Контрольная работа по алгебре 11 класса по теме «Первообразная и интеграл»
I вариант II вариант
1. Найти первообразную в общем виде

2. Найти первообразную, график которой проходит через т.А

3. Вычислить интеграл

4. Найти площадь криволинейной трапеции
![]()
5. Найти площадь фигуры, ограниченной графиками функции
![]()
Ответы
I вариант
№1
а) ![]()
б) ![]()
в) ![]()
№2
а) с=7
, ![]()
б) с=1
, ![]()
в) с=-2
, ![]()
№3
а)
3 б)
в) ![]()
№4
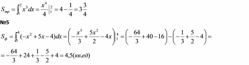
![]()
№5

II вариант
№1
а) ![]()
б) ![]()
в) ![]()
№2
а) с=2
, ![]()
б) c=5
, ![]()
в) с=1
, ![]()
№3
а) -45
б) 241 в) ![]()
№4
![]()
№5

Материалы на данной страницы взяты из открытых источников либо размещены пользователем в соответствии с договором-офертой сайта. Вы можете сообщить о нарушении.