ТЕХНОЛОГИЧЕСКАЯ КАРТА ФРАГМЕНТА УРОКА
Ф.И.О. участника – Федотова Татьяна Александровна
Тема – «Периметр прямоугольника»
Класс - 2
Цель: Создание условий для формирования у обучающихся умения находить периметр прямоугольника разными способами, развития навыков практического применения математических знаний.
|
ПЛАНИРУЕМЫЕ РЕЗУЛЬТАТЫ (ДЛЯ УЧЕНИКА) |
|
ПРЕДМЕТНЫЕ находить периметр прямоугольника разными способами; распознавать и называть геометрические фигуры — круг, квадрат, прямоугольник, треугольник; устанавливать между объектами соотношения: «слева-справа», «спереди-сзади», между; выполнять арифметические действия: сложение и вычитание, в пределах 100;
|
|
МЕТАПРЕДМЕТНЫЕ Регулятивные: сохранять учебную задачу урока (самостоятельно воспроизводить её в ходе выполнения работы на различных этапах урока); выделять из темы урока известные и неизвестные знания и умения; планировать свои действия в течение урока; оценивать правильность выполнения заданий. Познавательные:понимать содержание текста, ориентироваться в учебнике при поиске необходимой информации, фиксировать полученную информацию в виде опорных предложений для устной интерпретации. Коммуникативные:включаться в диалог и коллективное обсуждение вопросов с учителем и сверстниками; формулировать ответы на вопросы, высказывать мотивированное, аргументированное суждение по теме урока; договариваться и приходить к общему решению в совместной деятельности. |
|
ЛИЧНОСТНЫЕ осознание причастности к успеху в учебной деятельности; рациональная организация мыслительной деятельности; |
Формы работы учащихся: фронтальный опрос, индивидуальная работа, работа в парах, работа в группах.
Техническое оборудование: презентация, интерактивная доска, документ-камера, планшеты, карточки для парной работы, карточки для групповой работы.
|
ЭТАП УРОКА |
ДЕЯТЕЛЬНОСТЬ УЧИТЕЛЯ |
ДЕЯТЕЛЬНОСТЬ УЧАЩИХСЯ |
|
ОРГМОМЕНТ
|
-Здравствуйте, ребята.
|
ПРИВЕТСТВИЕ УЧИТЕЛЯ |
|
1.Этап мотивации (самоопределения) к учебной деятельности. |
-Здравствуйте, дорогие ребята! Я рада приветствовать вас сегодня здесь. Посмотрите друг на друга. Улыбнитесь. Передайте ваше настроение окружающим. Я желаю вам сохранить это тепло и радость на всё наше занятие. Садитесь удобно. Проверьте свою готовность: на парте линейка, простой карандаш и тетрадь. Готовы к открытиям? Тогда начинаем! |
— Здравствуйте! Проверяют готовность, настраиваются на работу |
|
2.Актуализация и фиксирование индивидуального затруднения в пробном действии
|
Чтобы выполнить следующее задание с
геометрическими фигурами, слушайте меня внимательно. - А сейчас давайте проверим с эталоном на доске, правильно ли вы выложили геометрические фигуры. Поднимите руку, кто не допустил ни одной ошибки. - Молодцы.
На доске рисунок: Красивая
прямоугольная рамка для фотографии. Длины сторон подписаны: длина = 5
см, ширина = 2 см. - Тесьма — это узкая тканая или плетёная полоса или шнур, обычно имеющая только одну систему косо переплетёных нитей. - Чтобы купить нужное количество тесьмы, что нам нужно сделать? - Верно, нам надо найти периметр этой рамки. Откройте тетради, запишите сегодняшнее число и классная работа. Найдите периметр этой прямоугольной рамки и запишите решение в тетрадь - Давайте проверим. Маша какой периметр у тебя получился? У кого другой результат? Объясни как ты его получил? - Молодцы. (на экране пример). Это ребята 1 способ нахождения периметра прямоугольника. Мы вычисляем сумму длин всех сторон прямоугольника.
— Отлично! Теперь представьте, что
Петя — очень творческий человек. Он хочет сделать точно такие же рамки для
фотографий бабушки, дедушки и сестрёнки. Ему нужно украсить 4 рамки.
Каждый раз писать и считать 5 + 2 + 5 + 2, потом снова 5 + 2
+ 5 + 2... Петя думает, что можно посчитать быстрее и короче. |
- Первое решено правильно
Прогнозируемое действие большинства учащихся: Дети применят общее правило для
нахождения периметра и, скорее всего, запишут сложение всех сторон по
порядку: Это верный ответ, но способ — «простое сложение всех сторон» — является пробным действием на основе старого знания. Затруднения в получении ответа пока нет.
- Да! (Дети показывают своё первое решение: 8+5+8+5).
|
|
3.Этап выявления места и причины затруднений
|
- Справились ли вы с задачей Пети? Смогли найти, сколько тесьмы нужно для одной рамки? - А получилось ли у вас придумать для Пети лёгкий и быстрый способ, чтобы он не запутался, делая много рамок? Запишите этот короткий способ. — ... (Возникнет пауза и затруднение. Они знают ответ, но не могут сформулировать рациональный приём). - Я вижу, задача оказалась непростой. Мы смогли найти периметр, но нам пока трудно найти короткий, удобный способ вычисления, который сэкономит время. Значит, у нас возникло затруднение.
|
(Внимательно слушают, осознают проблему) Сумма длин всех сторон прямоугольника
Кто-то из детей может сказать, если нет, то прочитать из словаря Ожегова |
|
4.Этап построения проекта выхода из создавшейся ситуации (ТЕМА, ЦЕЛЬ, ЗАДАЧИ/ПЛАН УРОКА)
|
— Хорошо, проблему мы с вами определили. Теперь давайте вместе подумаем, как должна звучать тема нашего урока?
- Отлично. Тема нашего урока: «Периметр прямоугольника» Теперь, зная тему, определим цель.
Что мы должны научиться делать? 3. Применять эти способы для решения задач.
-Отлично, мы определили тему, цель и план урока. |
- О прямоугольнике - О периметре - «Периметр прямоугольника»
|
|
5.Реализация построенного проекта – ЭТАП ОНЗ
|
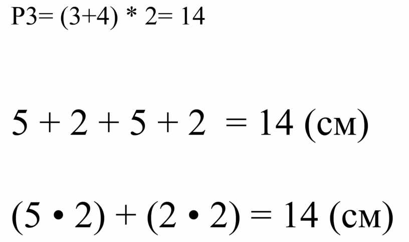
-Приступим к выполнению первого пункта плана. - Попробуйте сформулировать определение, что же такое периметр прямоугольника? - Периметр прямоугольника - это сумма длин всех его сторон. Обозначается латинской буквой Р. А вы знаете откуда пришло к нам это слово? - Оказывается в Древнем Египте границы земельных участков измерялись ходьбой, т.е. египтяне шли по границе своего участка и измеряли его. «Пире» означает ходить, а «метрос» измерять т.е. измерять ходьбой. — Так, с первым пунктом плана разобрались. - Приступаем ко второму пункту плана. - 1 способ нахождения периметра прямоугольника мы с вами уже установили: 2 + 5 +2 + 5=14 см. - Запишем это выражение с помощью букв, если ширина - а,а длина равна в, периметр - Р. -Кто готов озвучить формулу? (На экране появляется формула: 1 способ: Р=а+в+а+в - сумма длин всех сторон
- Вспомним основные свойства прямоугольника
- Давайте вернёмся к первому способу нахождения периметра прямоугольника. Внимательно посмотрите на математическую запись. Что вы заметили? 2 + 5 + 2 + 5 = 14 (см) - Чем мы можем заменить сумму одинаковых слагаемых? - Перепишите решение задачи с использованием действия умножения. Продиктуйте какая запись получится. 5•2 +2•2 =14 см - Обратите внимание на результат.
- Запишем это выражение с помощью букв: 2 способ: Р=а•2+в•2. Это 2 способ нахождения периметра прямоугольника. Запишите формулу и решение задачи вторым способом в тетрадь.
- Может кто-то из вас предложит ещёодинспособ вычисления периметра прямоугольника? (возвращаю к 1 записи 2 + 5 + 2 + 5 = 14 (см)) - Обратите внимание на сумму длины и ширины. Сколько раз она встречается в записи? Значит как можно переписать эту формулу? Р=(5+2)*2 - Запиши это выражение с помощью букв: 3 способ: Р=(а+в)•2 . Это третий способ вычислений: Вот мы и узнали еще один способ вычисления периметра прямоугольника. (Памятка с формулами на доску) Памятка «Нахождение периметра прямоугольника» а – длина в - ширина Р1 = а + в + а + в - сложили все стороны Р2 = а • 2 + в • 2 - сумму одинаковыхслагаемых заменили умножением Р3 = (а + в) • 2 - сумму длин соседнихсторон умножили на два - Вернемся ко второму пункту плана. Справились ли мы с ним? Теперь можем сделать вывод: - Сколько способов вычисления периметра прямоугольника существует? - Какой способ наиболее удобный? Почему? - Молодцы. Давайте проверим наше открытие с помощью учебника. Откройте стр 26, №1. Верны наши рассуждения?
- Приступим к выполнению третьего пункта. Парная работа -Ребята, я предлагаю вам поработать в парах. - У вас на столах лежат планшеты. Включите их, перед вами задание. Не забывайте, планшет должен находиться на расстоянии 30 - 40 см. нужно работать только чистыми руками. Даны карточки с разными этапами решения задачи на нахождение периметра прямоугольника. Карточки перемешаны. Расставь этапы в правильном порядке, чтобы получился план решения задачи.
https://learningapps.org/watch?v=pcfduu8ua26
|
- Сумма длин всех сторон фигуры
Слушают учителя
Р=а+в+а+в
- У прямоугольника 4 угла, 4 стороны, все углы прямые, противоположные стороны равны.
- Мы заметили одинаковые слагаемые
- Умножением
Он совпадает с ответом при решении 1 способом.
Сначала выполняем действие в скобках: 4 + 3 = 7 А затем умножаем число 7 на 2: 7 · 2 = 14.
Да
три
Третий, потому что в нем меньше действий, чем в предыдущих способах
Выполняют задание
|
|
6. Этап первичного закрепления с проговариванием во внешней речи
|
-Вы устали? Тогда давайте проведем небольшую физкультминутку для глаз. Мы гимнастику для глаз Выполняем каждый раз. Вправо, влево, вверх и вниз, Повторить ты не ленись. Очертите глазами круг Быстро быстро поморгайте Укрепляем мышцы глаза. Видеть лучше будем сразу.
Групповая работа. - Предлагаю вам поработать в группах. В каждой группе есть командир, спикер, секретарь. Распределяет роли: Командир: (даёт главную мысль по изучаемому материалу). Спикер (выступает перед классом с готовым решением группы.). Секретарь (записывает решение). -Не забывайте про правила работы в группах.(на слайде) 1.Работать должен каждый на общий результат. 2.Один говорит, другие слушают. 3.Свое несогласие высказывать вежливо. 4.Если не понял, переспроси. - Вам нужно по рисунку найти периметры каждого прямоугольника и записать решение.
- По окончанию задания группа должна просигнализировать об этом. - Вижу обе группы справились с заданием. А сейчас спикер 1 группы выйди к доске и покажи ваше решение под документ камерой. Обведи наименьший периметр. 2 группа согласна с решением? Молодцы. - Хорошо. Присаживайтесь. Спикер 2 группы выйди к доске и покажи ваше решение под документ камерой. Обведи наименьший периметр. - 1 группа, ваше мнение по поводу представленного решения? Молодцы. Присаживайся. - Вы отлично справились с заданием.
- А теперь мы отдохнем и проведем физкультминутку.
|
Делают гимнастику для глаз.
Выполняют парную работу. |
|
7.Этап самостоятельной работы с проверкой по эталону
|
- Молодцы, ребята. Вы упорно работали- и это принесло результат, у вас всё получилось. Теперь поработаем индивидуально. Откройте учебник на странице 26, №7. Первый вариант решает первые два примера, 2 вариант решает третий и 4 пример.
- Все выполнили задание? Сверьте свои ответы с эталоном на доске. - Внимание на доску. Будьте честны с собой: сверяем аккуратно. - Кто не допустил ни одной ошибки? -Вот это результат. Вы сегодня — чемпионы внимания и точности. - Кто допустил одну ошибку? - Молодцы, что подняли руки. Честность — первый шаг к успеху. Давайте исправим и запомним. |
Выполняют тест.
Проверяют задание |
|
8.Этап включения в систему знаний и повторения |
Где в жизни нам может пригодиться умение находить периметр прямоугольника? (Связь с реальностью). - Верно! Чтобы узнать, сколько купить бордюра для клумбы, забора для участка. Мы не просто решаем примеры, а учимся решать жизненные задачи. - Вернёмся к нашему плану. Справились ли мы с третьим пунктом плана? Молодцы. - Подведём итоги. -Над какой темой работали? -Какую учебную цель ставили? - Обратимся к плану, который мы составили в начале урока. Всё ли нам удалось выполнить? - Так что же такое периметр прямоугольника? |
-
забор для участка
Повторяют тему, цель
Подводят итоги по плану
Периметр – сумма длин всех сторон |
|
9.Этап рефлексии учебной деятельности на уроке -рефлексия успешности -рефлексия эмоциональности
|
- Давайте мы с вами поиграем в игру «ДА-НЕТ». Если я буду называть верное утверждение, то покажите прямоугольник, если неверное, то круг. 1. Верно ли, что прямоугольник обозначается латинской буквой Р (да) 2. Верно ли, что прямоугольником может быть любой четырехугольник (нет) 3. Периметр прямоугольника - это сумма длин всех его сторон? (да) 4. Верна ли формула: Р=(а+b)×4 (нет) - Молодцы!
-Я хочу, чтобы каждый из вас оценил свою работу на уроке. Посмотрите на слайд и выберите подходящую фигуру. -Вы все молодцы, активно работали на уроке и выполняли все задания. Спасибо всем за работу! |
Оценивают свою работу на уроке с помощью предложений.
|
Командир: (даёт главную мысль по изучаемому материалу).
Спикер (выступает перед классом с готовым решением группы.).
Секретарь (записывает решение).
Командир: (даёт главную мысль по изучаемому материалу).
Спикер (выступает перед классом с готовым решением группы.).
Секретарь (записывает решение).
Задание для первой группы

Решение:
Р1= (4 + 2) * 2= 12
Р2= (6 + 2) * 2= 16
Р3= (3+4) * 2= 14
Задание для второй группы

Решение
Р1= (6+3) * 2= 18
Р2= (6 + 2) * 2= 16
Р3= (3+4) * 2= 14
5 + 2 + 5 + 2 = 14 (см)
(5 • 2) + (2 • 2) = 14 (см)
(5 + 2) • 2 = 14 (см)
Скачано с www.znanio.ru
Материалы на данной страницы взяты из открытых источников либо размещены пользователем в соответствии с договором-офертой сайта. Вы можете сообщить о нарушении.