
Постройте таблицу истинности для следующего логического выражения:
|
|
Постройте таблицу истинности для следующего логического выражения:
|
|
Постройте таблицу истинности для следующего логического выражения:
|
|
Постройте таблицу истинности для следующего логического выражения:
|
|
Постройте таблицу истинности для следующего логического выражения:
|
|
Постройте таблицу истинности для следующего логического выражения:
|
|
Постройте таблицу истинности для следующего логического выражения:
|
|
Постройте таблицу истинности для следующего логического выражения:
|
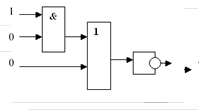
1. Составьте логическое выражение по заданной логической схеме:
Ответ: ____________________________________

2. Составьте логическое выражение по заданной логической схеме:
Ответ: ____________________________________

3. Составьте логическое выражение по заданной логической схеме:
Ответ: ____________________________________

4. Составьте логическое выражение по заданной логической схеме:
Ответ: ____________________________________

5. Составьте логическое выражение по заданной логической схеме:
Ответ: ____________________________________
![]() |
Материалы на данной страницы взяты из открытых источников либо размещены пользователем в соответствии с договором-офертой сайта. Вы можете сообщить о нарушении.