Министерство образования и науки Хабаровского края
Краевое государственное бюджетное образовательное учреждение
среднего профессионального образования
«Комсомольский-на-Амуре судомеханический техникум»
(КГБОУ СПО СМТ)
Методическая разработка конспекта урока
по предмету «Информатика и ИКТ»
Тема: Информация. Информационные процессы
Технический профиль
2014 г.
Методическая разработка урока по теме: «Информация. Информационные процессы» предназначена для преподавателей информатики и ИКТ.
Разработала преподаватель информатики КГОУ СПО «Комсомольский-на-Амуре» АПЕЧЕНКО Татьяна Леонидовна.
Рецензент: Ковалева Наталья Анатольевна – заместитель директора по ТО
Методическая разработка конспекта урока составлена для проведения уроков теоретического обучения по предмету «Информатика и ИКТ». Данный материал поможет спланировать урок по теме «Информация. Информационные процессы» в группах по профессиям технического профиля, а также провести входной контроль среди учащихся 9-х классов, поступивших в НПО и СПО. Интересные задания и изложение материала позволят вызвать у учащихся интерес к предмету.
Адрес училища: 681000, г. Комсомольск–на–Амуре
улица Аллея Труда, д. 10
тел:
(4217)59-29-79
Дата проведения: ___________________________
Место проведения: КГБОУ СПО СМТ Кабинет информатики № 17
Продолжительность урока: 90 минут
Тема: «Информация. Информационные процессы»
Оборудование: Компьютер, мультимедийный проектор, презентация к уроку MS Power Point, контрольный тест входного контроля, экран, на доске термины.
План урока:
1. Организационный момент
2. Актуализация знаний
3. Основная часть урока
а) теоретическая часть № 1 /объяснение нового материала «Информация» с сопровождением презентации MS Power Point/
б) теоретическая часть № 2 /объяснение нового материала «Информационные процессы» с сопровождением презентации MS Power Point/
4. Закрепление материала /устная работа с учащимися по предложенным системам - озвучивание/
5. Подведение итога урока по теоретической части. Рефлексия
6. Задание на дом
7. Прохождение Входного контроля
Тема: «Информация. Информационные процессы»
Цели урока (часть 1): - составить представление об информации;
- освоить понятие «информационный объект»;
- различать виды и свойства информации.
Цели урока (часть 2): - научиться определять виды информационного процесса в системах различной природы;
- научиться работать со знаком и образом, как носителями информации.
Ход урока:
I. Организационный момент
Приветствие. Проверка присутствующих.
II. Актуализация знаний
Сообщение темы урока, целей. Запись в тетради.
(Приложение 1 Слайд 1-3)
Вопросы для актуализации знаний:
- Какой предмет мы будем изучать?
- Что изучает информатика?
- Почему возникла необходимость в новой науке?
- Знания, каких научных направлений легли в основу информатики?
III. Основная часть урока
Теоретическая основа урока № 1:
- Что Вы понимаете под информацией? (Обычно учащиеся начинают перечислять, что это новости, сведения, новые знания и т. д.)
- А теперь подумайте, почему явление одно, а называют ее разными словами? Наверно потому, что до сих пор не могут определиться; что же такое информация.
- Давайте, понаблюдаем то, что мы видим за окном. Что вы можете сказать о природе? (Наступила осень.)
- Но, почему Вы решили, что наступила осень? (Листья желтые, похолодало, постоянно капает дождь)
- Но ведь нигде не написано, что это признаки осени. (Но мы знаем, что все это означает, что наступила осень.)
- Поэтому и получается, что, то знание, которое мы извлекаем из окружающей действительности и есть информация.
После обработки информацию можно сохранять на бумаге (в тетради, книге и т. д.), тогда для другого человека, все эти знания будут сведениями. Но, то, что он возьмет для себя из этих сведений будет уже информацией. Обработав и запомнив информацию, мы получим знания. Получается такая цепочка: (Слайд 4)
Собранная человечеством и хранящаяся в книгах информация называется сведениями. Читая книги, мы извлекаем из них информацию. Из одной и той же книги разные люди извлекают разную информацию. Даже один и тот же человек, читая одну и ту же книгу, может каждый раз извлекать разную информацию. Извлеченная информация обрабатывается и сохраняется в головном мозге человека и становится его знаниями. Не вся информация может стать знаниями человека, часть может быть потеряна, а часть обогащена имеющимися знаниями человека.
Информация - это смысл, содержащийся в объектах окружающей действительности. Для того чтобы обладать информацией, необходимо извлекать этот смысл, основное содержание объективной действительности для удовлетворения своих информационных потребностей. (Слайд 5)
Информация содержится везде. Дерево содержит собственную генетическую информацию, и только благодаря этой информации от семечка березы вырастает только береза. Для деревьев источником информации является воздух, именно по уровню состояния воздуха дерево может определить время распускания почек. Перелетные птицы знают свой маршрут перелета, и каждая стая идет только своим заданным в генах маршрутом.
Во всех этих примерах всегда присутствуют два объекта: это источник информации и приемник информации. Например: на небе появилась туча. Это признак того, что может пойти дождь. Но когда человек, увидев эту тучу, берет в руки зонт, эта тучка превращается для человека в источник информации.
С такой информацией нам приходится иметь дело на интуитивном уровне. Мы уже приучены делать выводы из явлений окружающей нас среды и выполнять определенные действия. Для нас более существенна та информация, которая может пригодиться в учебной и трудовой деятельности. К такому выводу в свое время пришли и ученые разных направлений и стран. И первым шагом в усвоении информации стало ее представление удобное для хранения, сбора и передачи. Очень часто формы представления информации называют видами информации и различают текстовую, символьную, графическую и музыкальную формы. (Слайд 6-7)
Одна и та же информация может быть представлена различными способами. Например, дом может быть представлен в виде рисунка, наборов букв, числа, звука голоса. При этом различными являются лишь способы представления, а сама информация остается неизменной. Различные способы представления информации позволяют описывать объективную действительность необходимыми для той или иной ситуации средствами. Для дальнейшего изучения нам будет интересно представление данных в такой форме, в какой будет возможно хранение и передача информации автоматическими средствами.
Одним из главных достижений человечества стало создание письменности. Когда окружающий мир стали описывать с помощью символов или знаков. Конечная совокупность знаков, использующаяся для хранения информации и оперирующая определенными правилами, называется алфавитом. (Слайд 8) Примерами алфавитов являются не только набор знаков русского или другого языков, но и язык жестов, математический набор символов. Предметы, использующиеся для хранения и передачи информации, называются носителями. Носителями информации является компьютерный диск, книга, берестяная грамота и т. д. Данные носители позволяют сохранять информацию. (Слайд 9)
Для передачи информации используются другие носители, основными из которых являются сигнал и знак. Знаки являются носителями смысловой информации в социальных и коммуникативных системах, сигналы - носителями информации в технических, социотехнических и биологических системах и средах. Различие между знаком и сигналом состоит в множественности смыслов (трактовки) знака для приемника информации и в однозначности «трактовки» конкретного сигнала приемником информации в технических системах и средах.
Прагматический аспект знаков и сигналов состоит в том, что информация может передаваться как знаками, так и сигналами, в зависимости от природы системы, в которой протекает информационный процесс. Для технических устройств, сигнал и информация, которую он «несет» неразрывны, т. е. приемник информации может единственно возможным способом декодировать (интерпретировать) поступающий сигнал, так что передаваемая информация будет «адекватна» получаемой информации (в случае отсутствия помех в канале связи).
Чего нельзя сказать о знаке как носителе информации. Одним и тем же знаком и/или определенной последовательностью небольшого числа различных знаков можно отобразить смысловое (семантическое) многообразие окружающего мира (например, в процессе письменной передачи информации).
Знаки делятся на: иконические знаки (материальные или графические подобия-копии объекта), индексы (отражающие признаки объекта) и символы (графические объекты, в которых связь самого знака с объектом условна, знаки в какой-нибудь системе языка). Под знаком в данной работе понимается некий материальный или графический объект, выступающий в качестве заместителя объекта-оригинала, использующийся для хранения, обработки и обмена информацией об объекте-оригинале и обладающий множественностью трактовки. Знак отличается от сигнала своей семантической наполненностью. (Ч. Пирс).
Множественность или однозначность толкования знака или сигнала зависит от приемника информации. Если же знак рассматривать безотносительно к приемнику информации, тогда он может выступать в роли признака или симптома. (В отличие от знаков, сигналы могут быть дискретными или непрерывными, однако последнее в базовом курсе информатики давать, нежелательно из-за несогласованности программ по физике и информатике.)
При дальнейшем рассмотрении курса школьной информатики мы чаще всего будем иметь дело с информационными объектами. Что собой представляет информационный объект?
Это логически связанный блок информации, о каком-либо объекте действительности и выраженный с использованием различных форм представления. Например, это может быть текст, сюжетный рисунок, музыкальный файл, фотография и т. д. В компьютерных системах приходится оперировать информационными объектами.
Теоретическая основа урока № 2: (Слайд 10)
Информационный процесс — процесс, в результате которого осуществляется прием, передача (обмен), преобразование и использование информации.
С помощью органов чувств люди воспринимают информацию, осмысливают ее и на основании своего опыта, имеющихся знаний, интуиции принимают определенные решения. Эти решения воплощаются в реальные действия, которые в разной степени преобразуют окружающий мир.
Информационные процессы протекают не только в человеческом обществе, но и в растительном мире.
Почему осенью опадают листья и, вся растительность засыпает на время холодов, а с приходом весны вновь появляются листья, трава, цветы? Почему определенные виды растений зацветают в одно и то же время года? Это тоже результат информационных процессов. Клетка любого растения воспринимает изменения внешней среды (температуру, влажность, время суток) и соответствующим образом реагирует на них.
Аналогичные, но уже более сложные процессы происходят и в животном мире, представители которого воспринимают информацию головным и спинным мозгом. (Слайд 11)
![]()
![]()

Степень развития мозга определяет реакцию животного на поступающие сообщения. Так для собаки и ежа, которые живут в одной квартире, одно и то же событие может нести разную информацию. Например, звонок в дверь сообщает собаке о появлении человека, тогда как для ежа он не имеет никакого значения. Зато прикосновение к иголкам ежа служит для него сигналом опасности, и он сворачивается в шар. Собака реагирует на прикосновение совсем иначе.
Но не будем излишне увлекаться примерами. Ясно одно — в человеческом обществе, в растительном и животном мире постоянно протекает великое множество информационных процессов, в которых люди, животные и растения участвуют в соответствии со своими возможностями. Это то, что отличает живую природу от неживой, у которой отсутствуют органы восприятия и обработки сигналов внешней и внутренней среды. Здесь изменения могут происходить только в результате физического или химического воздействия, а не информационного процесса.
С середины XX века интенсивность информационных процессов существенно увеличилась. Лавинообразный поток информации, хлынувший на человека, уже не воспринимается в полном объеме; ориентироваться в нем становится все труднее и труднее. Подчас оказывается проще заново создать какой-либо продукт, нежели разыскивать аналог, сделанный ранее. Встречным процессом является постоянное обновление и совершенствование способов, помогающих человеку воспринимать, преобразовывать, хранить и использовать информацию.
При обмене информацией необходимо учитывать очень важный фактор - это как сохраняется информация в памяти человека. Любые знания в памяти хранятся в виде образов. Данный образ включает весь комплекс восприятия человека. То есть с определенным словом связываются все ощущения: тактильные, вкусовые, зрительные, слуховые, вестибулярные, мышечные и т. д.
Невозможно двум абсолютно
одинаковым людям создать полностью одинаковые условия для воспроизведения в
памяти абсолютно одинакового образа.
IV. Закрепление изученного материала
Как мы уже отмечали, для обмена информацией необходимо существование системы, состоящей из источника информации и приемника информации.
/Затем необходимо привести примеры различных систем с выделением источника, приемника, носителя информации и что выступает каналом передачи информации, при этом постоянно повторяются слова «система», «элементы системы», «связь между элементами»./
Учитель - ученик: учитель - источник информации, ученик - приемник информации, носитель информации - звуковая волна, воздух - канал передачи информации.(Слайд 12)
Человек - компьютер: человек - источник информации, компьютер - приемник, электричество - носитель информации, канал передачи - провода. (Слайд 13)
Компьютер - человек: Компьютер - источник, человек - приемник, канал передачи - монитор, носитель информации - изображение на экране. (Слайд 14)
Для закрепления учебного материала предлагается привести несколько примеров систем различной природы с описанием всех элементов информационного обмена.
/Практика показывает, что учащиеся с трудом находят примеры из жизни. Сложность составляет выделение из окружающей среды какого-либо объекта в виде информационной системы и выделения элементов системы. Чаще всего предлагают примеры, аналогичные рассмотренным преподавателем./
Можно еще предложить примеры, очень интересные в методическом плане:
Отопительная система - человек: Отопительная система - источник информации, человек - приемник, канал передачи - воздух, носитель информации - воздух. (Слайд 15)
Отопительная система - человек, который держит руку на отопительной системе: Отопительная система - источник информации, человек - приемник, канал передачи - отопительная система, носитель информации - отопительная система (вода не является носителем информации, т. к. непосредственный контакт осуществляется именно с отопительной системой). (Слайд 16)
V. Подведение итога урока. Рефлексия.
Подводя итог: (Слайд 17)
ü Информация отображает все многообразие окружающего мира, поэтому не может иметь одно определение.
ü Информация - это смысл, содержащийся в объектах окружающей действительности.
ü Для оперирования информация должна быть представлена соответствующим способом.
ü Одним из распространенных способов представления информации является алфавит.
ü Носителями информации называют объекты, использующиеся как для хранения информации, так и для передачи информации.
ü Носителями смысловой информации в социальных и коммуникативных системах являются знаки.
ü Носителями информации в технических, социотехнических и биологических системах и средах являются сигналы.
- Прежде чем я задам домашнее задание ответьте на маленькие вопросы: (Слайд 18)
ü Сегодня я узнал…
ü Было интересно…
ü Было трудно…
ü Я понял, что…
ü Теперь я могу…
ü Я приобрел…
ü Я научился…
ü У меня получилось …
ü Я смог…
ü Я попробую…
ü Меня удивило…
ü Урок дал мне для жизни…
VI. Домашнее задание (Слайд 19)
1. Привести 10 примеров систем, в которых должны быть выделены источник и приемник информации, носитель и канал передачи информации. Подготовиться к проверке знаний по пройденному материалу.
2. Выучить основные определения
рассмотренных понятий; найти примеры видов знаков и сигналов в различных системах.
VII. Прохождение Входного контроля
/Учащимся предлагается пройти тест входного контроля за курс неполной средней школы /4 варианта/
I – вариант
1. Какая из систем счисления является оптимальной для представления данных в технических устройствах?
а) десятичная; г) восьмеричная;
б) римская; д) шестнадцатеричная.
в) двоичная;
2. Видеопроцессор оперирует...
а) числовой информацией; г) текстовой;
б) символьной; д) графической.
в) музыкальной информацией;
3. Какая программная среда используется (в основном) для оперирования числовыми данными?
а) текстовый редактор; г) графический редактор;
б) табличный процессор; д) презентация.
в) калькулятор;
4. К устройствам вывода графической информации относятся...
а) принтеры; г) сканеры;
б) графопостроители; д)
внешняя память.
в) дисплей;
5. Какой элемент является минимальным объектом электронной таблицы?
а) лист; г) строка;
б) ячейка; д) диапазон ячеек.
в) столбец;
6. Рабочей книгой называют...
а) руководство пользователя; г) готовую презентацию;
б) элемент электронной таблицы; д) документ, созданный в среде
в) документ текстового редактора; электронной таблицы.
7. Что из перечисленных объектов не может являться носителем информации:
а) знак; г) палитра;
б) сигнал; д)
пиктограмма.
в) пиксель;
8. Строка формул используется...
а) только для ввода формул; в) для ввода текстовых объектов;
б) для ввода и отображения любых значений г) для отображения имени активной
активной ячейки; ячейки;
д) для ввода числовых данных.
9. Какая из прикладных программ является средством обработки графической информации?
a) Word; г) Excel;
б) Paint; д)
PowerPoint.
в) Access;
10. Компьютер это -
а) электронное вычислительное устройство для обработки чисел;
б) устройство для хранения информации любого вида;
в) многофункциональное электронное устройство для работы с информацией;
г) устройство для обработки аналоговых сигналов.
11. Чем отличаются относительные ссылки от абсолютных?
а) способом обозначения;
б) способом отображения в активной ячейке;
в) способом обозначения и способом реакции на перенос значения ячейки при копировании;
г) способом реакции на перенос значения ячейки при копировании;
д) способом изменения значений ячейки при автозаполнении.
12. Блок-схемой называют...
а) текстовое представление алгоритма;
б) графическое представление алгоритма;
в) словесное описание;
г) представление алгоритма с использованием программного кода;
д) программный код.
13. Как называется способ многократного выполнения действий в зависимости от заданного условия?
а) выбор; г) линейный алгоритм;
б) ветвление; д) подпрограмма.
в) цикл;
14. Метод последовательной детализации позволяет разработать следующую структуру:
а) выбора; г) линейную структуру;
б) ветвления; д) подпрограмму.
в) цикла;
15. Манипулятор "мышь" - это устройство:
а) ввода информации; в) считывание информации;
б) модуляции и демодуляции; г) для подключения принтера к компьютеру.
16. При отключении компьютера информация стирается:
а) из оперативной памяти; в) на магнитном диске;
б) из ПЗУ; г) на компакт-диске.
17. Привод гибких дисков - это устройство для:
а) обработки команд исполняемой программы;
б) чтения/записи данных с внешнего носителя;
в) хранения команд исполняемой программы;
г) долговременного хранения информации.
18. Файл - это:
а) элементарная информационная единица, содержащая последовательность байтов и имеющая уникальное имя;
б) объект, характеризующихся именем, значением и типом;
в) совокупность индексированных переменных;
г) совокупность фактов и правил.
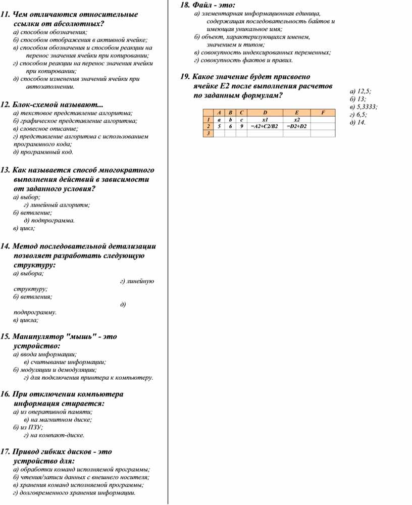
19. Какое значение будет присвоено ячейке
Е2 после выполнения расчетов по заданным формулам?
|
|
A |
B |
C |
D |
E |
F |
|
1 |
a |
b |
c |
x1 |
x2 |
|
|
2 |
5 |
6 |
9 |
=A2+C2/B2 |
=D2+D2 |
|
|
3 |
|
|
|
|
|
|
20. Задание: Распределите названия предложенных устройств компьютера,
заполнив таблицу (можно дополнить своими вариантами)
![]() |
||||||||||||||||||||||
![]() |
||||||||||||||||||||||
![]() |
||||||||||||||||||||||
![]() |
![]() |
|||||||||||||||||||||
![]() |
||||||||||||||||||||||
![]() |
||||||||||||||||||||||
![]() |
||||||||||||||||||||||
![]() |
![]() |
|||||||||||||||||||||
![]() |
||||||||||||||||||||||
![]() |
||||||||||||||||||||||
![]() |
||||||||||||||||||||||
Эталон ответов на контролирующие задания
тестового типа по предмету: «Информатика и ИКТ»
для выявления уровня подготовки учащихся, поступивших на первый курс
|
№ вопроса |
I вариант |
||||||||||||||||||||||||||||||||||||||||||
|
1 |
2 |
||||||||||||||||||||||||||||||||||||||||||
|
1. |
в |
||||||||||||||||||||||||||||||||||||||||||
|
2. |
д |
||||||||||||||||||||||||||||||||||||||||||
|
3. |
б |
||||||||||||||||||||||||||||||||||||||||||
|
4. |
б |
||||||||||||||||||||||||||||||||||||||||||
|
5. |
б |
||||||||||||||||||||||||||||||||||||||||||
|
6. |
д |
||||||||||||||||||||||||||||||||||||||||||
|
7. |
в |
||||||||||||||||||||||||||||||||||||||||||
|
8. |
б |
||||||||||||||||||||||||||||||||||||||||||
|
9. |
г |
||||||||||||||||||||||||||||||||||||||||||
|
10. |
в |
||||||||||||||||||||||||||||||||||||||||||
|
11. |
в |
||||||||||||||||||||||||||||||||||||||||||
|
12. |
б |
||||||||||||||||||||||||||||||||||||||||||
|
13. |
в |
||||||||||||||||||||||||||||||||||||||||||
|
14. |
д |
||||||||||||||||||||||||||||||||||||||||||
|
15. |
а |
||||||||||||||||||||||||||||||||||||||||||
|
16. |
а |
||||||||||||||||||||||||||||||||||||||||||
|
17. |
б |
||||||||||||||||||||||||||||||||||||||||||
|
18. |
а |
||||||||||||||||||||||||||||||||||||||||||
|
19. |
б |
||||||||||||||||||||||||||||||||||||||||||
|
20. |
|
Критерии оценок:
Оценка «5» - все задания верны
Оценка «4» - если неверны 4 задания
Оценка «3» - если неверны 8 заданий
Оценка «2» - если неверны более 8 заданий
Примечание: Задание под №20 – является дополнительным, т.е. необязательным, но при правильном выполнении, заменяет 4 вопроса из основного списка вопросов
Преподаватель: __________ /_Т.Л. Апеченко_/
, /подпись/ /Ф.И.О./
Приложение
Слайды к уроку





































Материалы на данной страницы взяты из открытых источников либо размещены пользователем в соответствии с договором-офертой сайта. Вы можете сообщить о нарушении.