Работу выполнил
___________________________________
Логические
основы ЭВМ. Построение логических схем.
Логический
элемент компьютера – это часть электронной
логической схемы, которая реализует элементарную логическую функцию.
Алгоритм
построения логических схем
![]()
Домашнее
задание (часть 1). Постройте логические схемы, соответствующие логическим
выражениям.
![]()
Домашнее задание (часть 2).
![]()
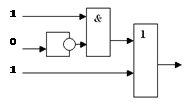
Составьте логическое выражение,
соответствующее логической схеме. Определите сигнал на выходе

Работу выполнил ___________________________________
Логические
основы ЭВМ. Построение логических схем.
Логический
элемент компьютера – это часть электронной
логической схемы, которая реализует элементарную логическую функцию.
Алгоритм
построения логических схем
![]()
![]()
Домашнее
задание (часть 1). Постройте логические схемы, соответствующие логическим
выражениям.
Домашнее задание (часть 2).
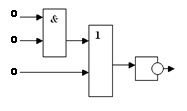
Составьте
логическое выражение, соответствующее логической схеме. Определите
сигнал на выходе
![]() |
Работу выполнил
___________________________________
Логические
основы ЭВМ. Построение логических схем.
Логический
элемент компьютера – это часть электронной логической
схемы, которая реализует элементарную логическую функцию.
Алгоритм
построения логических схем
![]()
![]()
Домашнее
задание (часть 1). Постройте логические схемы, соответствующие логическим
выражениям.
Домашнее задание (часть 2).
![]()

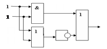
Составьте логическое
выражение, соответствующее логической схеме. Определите сигнал на
выходе
Работу выполнил
___________________________________
Логические
основы ЭВМ. Построение логических схем.
Логический
элемент компьютера – это часть электронной
логической схемы, которая реализует элементарную логическую функцию.
Алгоритм
построения логических схем
![]()
![]()
Домашнее
задание (часть 1). Постройте логические схемы, соответствующие логическим
выражениям.
Домашнее задание (часть 2).
![]()
Составьте логическое выражение,
соответствующее логической схеме. Определите сигнал на выходе
Работу выполнил
___________________________________
Логические
основы ЭВМ. Построение логических схем.
Логический
элемент компьютера – это часть электронной
логической схемы, которая реализует элементарную логическую функцию.
Алгоритм
построения логических схем
![]()
![]()
Домашнее
задание (часть 1). Постройте логические схемы, соответствующие логическим
выражениям.
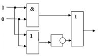
Домашнее задание (часть 2).
Составьте логическое выражение, соответствующее логической схеме. Определите сигнал на выходе
![]() |
|||||
![]() |
|||||
Работу выполнил
___________________________________
Логические
основы ЭВМ. Построение логических схем.
Логический
элемент компьютера – это часть электронной
логической схемы, которая реализует элементарную логическую функцию.
Алгоритм
построения логических схем
![]()
![]()
Домашнее
задание (часть 1). Постройте логические схемы, соответствующие логическим
выражениям.
Домашнее задание (часть 2).
![]()

Составьте
логическое выражение, соответствующее логической схеме. Определите сигнал
на выходе
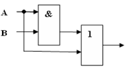
Составьте логическое выражение по заданной логической схеме:

Ответ: ____________________________________
Упростим
Определите логический элемент


Скачано с www.znanio.ru
Материалы на данной страницы взяты из открытых источников либо размещены пользователем в соответствии с договором-офертой сайта. Вы можете сообщить о нарушении.