Деление смешанных чисел

  • Разработки уроков
  • docx
  • 28.10.2018
Публикация на сайте для учителей

Публикация педагогических разработок

Бесплатное участие. Свидетельство автора сразу.
Мгновенные 10 документов в портфолио.

Тип урока: Урок разноуровнего обобщения и систематизации знаний, умений и навыков. Цели: 1. Обобщить и систематизировать теоретические и практические знания, умения и навыки учащихся. Организовать работу по ликвидации пробелов в знаниях учащихся. Улучшить, расширить и углубить знания по теме. Выработать практические умения и навыки в умножении и делении смешанных чисел. 2. Совершенствовать вычислительные навыки. 3. Учиться работать в парах, самостоятельно, делать вывод.
Иконка файла материала конспект.docx
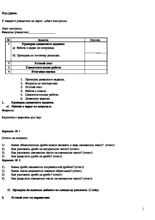
Тема: Деление смешанных чисел.   Тип урока: Урок разноуровнего обобщения и систематизации знаний, умений и навыков. 1. Обобщить   и   систематизировать   теоретические   и   практические   знания,   умения   и   навыки учащихся. Организовать работу по ликвидации пробелов в знаниях учащихся. Улучшить, расширить   и   углубить   знания   по   теме.   Выработать   практические   умения   и   навыки   в умножении и делении смешанных чисел.  2. Совершенствовать вычислительные навыки. 3. Учиться работать в парах, самостоятельно, делать вывод. Ученик должен знать: Определение взаимно обратных чисел; Правило деления обыкновенных дробей. Алгоритм деления смешанных чисел. 4. Применения – ученик должен уметь: Применять правило деления обыкновенных дробей; Делить дробь на натуральное число; Делить смешанные числа; Применять правило деления при решении примеров и задач различной степени трудности. 5. Развивающие цели позволяют: Развивать познавательный интерес учащихся; Формировать вычислительную культуру учащихся; Развивать   логическое   мышление,   то   есть   формировать   умение   наблюдать,   выявлять   закономерности, сравнивать и сопоставлять, проводить дедуктивные умозаключения и умозаключения по аналогии. 6. Воспитательные цели. Ученик: Осознанно перерабатывает полученные знания для выработки целостной системы знаний по данной теме; Формирует   умения,   организующую   деятельность:   ставить   цели   и   задачи,   определять   способы   их реализации, планировать свои действия, реализовать действия и проверить результат; Развивать самостоятельность и добросовестность. Постановка цели урока  Учитель: Ребята, чем вы с вами занимались на предыдущих уроках? Дети: Делили обыкновенные дроби и смешанные числа. Учитель:  Сегодня мы продолжим эту работу. Продолжаем совершенствовать вычислительные навыки. Продолжаем учиться делать выбор, оценивать работу свою и работу товарища. Мы будем работать в парах, индивидуально. Из всего услышанного, поставьте перед собой цель на этот урок. (Спросить 2 ­ 3 детей). Для достижения наших целей я предлагаю следующий план урока.Оценка Ход урока. У каждого учащегося на парте  «Лист контроля» Лист контроля. Фамилия учащегося:_________________ № 1 Задание Проверка домашнего задания:             а)  Работа в парах по вопросам;             б)  Проверка по готовому решению. 2 3 4 Устный счет Самостоятельная работа Итоговая оценка 1. Проверка домашнего задания. 2. Вопросы по повторению. 3. Устный счет. 4. Работа в классе. 5. Самостоятельная работа. 6. Домашнее задание. 1. Проверка домашнего задания. а)   Работа в парах по вопросам. Вопросы: Карточки с заданием для пар: Вариант № 1 Ответь на вопросы: Какие обыкновенные дроби можно записать в виде смешанных чисел?  (ответ) Как умножить дробь на натуральное число? (ответ) Как умножить смешанное число на смешанное число? (ответ) Как разделить дробь на дробь? (ответ) 1) 2) 3) 4) Вариант № 2. 1) 2) 3) 4) Какая дробь называется неправильной дробью? (ответ) Какие числа называются взаимно обратными? (ответ) Как умножить дробь на дробь? (ответ) Как разделить смешанное число на смешанное число? (ответ) б)   Проверка домашнего задания по готовому решению. (Слайд) 2. Устный счет по вариантам: 2а)  По карточкам (слайд) Сократить дробь; Записать  в виде неправильной дроби; Выделить целую часть. б)   Угадай слово.  По таблице. Кто угадает слово, тот узнает: (слайд) 1) 2) 3)       Вариант № 1.   Имя автора книги «Начала», в которой был сформулирован основной принцип построения геометрии (Евклид  (365 – 300 гг. до н.э.) – древнегреческий математик) Вариант № 2.  Имя человека, который хотел быть и юристом, и офицером, и философом, но стал математиком (Декарт (1596 – 1650 гг.) – французский математик) Оценки в лист контроля. 3. Работа в классе у доски: Задача № 818. Физкультминутка.       Выполните наклон вперед, если вы согласны с утверждением и наклоны в сторону,  если – не согласны:  1) Дробь    – несократимая; 2) 3) Число  7 – простое; Дробь   ­ неправильная; 4) Все правильные дроби меньше нуля; 35) В смешанном числе     число  8 – это числитель дроби. Самостоятельная работа. ( слайд). 4. Проверти решение по шаблону.   Оценки в лист контроля. 5. 6. 1. 2. Домашнее задание. № 809(2,4), № 814, № 873(2,4). Итог урока. Поставите итоговую оценку в лист контроля. Какие правила, мы сегодня повторили? 4

Скачивание материала доступно только для авторизованных пользователей.