Линейные уравнения

  • pptx
  • 22.09.2025
Публикация на сайте для учителей

Публикация педагогических разработок

Бесплатное участие. Свидетельство автора сразу.
Мгновенные 10 документов в портфолио.

Иконка файла материала линейные уравнения 20.09.24.pptx

Линейные уравнения

Определение

Уравнение:

Уравнением с одной переменной, называется равенство, содержащее только одну переменную.

Линейное уравнение:

Уравнение вида ax = b называется линейным.
3x = 9  ( ax = b )
3x - 3 = 9
  3x = 9 + 3 3x = 12  ( ax = b )

Алгоритм сведения линейного уравнения к виду ax = b

1.Раскрой скобки, если они есть в уравнении

3.Приведи подобные слагаемые

4.Найди корень уравнения.

2.Перенеси слагаемые из одной части уравнения в другую.

5.Запиши ответ.

Пример решения линейного уравнения

Алгоритм:

1. Раскрой скобки, если они есть в уравнении.
2.Перенеси слагаемые из одной части уравнения в другую.
3.Приведи подобные слагаемые
4.Найди корень уравнения.
5. Запиши ответ.

Уравнение:

5(2х-3)= 2(3х+1)-6
10х-15=6х+2-6
10х-6х=2-6+15


4х=11

х=11:4
х=2,75
Ответ: 2,75

Способы решения уравнений, сводимых к линейным

Применение свойств уравнений

Свойство:

При переносе слагаемого из одной части уравнения в другую с противоположным знаком, получается уравнение с теми же корнями

Уравнение:

4х-8=20
4х=20+8
4х=28
х=7
Ответ:7

Применение свойств уравнений

Свойство:

При умножении или делении обеих частей уравнения на одно и то же число, отличное от нуля, мы получим уравнение с теми же корнями (решениями).

Уравнение:

Уравнение:




При умножении обеих частей уравнения на одно и то же число, отличное от нуля, мы получим уравнение с теми же корнями (решениями).

Решение:

НОК(7;10)=70
10(8х-3)-7(3х+1)=2∙70
80х-30-21х-7=140
80х-21х=140+7+30
59х=177
х=177:59
х=3
Ответ: 3

8х−3 7 8х−3 8х−3 7 7 8х−3 7 - 3х+1 10 3х+1 3х+1 10 10 3х+1 10 =2

Уравнение с числовыми наменателями (пропорция)

Уравнение:





В верной пропорции произведение ее крайних членов равно произведению ее средних членов

Решение:

4(х+2)=5(3Х-5)
4х+8=15х-25
4х-15х=-25-8
-11х=-33
х=-33:11
х=3
Ответ: 3

х+2 5 х+2 х+2 5 5 х+2 5 = 3х−5 𝟒 3х−5 3х−5 𝟒 𝟒𝟒 3х−5 𝟒

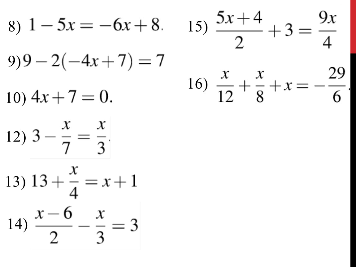
Решите уравнения

1)

2)

3)

4)

5)

6)

7)

8)

9)

10)

12)

13)

14)

15)

16)

1. 7 – 2х = 9 – 3х
2. 11х = 6 + 5(2х – 1)
3. 6(2х – 3) – 3х = 2х – 4
4. 4(3х + 5) – 5(4х – 3) = 3
5. 5х – 3(4х – 1) = 7 – 2(7х + 2)
6. –5,6(x – 3) + 2,lx = –3,5x + 10

ВАРИАНТ 1

1. 11х – 3= 6х + 12
2. 6(2х – 5) – 4 = 2
3. 6х – 1 = 3х + 5(4х – 7)
4. 4(6х + 5) – 5(7х – 4) = х
5. 4х – 6(3х + 8) – 5(2х – 7) = 35
6. 7(2x – 3) + 1 = 2(7x – 10)

ВАРИАНТ 2

1. 7х – 8 = 2х + 17
2. 2х = 3(2х + 1) + 5
3. 7(2х + 3) + х = 4х – 12
4. 7х – 3(4х – 3) = 7(3х + 5)
5. 5(2 – 5х) – 7(4х – 1) = 6х – 42
6. 2(8x – 1) – 8(2x – 3) = 13

ВАРИАНТ 3

1. 7х + 11 = 4х + 2
2. 4(5х – 1) = 3х + 13
3. 7х + 3 = 4(3х – 2) + 1
4. 5(3х – 2) – 3(6х + 5) = –1
5. 3 – 4(5х + 2) – 3(6х – 5) = 2х
6. 8(2x – 1) – 2(8x – 3) = 2

ВАРИАНТ 4

Итог урока

Линейное уравнение ах=в

Уравнения, содержащие, знак модуля

Уравнения с числовыми знаменателями

Линейное уравнения с параметрами

Произведение линейых множителей равно нулю

ах+в=сх+d

Скачивание материала доступно только для авторизованных пользователей.