Как упростить логическую формулу?
Равносильные преобразования логических формул имеют то же назначение, что и преобразования формул в обычной алгебре. Они служат для упрощения формул или приведения их к определённому виду путем использования основных законов алгебры логики.
|
Под упрощением формулы, не содержащей операций импликации и эквиваленции, понимают равносильное преобразование, приводящее к формуле, которая либо содержит по сравнению с исходной меньшее число операций конъюнкции и дизъюнкции и не содержит отрицаний неэлементарных формул, либо содержит меньшее число вхождений переменных. |
Некоторые преобразования логических формул похожи на преобразования формул в обычной алгебре (вынесение общего множителя за скобки, использование переместительного и сочетательного законов и т.п.), тогда как другие преобразования основаны на свойствах, которыми не обладают операции обычной алгебры (использование распределительного закона для конъюнкции, законов поглощения, склеивания, де Моргана и др.).
Покажем на примерах некоторые приемы и способы, применяемые при упрощении логических формул:
1) ![]()
(законы алгебры логики применяются в следующей последовательности: правило де
Моргана, сочетательный закон, правило операций переменной с её инверсией и
правило операций с константами);
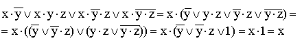
2) ![]()
(применяется правило де Моргана, выносится за скобки общий множитель,
используется правило операций переменной с её инверсией);
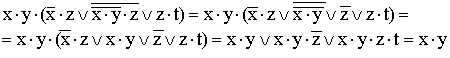
3) ![]()
(повторяется второй сомножитель, что разрешено законом
идемпотенции; затем комбинируются два первых и два последних сомножителя и
используется закон склеивания);
4) 
(вводится вспомогательный логический сомножитель (
); затем
комбинируются два крайних и два средних логических слагаемых и используется
закон поглощения);
5) ![]()
(сначала добиваемся, чтобы знак отрицания стоял только перед отдельными
переменными, а не перед их комбинациями, для этого дважды применяем правило де
Моргана; затем используем закон двойного отрицания);
6) ![]()
(выносятся за скобки общие множители; применяется правило операций с
константами);
7) 
(к отрицаниям неэлементарных формул применяется правило де Моргана;
используются законы двойного отрицания и склеивания);
8) 
(общий множитель x выносится за скобки, комбинируются
слагаемые в скобках — первое с третьим и второе с четвертым, к дизъюнкции
применяется
правило операции переменной с её инверсией);
9) 
(используются распределительный закон для дизъюнкции, правило операции
переменной с ее инверсией, правило операций с константами, переместительный
закон и распределительный закон для конъюнкции);
10) 
(используются правило де Моргана, закон двойного отрицания и закон поглощения).
Из этих примеров видно, что при упрощении логических формул не всегда очевидно, какой из законов алгебры логики следует применить на том или ином шаге. Навыки приходят с опытом.
Материалы на данной страницы взяты из открытых источников либо размещены пользователем в соответствии с договором-офертой сайта. Вы можете сообщить о нарушении.