9.10.15г
Математика 6-й класс
Урок № 32
Тема: Длина окружности. Площадь круга. Шар.
ЦЕЛЬ:
Дидактическая. Учащиеся должны научиться: - вычислять длину окружности;
- вычислять площадь круга.
Развивающая. Учащиеся должны усвоить: -формулу длины окружности;
- формулу площади круга; - понятие о шаре; - понятие о сфере.
Воспитательная. Умение сравнивать, наблюдательность, внимание и мышление наглядно-образное.
Тип урока. Изучение нового материала.
Метод обучения. Объяснительно-иллюстративный, частично-поисковый.
Ход урока.
1.Организационный момент.
Здравствуйте,
садитесь. Начну я урок с высказывания одного из ученых, которое будет нашим
девизом урока: «Через математические знания, полученные в школе, лежит широкая
дорога к огромным, почти необозримым областям труда и открытий». А. Маркушевич
А теперь, я задам вам вопросы, а вы пожалуйста ответьте на них:
• Как вы понимаете высказывание этого ученого?
• В чем смысл его высказывания? (учащиеся по желанию высказывают свои мысли).
Постановка учебной задачи. Запись темы урока. Знакомство с ходом урока
1. Ознакомление с понятием сопутствующие изучению новой темы.
Устные упражнения:
1. Запишите обыкновенные дроби в виде бесконечной десятичной дроби и округлите до 0,01:
11/3 ; 23/3 ; 11/6 ; 4/11. (0,3636…≈0,36; 1,833…≈1,83; 3,666…≈367; 7,666…≈ 7,67)
2. Вычислите периметр и площадь квадрата со стороной равной 3 см.
3.Найдите периметр и площадь прямоугольника со сторонами 4см и 7см.
4.Для того, чтобы начертить окружность нужно знать некоторые параметры, а именно какие?
Окружность
есть геометрическое место точек, равноудалённых от одной её точки - центра.
Все точки окружности расположен на одинаковом расстоянии от точки О ,называемой
центром, а отрезок соединяющий точку О с любой точкой на окружности называется
радиусом.
Часть
окружности называется дугой.
Отрезок проходящий через две точки окружности, лежащий внутри окружности
называется хордой.
Хорда, проходящая через центр окружности, называется диаметром.
2.Построение окружности и круга.
3. Лабораторно-практическая работа.
Определение числа π как отношение длины окружности к ее диаметру.
(с помощью нити, линейки и нескольких образцов цилиндрической формы) Урок: Длина окружности и площадь круга
Смысл понятия длина окружности
Рассмотрим чертеж. Перед нами окружность с центром в точке О и отрезок АВ, который соединяет две точки окружности и проходит через ее центр. Мы помним, что он называется диаметр. Длину окружности принято обозначать буквой С, а длину диаметра буквой d.

3. Лабораторно-практическая работа.
Определение числа π как отношение длины окружности к ее диаметру.
(с помощью нити, линейки и нескольких образцов цилиндрической формы)
Чтобы уяснить смысл понятия длина окружности, выполним мысленный эксперимент. Представьте себе окружность, изготовленную из тонкой проволоки. Если разрезать проволоку и выпрямить ее, то длина выпрямленного куска проволоки и будет длиной окружности.

Формула длины окружности
Отношение длины окружности к ее диаметру –
число постоянное. Этот факт был обнаружен экспериментально. Еще египтяне
заметили, если делить длину окружности на ее диаметр, то всегда получается одно
и то же число. В Древнем Египте думали, что это число – три, то есть длина
окружности в три раза больше диаметра. Затем люди нашли более точное значение
для этого отношения:
или
.
В этом случае длина окружности в
раза
больше диаметра. Позднее выяснилось, что
-
это достаточно точное, но все-таки приблизительное значение. Более того,
потребовалось ввести особое число – число π. Итак, верным является
утверждение: «длина окружности в π раз больше диаметра»
![]()
Мы знаем, что диаметр в два раза больше радиуса, тогда у нас появляется формула:
![]()
Если радиус умножить на два и на π, то мы получим длину окружности.
Число π

В грубом приближении число π равно трем.
С точностью до сотых: π = 3,14.
С точностью до десятитысячных: π = 3,1416
Можно записать приближенное значение числа π с точностью до миллионных, до миллиардных, но записать, чему точно равно число π с помощью цифр нельзя! Оказалось, что это число нельзя выразить обыкновенной дробью. Поэтому в формулах используют букву π, а для практических вычислений приближенное значение.
4. Задача на применение формулы длины окружности
Окружность арены во всех цирках мира имеет
длину 40,8 м. Найдите диаметр арены, если
.

Запишем формулу и подставим известные значения букв. Вместо π мы подставили его приближенное значение, поэтому мы заменили знак равно, который был в формуле, на знак приближенно равно. Выполнив несложные преобразования, получим, что диаметр приблизительно равен 13,6м.
Заметим, что три – это грубое приближение
числа π. Попробуем в рассмотренной задаче подставить более точное
значение. Пусть
.

Тогда, чтобы найти диаметр, нужно разделить 40,8 на 3,14. Выполним деление. Можно, например, воспользоваться калькулятором. Получим, что диаметр составляет 12,99м.
Видно, что ошибка составила 61 см. Это значительная ошибка. Если вместо числа π подставить его значение с точностью до десятитысячных, то вновь полученный результат будет отличаться от предыдущего на 7 мм. Разница в 7мм для данной задачи несущественна.
Вывод: в рассмотренной задаче оптимальным было значение π с точностью до сотых. Такую точность используют при решении большинства практических задач.
5. Формула площади круга
Для вывода этой формулы наших математических знаний пока недостаточно. Поэтому мы ограничимся некоторыми рассуждениями на эту тему, а для решения задач будем использовать готовую формулу. Как получают эту формулу, вы узнаете в старших классах. Рассмотрим чертеж.

Перед нами круг с центром в точке О и два квадрата
АВСD и EFKM. Радиус круга равен r, поэтому длина стороны большего
квадрата равна 2r, а его площадь равна
.
Маленький квадрат своими диагоналями разбивается на четыре равных прямоугольных
треугольника. Площадь каждого такого треугольника
.
Значит, площадь маленького квадрата
.
Ясно, что площадь круга больше площади маленького квадрата и меньше площади
большого квадрата. Можно сказать, что площадь круга примерно равна
.
На уроках математики в старших классах будет доказано, что
.
6. Задача на применение формулы площади круга
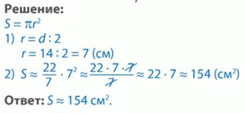
Диаметр круга равен 14 см. найдите его площадь,
если
.

Сначала найдем радиус круга. Для этого
разделим диаметр пополам. Получим, что радиус равен 7см. Подставим в формулу
вместо букв их значения. Сократим полученную дробь на 7. Итак, площадь круга
примерно равна 154
.
6.Работа с учебником
Страница 67 № 205, 206
7. Домашнее задание: Страница 65 пр 1.9 Страница 67 № 202, 203
Обобщение результатов. Подведение итогов.
1. Что обозначается буквой π?
2. Напишите формулу длины окружности?
3. Чему равна площадь круга?
4. Назовите несколько предметов имеющих форму шара.
Скачано с www.znanio.ru
Материалы на данной страницы взяты из открытых источников либо размещены пользователем в соответствии с договором-офертой сайта. Вы можете сообщить о нарушении.