Контрольная работа

  • docx
  • 14.11.2025
Публикация на сайте для учителей

Публикация педагогических разработок

Бесплатное участие. Свидетельство автора сразу.
Мгновенные 10 документов в портфолио.

Иконка файла материала Контрольная работа №4по теме «Рациональные числа»..docx

 

 
 

 

 

 

 

 


Предмет

Математика

Класс

6

УМК

С. М. Никольский, М. К. Потапов и др. «Математика. 6 класс»

Уровень обучения

базовый

Тема

Контрольная работа №4по теме «Рациональные числа».

Общее количество часов, отведённое на тему

 

37

Место урока в системе уроков по теме

 

36 урок - урок контроля знаний и умений (УКЗиУ)

Цели

Дидактическая цель:проверить уровень знаний и умений учащихся.

Цели по содержанию:

 - Обучающие: проверить уровень знаний и умений учащихся, контроль над усвоением знаний и умений учащихся по теме «Рациональные числа»; обеспечить усвоение образовательных стандартов; осуществлять оперативный контроль процесса обучения.

 - Развивающие: способствовать развитию умения анализировать, сравнивать, обобщать, делать выводы, развивать внимание.

- Воспитательные: воспитывать культуру математических записей, воспитывать активность, аккуратность, прививать умение выслушивать других, способствовать пониманию необходимости интеллектуальных усилий для успешного обучения, положительного эффекта настойчивости для достижения цели.

Задачи урока

Контроль усвоения изученного материала.

Планируемые результаты

 

Предметные УУД: Демонстрируют умение расширять и обобщать сведения о вычислении значений алгебраической суммы двух чисел; могут предвидеть возможные последствия своих действий.

Могут самостоятельно выбрать рациональный способ решения заданий на вычислениезначений алгебраической суммы двух чисел;владеют навыками самоанализа и самоконтроля, контроля и оценки своей деятельности.

Личностные УУД: формировать учебную мотивацию, адекватную самооценку, необходимость приобретения новых знаний;

Познавательные УУД: формировать навыки решения задач на действия с целыми числами.

Регулятивные УУД: понимать учебную задачу урока, осуществлять решение учебной задачи под руководством учителя, определять цель учебного задания, контролировать свои действия в процессе его выполнения, обнаруживать и исправлять ошибки, отвечать на итоговые вопросы и   достижения;

Коммуникативные УУД: воспитывать любовь к математике, коллективизм, уважение друг к другу, умение слушать, дисциплинированность, самостоятельность мышления.

Техническое обеспечение урока

Компьютер, проектор, экран настенный, карточки с заданиями контрольной работы (1-2 варианты)

 

СТРУКТУРА И ХОД УРОКА

Этап

урока

Решаемая задача

Деятельность учителя

 

Деятельность ученика

УУД

 

1

2

 

3

4

6

1

Организационный этап.

Включение учащихся в учебную деятельность

Приветствие, проверка подготовленности к учебному занятию, организации рабочего места. 

¾    Здравствуйте ребята!

¾    Проверьте, все ли у вас готово к уроку?

¾    На столе у вас должны лежать: черновик, дневник,  ручка.

Ученики слушают и записывают в контрольных тетрадях число, вариант №1 (№2).

Коммуникативные: Умение слушать и вступать в диалог

Регулятивные: Прогнозирование своей деятельности.

Личностные: Умение выделять нравственный аспект поведения

2

Постановка цели и задач урока. Мотивация учебной деятельности учащихся.

Настроить учащихся на выполнение контрольной работы

Сформулировать задачи урока

Дает рекомендации по выполнению, оформлению и критериям оценки заданий контрольной работы.

Знакомятся с материалом контрольной работы.

Коммуникативные: Умение слушать и вступать в диалог

Регулятивные: Прогнозирование своей деятельности.

Личностные: Умение выделять нравственный аспект поведения

3

Выявление знаний, умений и навыков, проверка уровня сформированности у учащихся общеучебных умений

Формировать умения складывать, вычитать, умножать и делить дроби, находить

значения выражений рациональным способом

применяя законы действий; умеют

формулировать полученные результаты.

Умеют изображать точки на координатной оси с заданным единичным отрезком, определять расстояние между точками, находить среднее арифметическое чисел;

владеют навыками самоанализа и самоконтроля.

 

 

 

Комментирует и направляет работу учащихся.

 

Учащиеся работают по карточкам с текстами контрольной работы.

Познавательные: Выделение и формулирование познавательной цели, рефлексия способов и условий действия. Анализ и синтез объектов.

 

Коммуникативные: Поддержание здорового духа соперничества для поддержания мотивации учебной деятельности.

Личностные: Формирование мотивации к самосовершенствованию.

 

Регулятивные: Планирование своей деятельности для решения поставленной задачи, моделирование.

4

Итог урока (рефлексия)

 

Осознание учащимися своей учебной деятельности, самооценка деятельности

¾    Ребята оцените свою работу на уроке.

¾    В чём затруднение…

 

Ученики отвечают на  вопросы,  задают вопросы, если они есть, анализируют свою работу на уроке.

 

Личностные: Нравственно-этическая ориентация.

 

Регулятивные: Оценка результатов деятельности,  осознание качества и уровня усвоения материала.

 

Познавательные: Рефлексия способов и условий деятельности, контроль и оценка процесса и результата деятельности.

 

Коммуникативные: Аргументация своего мнения, планирование учебного сотрудничества.

5

Подача домашнего задания

 

Закрепление знаний, умений, полученных на уроке;

Воспитание ответственного отношения к учебному труду.

Краткое пояснение домашнего задания.

 

 

 

Записывают домашнее задание, задают вопросы по выполнению домашнего задания:

         повт. изуч. материал.

 

 

Приложение 1

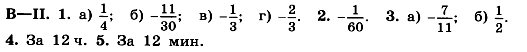
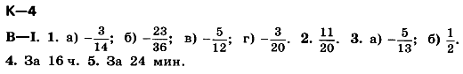
Приложение 2 (ответы)