Арифметические операции в позиционной системе счисления.
Цели урока:
1. Развитие логического мышления, формирование информационной культуры;
2. Развитие навыков и умений выполнения арифметических операций в позиционных системах счисления;
3. Воспитание самостоятельности при решении задач;
4. Развитие навыков самоконтроля;
5. Развитие интерес к предмету.
Задачи:
Тип урока:
Оборудование:
Формы и методы:
Фронтальная, групповая, индивидуальная.
План занятия.
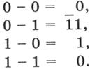
Операция сложения:

Примеры:
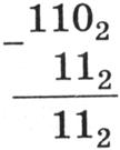
ложение многоразрядных двоичных чисел происходит в соответствии с вышеприведенной таблицей сложения с учетом возможных переносов из младших разрядов в старшие. В качестве примера сложим в столбик двоичные числа 1102 и 112:
|
|
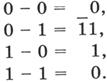
Операция вычитания:

Вычитание многоразрядных двоичных чисел происходит в соответствии с вышеприведенной таблицей вычитания с учетом возможных заемов из старших разрядов. В качестве примера произведем вычитание двоичных чисел 1102 и 112:
|
|
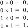
Операция умножения:
основе умножения лежит таблица умножения одноразрядных двоичных чисел:
|
|
Умножение многоразрядных двоичных чисел происходит в соответствии с вышеприведенной таблицей умножения по обычной схеме, применяемой в десятичной системе счисления с последовательным умножением множимого на цифры множителя. В качестве примера произведем умножение двоичных чисел 1102 и 112:
|
|
Арифметические операции в восьмеричной и шестнадцатеричной системах счисления. Аналогично можно выполнять арифметические действия в восьмеричной и шестнадцатерич-ной системах счисления. Необходимо только помнить, что величина переноса в следующий разряд при сложении и заем из старшего разряда при вычитании определяется величиной основания системы счисления:
|
|
Самостоятельная работа
Вычислите действия с операцией сложения:
А) 11100112+10102=1111101
Б) 1010102+101112=1000001
В) 7168+478=765
Г) 3468+548=422
Д) СА16+1716=Е1
Е) Е1С16+2D16=Е49
Самостоятельная работа
Вычислите действия с операцией вычитания:
А) 11012-1012=1000
Б) 110102-1002=10010
В) 7618-358=724
Г) 34618-5458=2714
Д) АС116-2816=а99
Е) 24С16-D816=274 1
Самостоятельная работа
Вычислите действия с операцией умножение:
А) 1102*112=10010
Б) 10012*1012=101101
В) 2038*248=5074
Г) 3428*128=4324
Д) А1416*2116=14с94
Е) А2716*1316=с0е5
Разминка:
Вычислив приведенные значения в таблице x и y, построить в координатной плоскости полученные точки и соединить их.
|
№ п\п |
X |
Y |
|
1 |
Система счисления, где существуют числа 0 и 1? |
12+02 |
|
2 |
F16-A16 |
F16-E16 |
|
3 |
D16-816 |
38+18 |
|
4 |
78-58 |
F16-B16 |
|
5 |
A16-816 |
Последняя цифра алфавита в восьмеричной системе счисления |
|
6 |
38+28 |
68+18 |
Самостоятельная работа №1
Вычислите действия с операцией сложения:
А) 11100112+10102=
Б) 1010102+101112=
В) 7168+478=
Г) 3468+548=
Д) СА16+1716=
Е) Е1С16+2D16=
Самостоятельная работа №2
Вычислите действия с операцией вычитания:
А) 11012-1012=
Б) 110102-1002=
В) 7618-358=
Г) 34618-5458=
Д) АС116-2816=
Е) 24С16-D816=
Самостоятельная работа №3
Вычислите действия с операцией умножение:
А) 1102*112=
Б) 10012*1012=
В) 2038*248=
Г) 3428*128=
Д) А1416*2116=
Е) А2716*1316=
Вычислив приведенные значения в таблице x и y, построить в координатной плоскости полученные точки и соединить их.
|
№ п\п |
X |
Y |
|
1 |
Система счисления, где существуют числа 0 и 1? |
12+02 |
|
2 |
F16-A16 |
F16-E16 |
|
3 |
D16-816 |
38+18 |
|
4 |
78-58 |
F16-B16 |
|
5 |
A16-816 |
Последняя цифра алфавита в восьмеричной системе счисления |
|
6 |
38+28 |
68+18 |
Скачано с www.znanio.ru
Материалы на данной страницы взяты из открытых источников либо размещены пользователем в соответствии с договором-офертой сайта. Вы можете сообщить о нарушении.