6 класс.
Урок-игра «БИРЖА»
Тема: Умножение и деление обыкновенных дробей.
Цели: - систематизировать знания по теме «Умножение и деление обыкновенных дробей».
- способствовать умению планировать свою работу.
План урока:
1. Организационный момент.
2. Постановка целей урока и объяснение правил игры.
3. Основная часть игры.
4. Подведение итогов.
5. Постановка домашнего задания.
Оборудование: надписи: «Биржа», «консультант», «банкир»; набор карточек с заданиями (три уровня сложности), таблицы с ответами для «банкиров», индивидуальные листы участников биржи, пустые белые листочки для решения заданий.
1. Организационный момент.
Здравствуйте ребята. Садитесь, пожалуйста. Убираем учебники и тетради. Сегодня они нам не понадобятся. На парте у вас должны быть только ручки.
2. Постановка целей урока и объяснение правил игры
Учитель: Ребят, сегодня у нас необычный урок и пройдет он в форме игры. Сегодня вы все почувствуете себя участниками биржи.
Что же такое биржа?
Биржа – место массовых сделок по купле-продаже товаров и услуг.
Цель нашего урока: - систематизировать знания по теме «Умножение и деление обыкновенных дробей».
Вспомните правила умножения дроби на натуральное число, дроби на дробь, смешанных чисел; правило деления дроби на дробь; правила нахождения дроби от числа и числа по его дроби. (Устное проговаривание правил)
Перед тем как начать работу биржы, познакомимся с правилами ее работы
Представляю вашему вниманию банкиров (имена). Они будут вести учет ваших инвестиций.
Представляю вам также консультанта – это я.
Функции консультанта: если вам попадется непосильное задание, то я окажу помощь в его выполнении, но за определенную плату.
Также у нас имеется стол продаж, где вы с биржей самостоятельно заключаются сделки на покупку. Продаются карточки с заданиями. Имеются карточки трёх цветов, на которых написано задание, которое вы должны выполнить, и стопка пустых белых листочков, на которых Вы и будете выполнять задания. А потом продавать их банкирам.
Посмотрите на доску, здесь написаны основные правила игры
Правила игры
1. Время работы биржи с ___ по___ (сообщаю после прочтения правил).
2. Все операции фиксируются в карточке участника.
3. Карточки 3-хцветов:
Красная – 200 рублей.
Желтая – 150 рублей.
Зеленая – 100 рублей.
4. Решения по карточкам продаются:
|
Карточка |
Без ошибок |
½ и более правильно решено |
Не решена |
|
200 |
400 |
300 |
0 |
|
150 |
300 |
200 |
0 |
|
100 |
200 |
150 |
0 |
5. При решении карточки можно получить консультацию, но эта консультация платная (50 рублей).
6. Степень вашей успешности определяется количеством прибыли, полученной по итогам покупки-продажи и консультаций.
3. Описание игры.
Каждому из вас выдаётся карточка участника биржи (раздаю).
Каждый из вас в карточке должен заполнить поля: Фамилия и Имя.
Возьмите ручки, запишите. Работаем быстро. Жду.
Рассмотрим карточку. Далее следует таблица. Она разбита на три колонки: ОПЕРАЦИИ, ПОКУПКИ и ПРОДАЖА БАНКИРУ. Первую операцию, которую вы совершаете – берете в банке кредит на сумму 700 рублей. Далее вы выбираете одну из карточек (красную, желтую или зеленую). Карточки обозначены цветом и пронумерованы. У каждой из карточек есть номер, он записан в левом верхнем углу (например) (если она красная, то на ней написано К-1, К-2, К-3,…., если желтая Ж-1, Ж-2, Ж-3, Ж-4,……, если зеленая З-1, З-2, З-3, З-4,……). Карточки различаются по уровню сложности: зелёные – легкие
желтые – посложнее
красные – более сложные
Карточки вы выбираете на своё усмотрение.
Вытянув одну из карточек, вы вписываете её название в графу ОПЕРАЦИЯ, а в графу ПОКУПКА записываете соответствующую цену карточки.
На карточке представлены задания, которые вы должны решить. Решаете задания на отдельных чистых листочках, подписав их (каждая карточка решается на новом листочке, не забывайте их подписывать) на них свою фамилию и номер вашей «цветной» карточки.
После того как вы решили задания, вы идете к одному из банкиров. Банкир проверяет ваши полученные ответы. Банкир оценивает верность решения (согласно таблице продаж) и тогда банкир в графе ПРОДАЖА БАНКИРУ записывает соответствующую сумму. Карточку с решением вы оставляете у банкира, а карточку-задание кладете на стол продаж.
Далее вы покупаете вторую, третью, четвертую и т.д. карточек и проделываете всё тоже самое.
Если у вас возникают проблемы при решении заданий, то вы можете обратиться за помощью к консультанту. Стоимость консультации – 50 рублей. Если вы всё же обратились к консультанту, то он в свою очередь в графе ПРОДАЖА БАНКИРУ ставит – 50 рублей (минус 50 р).
4. Подведение итогов.
За 5 минут до окончания урока я прекращаю продажу карточек и наша биржа закрывается.
Если кому-то из вас по окончании покупки - продаж удалось погасить кредит и иметь при этом деньги, тому я поставлю оценку в журнал.
После урока вы сдаете мне свои карточки участника биржи. Далее я анализирую результаты вашей прибыли и решаю с какой границы ставить 5, 4 или 3. Оценки должны получить все.
Сегодня мы выполняли задания на умножение десятичных дробей.
Как Вы думаете, справились ли мы с этими заданиями?
Поднимите руки те, кто правильно решил 7, 8 … карточек.
Поднимите руки те, кто смог решить много карточек без консультаций.
Закончите
предложения:
- Мне понравилось…
- Мне было интересно выполнять ….
- Я смог ….
- Я думаю, что с контрольной работой ….
5. Постановка домашнего задания
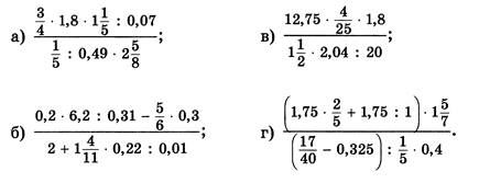
№697. Выполните действия:

№716. Найдите значение выражения:

Участник биржи
Фамилия ________________________
Имя_____________________________
|
Операция |
Покупки |
Продажа банкиру |
|
Кредит |
700 р |
|
|
|
|
|
|
|
|
|
|
|
|
|
|
|
|
|
|
|
|
|
|
|
|
|
|
|
|
|
|
|
|
|
|
|
|
|
|
|
|
|
|
|
|
|
|
|
|
|
|
|
|
|
|
|
|
|
|
|
|
|
|
|
|
|
|
|
|
|
|
|
|
|
|
|
|
|
|
|
|
|
|
|
|
|
|
|
|
|
|
|
|
|
|
|
|
|
|
|
|
|
Ответы к карточкам
|
Название карточки |
Задание №1 |
Задание№2 |
|
К-1 |
|
|
|
К-2 |
|
|
|
К-3 |
|
|
|
К-4 |
|
|
|
К-5 |
|
|
|
К-6 |
|
|
|
К-7 |
|
|
|
К-8 |
|
|
|
К-9 |
|
|
|
К-10 |
|
|
|
К-11 |
|
|
|
К-12 |
|
|
|
К-13 |
|
|
|
К-14 |
|
|
|
К-15 |
|
|
|
К-16 |
|
|
|
К-17 |
|
|
|
К-18 |
|
|
|
К-19 |
|
|
|
К-20 |
|
|
|
К-21 |
|
|
|
К-22 |
|
|
|
К-23 |
|
|
|
К-24 |
|
|
|
К-25 |
|
|
|
К-26 |
|
|
|
К-27 |
|
|
|
К-28 |
|
|
|
К-29 |
|
|
|
К-30 |
|
|
|
К-31 |
|
|
|
К-32 |
|
|
|
К-33 |
|
|
|
Название карточки |
Задание№1 |
Задание№2 |
|
Ж-1 |
|
|
|
Ж-2 |
|
|
|
Ж-3 |
|
|
|
Ж-4 |
|
|
|
Ж-5 |
|
|
|
Ж-6 |
|
|
|
Ж-7 |
|
|
|
Ж-8 |
|
|
|
Ж-9 |
|
|
|
Ж-10 |
|
|
|
Ж-11 |
|
|
|
Ж-12 |
|
|
|
Ж-13 |
|
|
|
Ж-14 |
|
|
|
Ж-15 |
|
|
|
Ж-16 |
|
|
|
Ж-17 |
|
|
|
Ж-18 |
|
|
|
Ж-19 |
|
|
|
Ж-20 |
|
|
|
Ж-21 |
|
|
|
Ж-22 |
|
|
|
Ж-23 |
|
|
|
Ж-24 |
|
|
|
Ж-25 |
|
|
|
Ж-26 |
|
|
|
Ж-27 |
|
|
|
Ж-28 |
|
|
|
Ж-29 |
|
|
|
Ж-30 |
|
|
|
Ж-31 |
|
|
|
Ж-32 |
|
|
|
Ж-33 |
|
|
|
Название карточки |
Задание№1 |
Задание№2 |
|
З-1 |
|
|
|
З-2 |
|
|
|
З-3 |
|
|
|
З-4 |
|
|
|
З-5 |
|
|
|
З-6 |
|
|
|
З-7 |
|
|
|
З-8 |
|
|
|
З-9 |
|
|
|
З-10 |
|
|
|
З-11 |
|
|
|
З-12 |
|
|
|
З-13 |
|
|
|
З-14 |
|
|
|
З-15 |
|
|
|
З-16 |
|
|
|
З-17 |
|
|
|
З-18 |
|
|
|
З-19 |
|
|
|
З-20 |
|
|
|
З-21 |
|
|
|
З-22 |
|
|
|
З-23 |
|
|
|
З-24 |
|
|
|
З-25 |
|
|
|
З-26 |
|
|
|
З-27 |
|
|
|
З-28 |
|
|
|
З-29 |
|
|
|
З-30 |
|
|
|
З-31 |
|
|
|
З-32 |
|
|
|
З-33 |
|
|
Математический кроссворд (8 класс)

По вертикали:
1. Продолговатая окружность.
2. Разделяет положительные и отрицательные числа.
3. Хорда, проходящая через центр круга.
4. Простейший измерительный инструмент.
6. Отрезок, соединяющий вершину треугольника с серединой противоположной стороны.
7. Электронный помощник в счете.
8. Математический знак, используемый для вычитания.
9. Отрезок, соединяющий две вершины прямоугольника, не лежащие на одной стороне.
12. Наука, часть математики, изучающая пространственные отношения и формы.
15. Прямая, проходящая через вершину угла и делящая его пополам.
18. Наука, изучающая действия над простыми числами.
20. Прямоугольник, у которого все стороны равны.
По горизонтали:
5. Величина, обозначающая размер поверхности.
10. Тысяча тысяч.
11. Математическое утверждение, истинность которого установлена.
13. Итог сложения.
14. Сторона треугольника, лежащая против прямого угла.
16. Отрезок, соединяющий две точки окружности.
17. Приспособление для построения и измерения углов.
19. Прибор для вычерчивания дуг и окружностей.
21. Единица измерения плоского угла.
22. Сторона прямоугольного треугольника, прилежащая к прямому углу.
23. Половина диаметра.
24. Противоположность числителю.
Ответы
По вертикали: 1.Овал, 2.Ноль, 3.Диаметр, 4.Линейка, 6.Медиана, 7.Калькулятор, 8.Минус, 9.Диагональ, 12.Геометрия, 15.Биссектриса, 18.Арифметика, 20.Квадрат
По горизонтали: 5.Площадь, 10.Миллион, 11.Теорема, 13.Сумма, 14.Гипотенуза, 16.Хорда, 17.Транспортир, 19.Циркуль, 21.Градус, 22.Катет, 23.Радиус, 24.Знаменатель
Математические ребусы (7 класс)





ОТВЕТЫ на ребусы:
1. Алгебра
2. Геометрия
3. Линейка
4. Уравнение
5. Диаметр
6. Циркуль
7. Транспортир
8. Конус
9. Точка
Математические шарады
Он грызун не очень мелкий,
Ибо чуть побольше белки.
А заменишь «У» на «О» -
Будет круглое число.
(Сурок - сорок)
![]()
Я приношу с собою боль,
В лице большое искаженье.
А «Ф» на «П» заменишь коль,
То сразу превращусь я в знак сложенья.
(Флюс - плюс)
![]()
Коль в треугольнике угол прямой,
Я называюсь его стороной.
Букву последнюю мне поменять -
Буду, как ветер, вас по морю мчать.
(Катет - катер)
![]()
С буквой «Р» - с овцы стригут,
В нити прочные прядут.
А без «Р» - нужна для счёта,
Цифрой быть - её работа.
(Шерсть - шесть)
![]()
Число я меньше десяти.
Меня тебе легко найти.
Но если букве «Я» прикажешь рядом встать,
Я всё: отец, и ты, и дедушка, и мать.
(Семь- семья)
![]()
Читаем мы направо смело -
Геометрическое тело.
Прочтём же справа мы налево -
Увидим разновидность древа.
(Куб - бук)
![]()
Рождаюсь на мебельной фабрике я
И в каждом хозяйстве нельзя без меня.
Отбросишь последнюю букву мою -
Названье большому числу я даю.
(Стол - сто)
![]()
Я с «Л» смягчённым - под землёй,
Бываю каменный и бурый.
А с твёрдым - в комнате твоей
И в геометрии фигура.
(Уголь - угол)
![]()
С «Д» - давно я мерой слала,
С «Т» - уж нету выше балла.
(Пядь - пять)
![]()
Счастливой цифру ту считают,
При счете её применяют.
А «М» вот на «Т» поменяли -
И рыбы немало поймали.
(Семь - сеть)
![]()
С «К» - для продуктов годна,
С «М» - для сложенья нужна.
(Сумка - сумма)
![]()
С «Ш» - для счёта я нужна,
С «М» - обидчикам страшна!
(Шесть - месть)
![]()
С глухим шипящим -
Кругл, как мячик.
Со звонким -
Как огонь, горячий.
(Шар - жар)
![]()
С глухим шипящим я -
Числительное.
Со звонким - имя
Существительное.
(Шесть - жесть)
![]()
С «К» - фигура без углов,
С «Д» - дружить с тобой готов.
(Круг - друг)
![]()
С «В» - отрезок не простой -
С направлением, с длиной.
С «С» же станет частью круга,
Что дуга стянула туго.
(Вектор - сектор)
![]()
Геометрическое тело,
А в нём вода вскипела.
(Куб)
![]()
Первый слог - нота,
Второй слог - нота.
А в целом -
Только часть чего-то. (До + Ля = Доля)
![]()
Игра - в ней лошади нужны,
К игре проступок пристегни.
И называй, дружочек, смело
То, что давно уже не цело.
(Поло + Вина = Половина)
![]()
Предлог стоит в моём начале,
В конце же - загородный дом.
А целое мы все решали
И у доски, и за столом.
(За + Дача = Задача)
![]()
Две ноты - два слога,
А слово - одно,
И меру длины
Означает оно.
(Ми + Ля = Миля)
![]()
Вначале - двойка. Далее - мужчина,
Высокого он титула и чина.
А слово целиком - обозначенье,
Дробящее на дозы обученье.
(Пара + Граф = Параграф)
![]()
Первую в школе все изучают,
Ну а второй из двустволки стреляют.
Третью исполнят нам два барабана
Иль каблуки отобьют её рьяно.
(Дробь)
![]()
Первая - такой многоугольник,
Знать который должен каждый школьник.
На второй гимнасты выступают,
Их она под купол поднимает.
(Трапеция)
![]()
Первую находим, вычисляем,
Много формул для неё мы знаем.
На второй же митинги, парады,
Погулять по ней всегда мы рады.
(Площадь)
![]()
Первый можно завязать,
Если галстук папин взять.
А второй, словарь листая, -
Мера скорости морская.
(Узел)
Геометрические слова
Пользуясь подсказками в скобках, отгадайте сами слова и названия геометрических фигур, которые в них «вписались».
◘ ЗА _ _ _ _ _ (Процесс заострения предмета).
◘ ВЫ _ _ _ _ _ (Конструктивный элемент одежды).
◘ ФОР _ _ _ _ _ (Часть окна).
◘ ЛАС _ _ _ _ _ (Птица).
◘ КИС _ _ _ _ _ (Инструмент художника).
◘ КАР _ _ _ _ _ (Жёлтая, электронная, телефонная...).
(Точка)
![]()
◘ _ _ _ ИНА (Тонкая длинная щепка).
◘ _ _ _ НИК (Стрелок из старинного оружия).
◘ С _ _ _ АЙ (Происшествие).
◘ ПО _ _ _ КА (Заработная плата).
◘ ОТ _ _ _ КА (Уход на некоторое время).
◘ ПО _ _ _ АС (1800 секунд).
◘ ИЗ _ _ _ ИНА (Изгиб реки).
◘ РАЗ _ _ _ НИК (Тот, кто разъединяет влюблённых).
◘ ИЗ _ _ _ ЕНИЕ (Выделение особого вида энергии).
◘ У _ _ _ ШЕНИЕ (Изменение в хорошую сторону)
◘ ПОДКАБ _ _ _ НИК (Дрессированный мужчина).
(Луч)
![]()
◘ Г _ _ _ _ (Очень большое число).
◘ _ _ _ _ Ь (Ископаемое горючее вещество).
◘ _ _ _ _ ОВНИК (Преступник).
◘ ТРЕ _ _ _ _ КА (Старинный форменный головной убор).
◘ ТРЕ _ _ _ _ ЬНИК (Геометрическая фигура).
(Угол)
![]()
◘ ПР _ _ _ _ (Углубление или полная неудача в деле).
◘ СЕН _ _ _ _ (Душистая летняя деревенская «спальня»).
◘ КОН _ _ _ _ (Знахарь, лечащий лошадей).
◘ К _ _ _ _ Ь (Кузнец).
◘ НАК _ _ _ _ ЬНЯ (Напарница молота).
◘ ГОТ _ _ _ _ ЬНЯ (Набор чертёжных инструментов в футляре).
◘ ЛЕСОП _ _ _ _ (Валка леса).
◘ РИС _ _ _ _ ЬЩИК (Художник-график).
(Овал)
![]()
◘ Т _ _ _ _ (Сгусток вещества, закупоривающий сосуд, проток).
◘ Т _ _ _ _ ОН (Духовой музыкальный инструмент).
◘ Т _ _ _ _ БОЦИТ (Клетка крови человека).
(Ромб)
![]()
◘ _ _ _ А (Страна).
◘ _ _ _ ОК (Спортивный приз).
◘ _ _ _ РИК (Помещение на корабле).
◘ _ _ _ ИЗМ (Направление в изобразительном искусстве).
◘ _ _ _ АНЬ (Река на Северном Кавказе историческая область).
◘ _ _ _ АНКА (Барашковая шапка).
◘ _ _ _ ЫШКА (Сосуд для «хранения» денег).
◘ _ _ _ АТУРА (Объём помещения).
◘ АУ _ _ _ А (Золотое дерево).
◘ ИН _ _ _ АТОР (Заменитель наседки).
◘ Я _ _ _ ОВИЧ (Популярный телеведущий).
(Куб)
![]()
◘ _ _ _ Ф (Предмет одежды).
◘ _ _ _ Ж (Шуточный или сатирический рисунок).
◘ _ _ _ М (Обаяние, очарование).
◘ _ _ _ НИР (Подвижное соединение деталей механизма).
◘ _ _ _ ИАТ (Свод мусульманских законов).
◘ _ _ _ ПЕЙ (Порода собак).
◘ _ _ _ АДА (Род загадки).
◘ _ _ _ АБАН (Лёгкий двухколёсный экипаж).
◘ _ _ _ ОВАРЫ (Широкие штаны).
◘ _ _ _ КАНЬЕ (Старческая походка).
◘ _ _ _ МАНКА (Музыкальный инструмент).
◘ _ _ _ ЛАТАН (Грубый обманщик).
◘ КО _ _ _ А (Большой загон для овец).
◘ РИ _ _ _ (Французский комедийный актёр).
(Шар)
Попробуй прочитай
Попытайтесь как можно быстрее прочитать группу слов, зашифрованных с использованием цифр, чисел и числовых выражений. Выигрывает самый внимательный, сообразительный и быстрый.
◘ ГОСП 1, Р 1 А, Р 1 КА, СМОР 1 А, УР I А, ХОЛ I А, БОР I, БОР 2:2 О,
6-5 ЦОВО, Ж 2х0,5 О.
(Господин, родина, родинка, смородина, уродина, холодина, Бородин - композитор и учёный-химик, Бородино - село, около которого в 1812 году произошло знаменитое сражение, Одинцово - город в Московской области, Жодино - город в Белоруссии, родина грузовиков «Белазов».)
◘ ПО 2 Л, МОР II, РЫ 5-3 Н.
(Подвал, мордва - коренное население Мордовии, рыдван - старая, громоздкая повозка, драндулет.)
◘ АК 3 СА, ВИ 3 НА, ГАС 3 Т, III КО, III УМФ, III ТОН, УС III ЦА, Ш 1+2 Х,
ПА 5-2 ОТ, 6:2 БУНАЛ, 7-4 БУНА, ОСЕ 12:4 НА, О 6х0,5 ЦАНИЕ, ОС I+II Ё,
СМО V-II НЫ, ДМИ VI-III Й, БИССЕК IX:III СА, ДИРЕК 9-6 СА, МА II+I ЦА,
IV-I КОТАЖ, ЭЛЕК VII-IV ЧКА, С 9:III Ж, ПА VI:II ЦИЙ, НА 100-97 Й, КАР 99:33 ДЖ,
100-97 ЛЛЕР, 1,5х2 ЕСТ, МА III АРХАТ.
(Актриса, витрина, гастрит, трико, триумф, тритон, устрица, штрих, патриот, трибунал, трибуна, осетрина, отрицание, остриё, смотрины, Дмитрий, биссектриса, директриса, матрица, трикотаж, электричка, стриж, патриций, натрий, картридж, триллер, Триест - город в Италии, матриархат.)
◘ VII Я, ВО 7, 5х8 А, 80:2 ОНОЖКА, 15+25 ОПУТ.
(Семья, восемь, сорока, сороконожка, сорокопут - птица отряда воробьиных.)
Материалы на данной страницы взяты из открытых источников либо размещены пользователем в соответствии с договором-офертой сайта. Вы можете сообщить о нарушении.