Тема: Алгоритмы и способы их описания
Специальность: 19.02.10 Технолог
Учебная дисциплина: Информатика
Тема 2. Информация и информационные процессы
Тип учебного занятия: комбинированный урок.
Цель учебного занятия: познакомить обучающихся с принципом обработки информации. Разобрать понятие Алгоритм и способы его описания
Обучающий компонент: создать условия для осознания обучающимися понятия Алгоритм.
Развивающий компонент: содействовать развитию познавательного интереса, умения рассуждать, логического мышления.
Воспитательный компонент: способствовать воспитанию информационной культуры обучающихся, наблюдательности, внимательности, основ коммуникативного общения.
Методы обучения: объяснительно-иллюстративный, репродуктивный
Педагогические технологии: личностно-ориентированного обучения
Формы работы: беседа, учебный диалог, анализ информации.
Ресурсное обеспечение учебного занятия:
- Учебные пособия:
- Семакин И. Г., Хеннер Е.К. Информатика. Базовый уровень М.: БИНОМ, Лаборатория знаний, 2015 год
- Цветкова М.С., Великович Л.С. Информатика и ИКТ: учебник для студ. учреждений сред.проф. образования. - М.:ИЦ «Академия», 2011. - 352 с.
Прогнозируемый результат:
По итогам учебного занятия обучающиеся должны освоить следующие личностные (ЛР), метапредметные (МР), предметные (ПР) результаты и общие компетенции(ОК):
МР1. Умение определять цели, составлять планы деятельности и определять средства, необходимые для их реализации;
МР2. Использование различных видов познавательной деятельности для решения информационных задач, применение основных методов познания (наблюдения, описания, измерения, эксперимента) для организации учебно-исследовательской и проектной деятельности с использованием информационно-коммуникационных технологий;
МР4. Использование различных источников информации, в том числе электронных библиотек, умение критически оценивать и интерпретировать информацию, получаемую из различных источников, в том числе из сети Интернет;
МР7. Умение публично представлять результаты собственного исследования, вести дискуссии, доступно и гармонично сочетая содержание и формы представляемой информации.
ОК2. Организовывать собственную деятельность, выбирать типовые методы и способы выполнения профессиональных задач, оценивать их эффективность и качество.
Ход учебного занятия
I. Организационный момент
- приветствие
- проверка готовности к учебному занятию
- целеполагание
II. Изучение нового материала
Преподаватель объявляет тему урока.
Решение задачи при помощи ЭВМ начинается с составления алгоритма. Что же такое алгоритм?
Происхождение термина «алгоритм» связывают с именем великого математика Мухаммеда аль-Хорезми (763–850 гг.), который разработал правила выполнения четырех арифметических действий.
Согласно ГОСТ 19781-74:
Алгоритм – это точное предписание, определяющее вычислительный процесс, ведущий от варьируемых начальных данных к искомому результату.
То есть алгоритм – это четкое указание исполнителю алгоритма выполнить определенную последовательность действий для решения поставленной задачи и получения результата.
Разработать алгоритм означает разбить задачу на определенную последовательность шагов. От разработчика алгоритма требуется знание особенностей и правил составления алгоритмов.
Основные особенности алгоритмов:
1. Наличие ввода исходных данных.
2. Наличие вывода результата выполнения алгоритма, поскольку цель выполнения алгоритма – получение результата, имеющего вполне определенное отношение к исходным данным.
3. Алгоритм должен иметь дискретную структуру, т.е. алгоритм представляется в виде последовательности шагов, и выполнение каждого очередного шага начинается после завершения предыдущего.
4. Однозначность – каждый шаг алгоритма должен быть четко определен и не должен допускать произвольной трактовки исполнителем.
5. Конечность – исполнение алгоритма должно закончиться за конечное число шагов.
6. Корректность – алгоритм должен задавать правильное решение задачи.
7. Массовость (общность) – алгоритм разрабатывается для решения некоторого класса задач, различающихся исходными данными.
8. Эффективность – алгоритм должен выполняться за разумное конечное время. При этом выбирается наиболее простой и короткий способ решения задачи при соблюдении, естественно, всех ограничений и требований к алгоритму.
Разработанный алгоритм может быть представлен несколькими способами:
1. на естественном языке (словесная запись алгоритма);
2. в виде блок-схем (графическая форма);
3. на языке программирования.
Словесная запись алгоритма. Словесная форма используется обычно для описания алгоритмов, предназначенных исполнителю – человеку. Команды записываются на обычном языке и выполняются по порядку. В командах могут использоваться формулы, специальные обозначения, но каждая команда должна быть понятна исполнителю. Естественный порядок команд может быть нарушен (если требуется, например, переход к предыдущей команде или требуется обойти очередную команду при каком-то условии), в этом случае команды можно нумеровать и указывать команду, к которой требуется перейти. Например, перейти к п.3 или повторить с п.4.
Графическая форма. Алгоритмы представляются в виде блок-схем. Существуют специальные стандарты для построения блок-схем, где определяются графические изображения блоков. Команды алгоритмов записываются внутри блоков на обычном языке или с использованием математических формул. Блоки соединяются по определенным правилам линиями связи, которые показывают порядок выполнения команд.
На языке программирования. Если алгоритм разработан для решения задачи на ЭВМ, то для того, чтобы он мог выполниться исполнителем – ЭВМ, его необходимо записать на языке, понятном этому исполнителю. Для этого разработано множество языков программирования для решения задач разных классов. Запись алгоритма на языке программирования называется программой.
Блок-схемой будем называть такое графическое представление алгоритма, когда отдельные действия (или команды) представляются в виде геометрических фигур – блоков. Внутри блоков указывается информация о действиях, подлежащих выполнению. Связь между блоками изображают с помощью линий, называемых линиями связи, обозначающих передачу управления.
Существует Государственный стандарт, определяющий правила создания блок-схем. Конфигурация блоков, а также порядок графического оформления блок-схем регламентированы ГОСТ 19.701-90 "Схемы алгоритмов и программ". В табл. 2.1 приведены обозначения некоторых элементов, которых будет вполне достаточно для изображения алгоритмов при выполнении студенческих работ.
1. Каждая блок-схема должна иметь блок «Начало» и один блок «Конец».
2. «Начало» должно быть соединено с блоком «Конец» линиями потока по каждой из имеющихся на блок-схеме ветвей.
3. В блок-схеме не должно быть блоков, кроме блока «Конец», из которых не выходит линия потока, равно как и блоков, из которых управление передается «в никуда».
4. Блоки должны быть пронумерованы. Нумерация блоков осуществляется сверху вниз и слева направо, номер блока ставится вверху слева, в разрыве его начертания.
5. Блоки связываются между собой линиями потока, определяющими последовательность выполнения блоков. Линии потоков должны идти параллельно границам листа. Если линии идут справа налево или снизу вверх, то стрелки в конце линии обязательны, в противном случае их можно не ставить.
6. По отношению к блокам линии могут быть входящими и выходящими. Одна и та же линия потока является выходящей для одного блока и входящей для другого.
7. От блока «Начало» в отличие от всех остальных блоков линия потока только выходит, так как этот блок – первый в блок-схеме.
8. Блок «Конец» имеет только вход, так как это последний блок в блок-схеме.
9. Для простоты чтения желательно, чтобы линия потока входила в блок «Процесс» сверху, а выходила снизу.
10. Чтобы не загромождать блок-схему сложными пересекающимися линиями, линии потока можно разрывать. При этом в месте разрыва ставятся соединители, внутри которых указываются номера соединяемых блоков. В блок-схеме не должно быть разрывов, не помеченных соединителями.
11. Чтобы не загромождать блок, можно информацию о данных, об обозначениях переменных и т.п. размещать в комментариях к блоку.
|
Название блока |
Обозначение блока |
Назначение блока |
||
|
1 |
2 |
3 |
||
|
Терминатор |
|
Начало/Конец программы или подпрограммы |
||
|
Процесс |
|
Обработка данных (вычислительное действие или последовательность вычислительных действий) |
||
|
Решение |
|
Ветвление, выбор, проверка условия. В блоке указывается условие или вопрос, который определяет дальнейшее направление выполнения алгоритма |
||
|
Подготовка |
|
Заголовок счетного цикла |
||
|
Предопределенный процесс |
|
Обращение к процедуре |
||
|
Данные |
|
Ввод/Вывод данных |
||
|
Соединитель |
|
Маркировка разрыва линии потока |
|
Комментарий |
|
Используется для размещения пояснений к действиям |
|
Горизонтальные и вертикальные потоки |
|
Линии связей между блоками, направление потоков |
Типы алгоритмов
Тип алгоритма определяется характером решаемой в соответствии с его командами задачи. Различают три типа алгоритмов: линейные, разветвляющиеся, циклические.
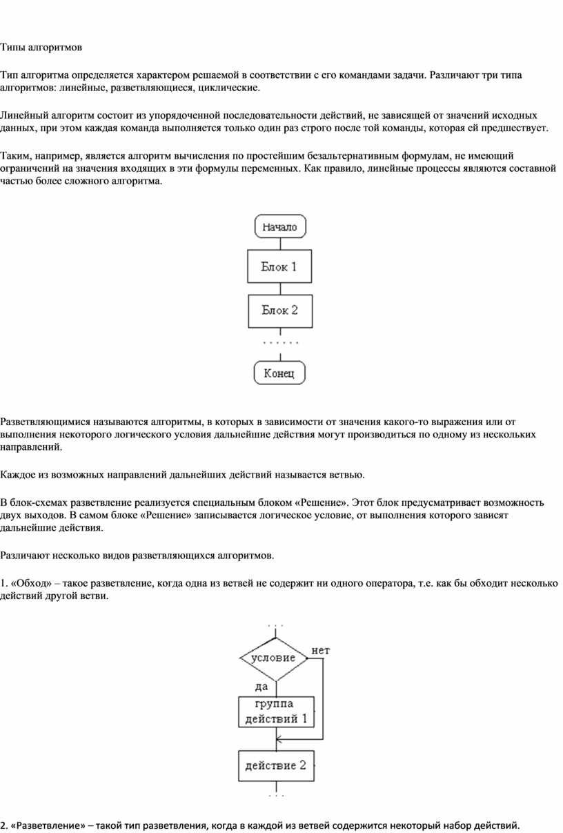
Линейный алгоритм состоит из упорядоченной последовательности действий, не зависящей от значений исходных данных, при этом каждая команда выполняется только один раз строго после той команды, которая ей предшествует.
Таким, например, является алгоритм вычисления по простейшим безальтернативным формулам, не имеющий ограничений на значения входящих в эти формулы переменных. Как правило, линейные процессы являются составной частью более сложного алгоритма.

Разветвляющимися называются алгоритмы, в которых в зависимости от значения какого-то выражения или от выполнения некоторого логического условия дальнейшие действия могут производиться по одному из нескольких направлений.
Каждое из возможных направлений дальнейших действий называется ветвью.
В блок-схемах разветвление реализуется специальным блоком «Решение». Этот блок предусматривает возможность двух выходов. В самом блоке «Решение» записывается логическое условие, от выполнения которого зависят дальнейшие действия.
Различают несколько видов разветвляющихся алгоритмов.
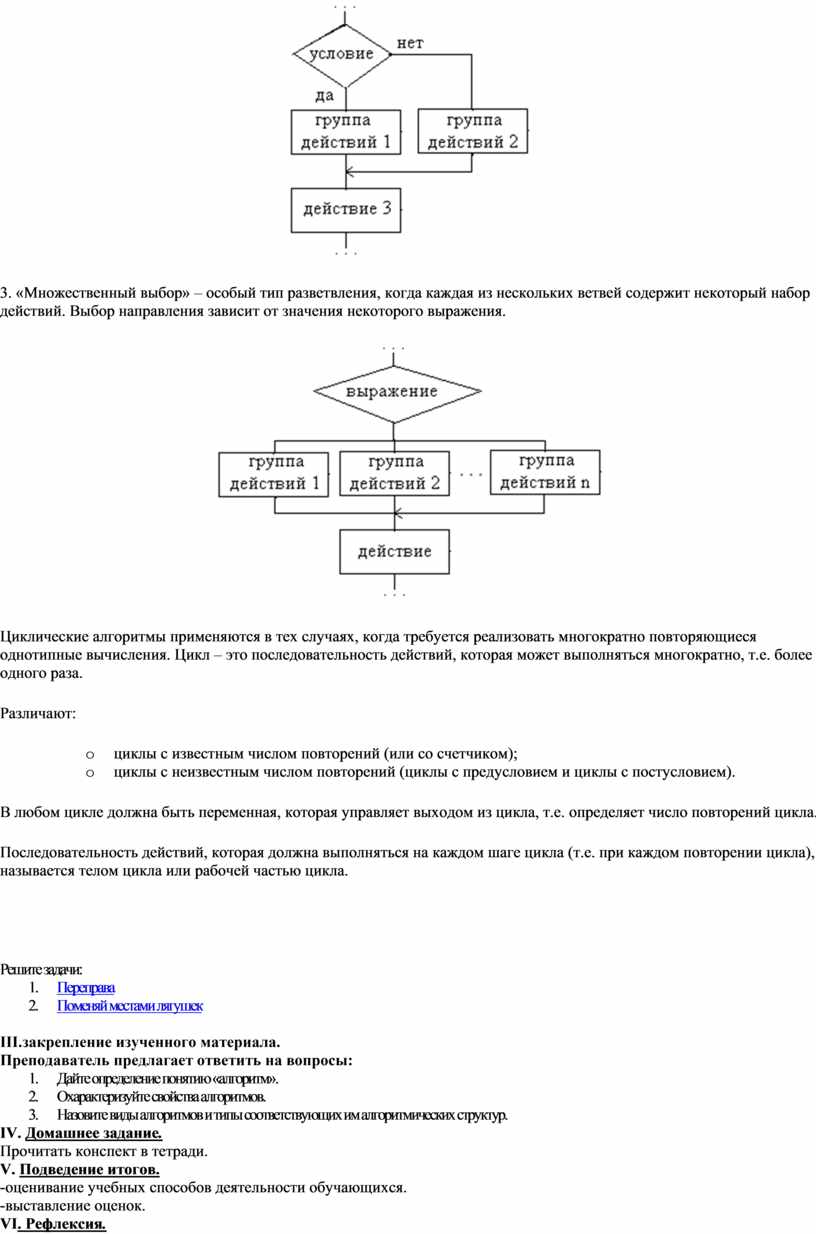
1. «Обход» – такое разветвление, когда одна из ветвей не содержит ни одного оператора, т.е. как бы обходит несколько действий другой ветви.

2. «Разветвление» – такой тип разветвления, когда в каждой из ветвей содержится некоторый набор действий.

3. «Множественный выбор» – особый тип разветвления, когда каждая из нескольких ветвей содержит некоторый набор действий. Выбор направления зависит от значения некоторого выражения.

Циклические алгоритмы применяются в тех случаях, когда требуется реализовать многократно повторяющиеся однотипные вычисления. Цикл – это последовательность действий, которая может выполняться многократно, т.е. более одного раза.
Различают:
o циклы с известным числом повторений (или со счетчиком);
o циклы с неизвестным числом повторений (циклы с предусловием и циклы с постусловием).
В любом цикле должна быть переменная, которая управляет выходом из цикла, т.е. определяет число повторений цикла.
Последовательность действий, которая должна выполняться на каждом шаге цикла (т.е. при каждом повторении цикла), называется телом цикла или рабочей частью цикла.
Решите задачи:
III.закрепление изученного материала.
Преподаватель предлагает ответить на вопросы:
IV. Домашнее задание.
Прочитать конспект в тетради.
V. Подведение итогов.
-оценивание учебных способов деятельности обучающихся.
-выставление оценок.
VI. Рефлексия.
Используется методический прием «Три предложения»:
Обучающиеся должны передать содержание темы тремя предложениями.
Скачано с www.znanio.ru
Материалы на данной страницы взяты из открытых источников либо размещены пользователем в соответствии с договором-офертой сайта. Вы можете сообщить о нарушении.