Инфляция и финансовые отчеты
Инфляция является сравнительно новым экономическим фактором. Реально она появилась в XX в., хотя периоды заметного роста цен были известны и ранее. Но эти периоды были присущи отдельным странам либо имели временные ограничения, и для их характеристики не использовался термин «инфляция». Этот термин возник в связи с переходом стран к бумажным деньгам и отражал переполнение сферы денежного оборота этими деньгами.
Первоначальный смысл инфляции — это избыток бумажных денег, их обесценение в связи с этим, что ведет к росту цен. С точки зрения монетаристов инфляция — чисто денежное явление, которое является не чем иным, как современной трактовкой первоначальных форм проявления инфляции.
Инфляция в условиях металлического денежного обращения прежде всего была связана с порчей монеты ее эмитентами, т. е. снижением содержания ценного металла по сравнению с номиналом монеты и выпуском «облегченной» монеты в чрезмерном количестве, что подрывало доверие к деньгам и приводило к росту цен. Это явление многократно наблюдалось в истории.
В отечественной науке инфляция была объектом острой дискуссии. В 30-х годах XX в. инфляция трактовалась как выпуск денег сверх потребностей обращения, затем — как переполнение каналов обращения избыточной массой бумажных денег. В 40-х годах появилось толкование инфляции как любого обесценения бумажных денег (В.Т. Кротков). И.А. Трахтенберг, напротив, утверждал, что инфляция не идентична всякому росту цен, а вызывается хозяйственными процессами, связанными с переполнением сферы обращения денежной массой, недоверием к правительству, чрезмерным спросом на золото. В 50-х годах преобладала характеристика ее внешней стороны, а именно, переполнения сферы обращения избыточной массой бумажных денег по сравнению с количеством золота, необходимым для обращения. В 60—90-х годах одни утверждали, что инфляция — чисто денежный феномен с точки зрения природы и факторов развития. Другие преувеличивали роль производства в инфляционном процессе и недооценивали монетарные факторы[1].
В результате дискуссий была разработана концепция инфляции как многофакторного социально-экономического процесса, корни которого лежат в сфере воспроизводства, включая производство, обращение, обмену распределение. Эта концепция была закреплена в монографиях и вузовских учебниках.
Краткое определение инфляции означает обесценение денег по отношению к товарам и иностранным валютам. Полное понятие включает[2]:
1) главные причины (диспропорции общественного воспроизводства, диктат предприятий-монополистов и экономическую политику государства), обусловливающие денежные и неденежные факторы инфляции;
2) следствие — избыток денег по сравнению с реальными потребностями хозяйственного оборота в деньгах;
3) сущность (форма проявления) — обесценение денег в результате роста цен и снижения валютного курса;
4) социально-экономические последствия — перераспределение национального дохода и национального богатства в пользу предприятий-монополистов, «теневой экономики», государства за счет снижения реальной заработной платы, пенсий и других фиксированных доходов населения. В этом смысле инфляция подобна худшему виду налога и принудительного займа.
Таким образом, инфляция — это проблема и экономическая, и политическая. Инфляция — понятие международное, и Россия не исключение. Если сложившиеся сейчас темпы инфляции невысокие, то завтра они могут снова измениться, так как экономика развивается по спирали. При любом событии кумулятивный эффект от инфляции значителен и значительны искажения, которые она вызывает в учете, в котором активы оценены по первоначальной стоимости. Это ведет к регистрации «фиктивной» суммы прибыли, скрывает уменьшение стоимости капитала и делает недействительными многие аналитические показатели.
Инфляция действует как «налог» на остатки денежных средств. Она является достаточно разорительным налогом, потому что вызывает убытки по денежным активам, прибыль на собственный капитал и значительные изменения стоимости (в денежном выражении) других активов, а также неопределенность и риски.
Инфляция как обесценение денег проявляется в росте цен и имеет множество причин. Опыт зарубежных стран показал, что в зависимости от причин различаются следующие виды инфляции:
♦ инфляция издержек;
♦ инфляция спроса;
♦ импортируемая инфляция;
♦ умеренная инфляция;
♦ галопирующая;
♦ гиперинфляция;
♦ подавленная и т. п.
Все эти виды имели место во времени и пространстве, однако одновременное наличие всех видов инфляции не было характерным для развитых стран. Им удалось свести эти причины до минимума и снизить темп инфляции в среднем до 2% годовых.
Инфляция может приобретать различные масштабы и формы, но всегда сопровождается повышением цен и соответственно издержек производства. Она, как правило, связана с возникновением диспропорций между денежными и товарными потоками, с нарушением равновесия между спросом и предложением. Одним из важнейших показателей инфляционного процесса является индекс цен на потребительские товары. В 50-е годы в развитых странах наблюдалась «низкая» инфляция (не выше 3—4% в год), в 60-е она превратилась в «нормальную» (более 5%). В 70-е годы инфляция распространилась на все развитые страны. Именно к этому периоду относятся публикации западных экономистов, посвященные взаимосвязи инфляции и налогов. Инфляция оказывает противоречивое влияние на доходы бюджета: с одной стороны, налоговые и другие поступления возрастают, с другой — они обесцениваются.
Инфляция в конечном счете оказывает тормозящий эффект на экономический рост. В условиях роста цен связующим звеном между динамикой цен и объемом производства являются налоги, всегда принимающие форму инфляционных. Это означает, что налогом облагается та часть средств, которая при отсутствии инфляции должна быть отнесена к затратам. Инфляционный налог непосредственно связан с величиной налоговой ставки.
Проблема инфляционных налогов для предприятий связана с действующей системой бухгалтерского учета, при которой налогом облагается каждая экономическая операция (как правило, для любой экономической сделки это разница между выручкой и затратами). Налогообложение жестко привязано к стоимостной оценке экономических операций, что обеспечивается системой корреспондирующих счетов доходов и расходов. Временной разрыв между моментами осуществления затрат и получения финансовых результатов в условиях инфляции ведет к искусственному завышению рентабельности каждой экономической операции, что не учитывается при налогообложении. Этот временной разрыв представляет собой цикл реализации экономической операции. Для техноемких производств основное значение имеет производственный цикл, для торговых организаций — скорость продажи товаров.
В результате изъятия через инфляционный механизм определенной части финансовых ресурсов предприятие также испытывает недостаток средств для восстановления подорожавших оборотных фондов. Кроме того, в условиях инфляции необходимо резервировать определенные денежные суммы для выплаты обесценивающейся заработной платы. Оперативную нехватку текущих средств организация вынуждена восполнять из чистой прибыли, что при относительно сильной инфляции значительно ухудшает ее конкурентоспособность.
Таким образом, инфляция приводит к сокращению возможностей расширения производства и обновления основного капитала. В итоге может наступить момент, когда предприятие будет не в состоянии не только расширять свою деятельность, но и поддерживать ее на прежнем уровне.
Основным признаком инфляции является рост цен в среднем, т.е. увеличение усредненной цены всей номенклатуры товаров, выбранных в качестве базы выявления уровня инфляции. Не существует формальной нижней границы изменения цен, которая могла бы использоваться как критерий инфляции. Различают несколько уровней инфляции, которые можно классифицировать следующим образом (табл. 1.1).
Небольшая инфляция считается допустимой, и даже полезной, так как побуждает владельцев денег к инвестированию их в прибыльные предприятия, поскольку находящиеся без движения деньги быстро теряют в цене. Эффект инфляционных налогов носит универсальный характер; он может иметь место во всех странах мира с любым типом государственного устройства. Этот эффект объективно заставляет предприятия активизировать свои усилия по выживанию — повышать производительность труда, снижать материалоемкость производства или сокращать длительность реализационного цикла. В этом смысле Умеренная инфляция является одним из двигателей общественного прогресса.
Высокая инфляция отрицательно влияет на весь воспроизводственный процесс и является дестабилизирующим фактором развития производства и устойчивости финансового положения фирмы.
Таблица 1.1
Классификация уровней инфляции[3].

Влияние изменений уровня цен на финансовое положение организации зависит и от степени изменения уровня цен, и от структуры активов и пассивов. Изучение инфляции показало, что она может вызывать значительные изменения в отчетных производственных и финансовых результатах.
В 1990 г. был принят международный стандарт № 29 (IAS 29-90) «Финансовая отчетность в условиях гиперинфляции» в дополнение к уже существующим стандартам бухгалтерского учета № 15 «Информация, отражающая влияние изменения цен» и № 21 «Влияние изменений валютных курсов».
В IAS 29-90 сказано, что в условиях инфляции финансовые отчеты имеют смысл только тогда, когда они выражены в единицах измерения, типичных на момент представления балансового отчета. Итоговые суммы в балансовом отчете не всегда выражены в единицах измерения, соответствующих времени составления отчета, и уточняются путем введения общего индекса цен.
В стандарте № 29 приведены характеристики экономической ситуации страны, которую можно отнести к подверженной гиперинфляции[4]:
1. Совокупные темпы инфляции за три года приближаются или превышают 100%.
2. Процентные ставки, зарплата и цены связаны с индексом цен.
3. Население в целом рассматривает количество денег не с позиций местной валюты, а с позиций относительно стабильой иностранной валюты. Цены могут устанавливаться с учетом этой валюты.
4. Большинство населения предпочитает вкладывать свои сбережения не в деньги, а в имущество или относительно стабильную иностранную валюту. Суммы имеющейся местной валюты немедленно вкладываются для поддержания покупательского спроса.
5. Продажа и покупка в кредит производятся по ценам, которые должны скомпенсировать ожидаемое снижение покупательной способности в течение периода кредитования, даже если он короткий.
Учет влияния инфляции в развитых странах осуществляется, в частности, путем использования калькуляционных (расчетных) амортизационных отчислений на базе восстановительной стоимости с учетом роста цен.
Амортизационные отчисления, закладываемые в цену продукции, должны быть настолько высоки, чтобы и после вычета налога на прибыль предприятие располагало суммой, достаточной для покупки новых активов. В Великобритании, Дании и ряде других стран существует система индексации, увязывающая нормы амортизации со стоимостью замещения оборудования, что позволяет практически избежать потерь в связи с инфляцией. Специалисты Института аудиторов в ФРГ рекомендуют предприятиям учитывать рост цен на основные средства производства путем включения в баланс специального корректирующего показателя, рассчитываемого на основе официально публикуемых индексов. Другой используемый в ФРГ метод — установление высокой надбавки на прибыль. Кроме того, применение методов ускоренной амортизации означает более быстрое списание основных средств в первые годы, т.е. суммы амортизационных отчислений в этом случае приближаются к расчетным.
Поскольку предприятие непрерывно функционирует, использование методов ускоренной амортизации может фактически привести к непрерывной отсрочке обязательств. Так, при постоянной замене активов и увеличении их размера налоговые амортизационные отчисления всегда будут превышать сумму амортизации, отражаемую в финансовой отчетности. Если же темпы роста капиталовложений снизятся, отсроченные налоги придется выплачивать, поскольку соответствующая разница изменится на противоположную. Принимая во внимание фактор времени и разрыв между номинальной и реальной величинами обязательств, применение методов ускоренной амортизации можно рассматривать как взятый у государства беспроцентный кредит.
Согласно IAS 29-90 денежные пункты бухгалтерского баланса не пересматриваются, поскольку они уже выражены в единицах измерения, соответствующих времени составления балансового отчета.
Под этими пунктами понимают имеющиеся денежные средства и источники поступления денежных выплат.
Другие неденежные активы и задолженности пересчитываются. Большую часть неденежных пунктов указывают по себестоимости с учетом обесценения. Следовательно, эти пункты выражены в текущих ценах на момент их приобретения.
Пересчитанная (уменьшенная) стоимость по каждому пункту устанавливается путем прибавления к их прежней стоимости накопленной суммы обесценения общего индекса цен, действующего с момента приобретения до момента составления балансового отчета.
Так, переоцениваются за период с момента их приобретения и до начала переоценки:
· имущество;
· основные производственные средства;
· оборудование;
· инвестиции;
· перечень сырьевых ресурсов и активы в виде товаров;
· накопленные нематериальные активы предприятия, деловая репутация (гудвилл);
· патенты;
· торговые марки и т.д.
Общий индекс цен может не применяться в течение всего периода переоценки имущества, основных производственных средств, оборудования.
В этих редких случаях может возникнуть необходимость в использовании оценок, основанных, к примеру, на динамике обменного курса между денежной единицей, в которой составлен отчет, и относительно стабильной иностранной валютой.
Пересчитанная сумма неденежного актива уменьшается согласно принятому Международному учетному стандарту, если она превышает сумму покрытия из будущего актива (включая продажу или другой вид реализации). Следовательно, в таких случаях предусмотренная стоимость имущества, основных производственных средств и оборудования,/«гудвилла», патентов и торговых марок уменьшается до размеров покрытия.
Пересмотренные суммы товарных запасов уменьшаются до значений их чистой стоимости реализации, а пересмотренные размеры текущих инвестиций уменьшаются до значений их рыночной стоимости.
В «Отчете о прибылях и убытках» все суммы, подлежащие пересмотру и пересчету в текущие денежные единицы, имеющие место на момент представления балансового отчета, уточняются с помощью общего индекса цен.
Пересчет финансовых отчетов требует применения общего индекса цен, который отражает изменения в общей покупательной способности. Желательно, чтобы все предприятия, представляющие отчеты в валютных единицах экономики, подверженной гиперинфляции, применяли один и тот же индекс.
В международной практике в основном распространены два метода корректировки влияния изменяющихся цен на статьи финансовой отчетности. Эти методы основаны на двух моделях учета:
♦ модели учета в постоянных ценах (или учета общего уровня цен). Она оставляет первоначальную стоимость активов неизменной, но преобразует единицу измерения в постоянные (сопоставимые) цены;
• модели учета в текущих ценах. При использовании этой модели, наоборот, первоначальную стоимость пересчитывают в текущие цены.
Основной целью финансовой отчетности, выраженной в постоянных ценах, является представление ее в единообразных единицах покупательной способности, а не в денежных единицах, которые искажают сравнения по периодам.
Балансы в текущих ценах представляют собой более реалистичные показатели текущей экономической стоимости активов и пассивов, чем балансы в постоянных ценах. Этот метод более эффективен при отражении влияния цен на неденежные статьи, однако он не учитывает уменьшения стоимости денежных активов или снижения экономической значимости пассивов.
В целом же самые сильные стороны первого метода чаше всего являются слабыми местами второго, и наоборот.
Выражается индекс цен (инфляции) в долях единицы или процентах и рассчитывается следующим образом:

или

где
-
индекс цены (инфляции);
-
цены товаров (продукции, работ, услуг) в базисном и отчетном периодах;
количество
товаров (продукции), реализованных в отчетном периоде.
Для расчета реальной величины денежного дохода (или стоимости неденежных активов), очищенной от инфляционного влияния, необходимо разделить номинальную стоимость на индекс инфляции.
Таким образом получаем величину показателя в сопоставимых ценах.
Таблица 1.2
Индексы потребительских цен по отношению к предыдущему году (по сведениям Госкомстата России)

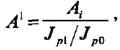
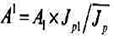
I. Использование модели постоянных цен. На индекс инфляции корректируются только неденежные статьи баланса (основные средства, нематериальные активы, сырье, материалы и другие ценности, затраты в незавершенном производстве, готовая продукция, МБП, товары). Для пересчета статей баланса в денежные единицы в сопоставимых ценах используется общая формула:

где
— реальная
(пересчитанная) величина какой-либо статьи баланса;
— номинальная
величина статьи по данным бухгалтерского учета;
— индекс инфляции
на момент (за период) анализа;
— индекс
инфляции в базисном периоде или на начальную дату составленного баланса.
Например, величина готовой продукции по данным бухгалтерского баланса на конец 2001 года составила 108164 тыс. руб. Чтобы привести эту величину в сопоставимые с началом года цены, необходимо:
![]()
Полученную величину уже можно использовать для анализа по сравнению с началом 2001 года.
Пересчет основных средств, нематериальных активов, сырья и материалов в сопоставимые цены осуществляется следующим образом:
1) все объекты группируются по годам их приобретения;
2) для каждого года стоимостная оценка вида актива пересчитывается с помощью индекса цен текущего года и года приобретения активов;
3) полученные (пересчитанные) результаты суммируются.
Инфляция влияет и на сумму полученной прибыли. Предположим, что организация затратила на производство и реализацию продукции в отчетном году 37 822 тыс. руб., а выручка составила 106 969 тыс. руб. Следовательно, доход составляет 69 147 тыс. руб. (106 969 - 37 822). Но мы знаем, что индекс инфляции в 2001 году был 1,186, значит себестоимость реализации необходимо скорректировать. Поэтому организации, если она не хочет допустить сокращения своего производства, придется уменьшить доход на 7035 тыс. руб.: (69147 - [106 969 -- (37 822 х 1,186) = 62112]) тыс. руб.
Кроме того, на сумму выручки (106 969) тоже влияют цены, но цены реализации. О том, как проанализировать это влияние, читайте в главе 3 параграф 5.
Следует помнить, что общий индекс цен может не отражать реальных изменений в стоимости разных видов основных средств. Поэтому стоимость основных средств пересчитывается по специальным коэффициентам переоценки.
II.
Использование модели текущих цен. Этот метод является
более точным, но и более трудоемким. Трудоемкость его заключается в том, что
корректировка статей баланса производится по разным видам индексов цен (индекс
роста цен по сырью и материалам, по МБП и т.д.), которые отличаются от общего
индекса цен (Jp). Кроме того, для расчета необходимо знать индексы цен и на
конец года, и в среднем за год. Остатки по неденежным счетам на конец года
умножаются на соответствующее отношение индекса цены данного вида актива на
конец года к индексу цены этого же актива в среднем за год
, где
—
средний индекс цен за год. И так по каждому виду неденежных активов. Затем все
пересчитанные суммы складываются, и получается реальная стоимость активов в
текущих ценах.
Этот метод целесообразно применять тогда, когда цены на разные группы товар но-материальных ценностей растут неодинаково.
Стоимость основных средств корректируется точно так же и, кроме того, корректируется сумма накопленного износа.
В качестве текущей стоимости могут использоваться:
1) восстановительная стоимость любых видов активов — та сумма, которую платят на рынке за аналогичные ценности, за вычетом износа;
2) ликвидационная стоимость — та, которая выражает потенциальную чистую текущую цену продажи активов, за вычетом затрат на их доработку и реализацию;
3) экономическая стоимость — это дисконтированная оценка будущих чистых поступлений, полученных от использования активов.
Скачано с www.znanio.ru
[1] Цит. Донцова Л.В., Никифоров Н.А. Анализ финансовой отчетности: Учебное пособие. – 2-е изд. – М.: Издательство «Дело и Сервис», 2004, стр. 60
[2] Донцова Л.В., Никифоров Н.А. Анализ финансовой отчетности: Учебное пособие. – 2-е изд. – М.: Издательство «Дело и Сервис», 2004, стр. 61.
[3] Лушин СИ. Роль инфляции в экономике. /Инфляция и антиинфляционная политика в России /Под ред. Л.Н. Красавиной. — М.: Финансы и статистика,2000.
[4] Донцова Л.В., Никифоров Н.А. Анализ финансовой отчетности: Учебное пособие. – 2-е изд. – М.: Издательство «Дело и Сервис», 2004, стр. 64.
Материалы на данной страницы взяты из открытых источников либо размещены пользователем в соответствии с договором-офертой сайта. Вы можете сообщить о нарушении.