математика

  • docx
  • 05.05.2020
Публикация на сайте для учителей

Публикация педагогических разработок

Бесплатное участие. Свидетельство автора сразу.
Мгновенные 10 документов в портфолио.

Иконка файла материала 88.docx

Тема: Действия с рациональными числами  -6 класс

 Цели урока:

  • обобщить и систематизировать умения и навыки выполнения действий с рациональными числами;
  • развивать творчество, сообразительность, смекалку учащихся; развивать культуру их речи; развивать познавательную активность учащихся;
  • воспитывать чувство коллективизма, ответственности, самоконтроля; формировать интерес к изучению математики.

ХОД УРОКА

I. Оргмомент и начало урока

Приготовлены тетради для черновиков, ручки, рабочие тетради. Учитель настраивает учащихся на урок, желает высоких результатов.
II. Постановка целей и задач урока

– Тема нашего урока – «Действия с рациональными числами». 
Мы повторим теоретический материал по данной теме, отработаем практические навыки действий с рациональными числами, тем самым подготовимся к контрольной работе.

III. Обобщение, повторение, систематизация материала

1.Фронтальный опрос:

Вопросы для первому варианту

1) Какие числа называются противоположными?
2) Какие числа называются рациональными? 
3) Как сложить два отрицательных числа?
4) Как из данного числа вычесть другое?
5) Как перемножить два отрицательных числа?
6) Сформулируйте правило деления чисел, имеющих разные знаки?
7) Как сравнить положительные и отрицательные числа? 
8) Сравните положительное число с нулем?
9) Назовите число, противоположное числу 0?

Вопросы для второму варианту

1) Чему равна сумма двух противоположных чисел?
2) Какие числа называются целыми?
3) Как сложить два числа с разными знаками?
4) Что называют модулем числа?
5) Как перемножить два числа с разными знаками?
6) Сформулируйте правило деления отрицательного числа на отрицательное число.
7) Как сравнить два отрицательных числа?
8) Сравните отрицательное число с нулем?
9) Каким числом является число 0: положительным или отрицательным ?

2.Устная работа.

Вычислите:  1,6 (-4);        - 5,5 –(- 8,8);            - 16 (- 4);   -18 + 9.4;      -6,7 – 8, 4;   -12+(-13);

8·(-3)+(-7);     (-42):6+10;        27-(-15):3;      (-10)2;    (-5)3 ;

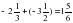
3.Решите уравнение :           а) -0,2х=-6;  б) 9-х=0 ; в)https://fsd.kopilkaurokov.ru/uploads/user_file_5664219bada00/konspiekt-uroka-dieistviia-s-ratsional-nymi-chislami-1_1.png.

4. Вычислите наиболее простым способом

6,3 + (- 3,7) + 2,6 =

(- 9,2) + 5,4 + (- 3,2) =

8,2 + ( - 2,9) + 1,2 =

1,7 + (- 2,6) + (- 1,7) + 2,6 =

( - 4,9) + 5,5 + 4,9 + ( - 5,5) =

1,8 + ( - 6,2) + ( - 4,1) + ( -1,8) + 6,2 =

36 + ( - 52) + ( - 173) + 79 + 185 + ( - 85) =

5.тест

Вариант 1

  1. Какой из данных примеров решен верно?

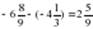
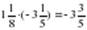
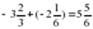
а) –2,3+(–7,4)=–5,1; б) https://fsd.kopilkaurokov.ru/uploads/user_file_5664219bada00/konspiekt-uroka-dieistviia-s-ratsional-nymi-chislami-1_2.png; в) 3,2 · https://fsd.kopilkaurokov.ru/uploads/user_file_5664219bada00/konspiekt-uroka-dieistviia-s-ratsional-nymi-chislami-1_3.png=6,8; г) https://fsd.kopilkaurokov.ru/uploads/user_file_5664219bada00/konspiekt-uroka-dieistviia-s-ratsional-nymi-chislami-1_4.png

2. Какой из данных примеров решен верно?

а) –2,3–(–7,4)=5,1; б) https://fsd.kopilkaurokov.ru/uploads/user_file_5664219bada00/konspiekt-uroka-dieistviia-s-ratsional-nymi-chislami-1_5.png;в) –1,21 : (–1,1)= –1,1; г) : https://fsd.kopilkaurokov.ru/uploads/user_file_5664219bada00/konspiekt-uroka-dieistviia-s-ratsional-nymi-chislami-1_6.png https://fsd.kopilkaurokov.ru/uploads/user_file_5664219bada00/konspiekt-uroka-dieistviia-s-ratsional-nymi-chislami-1_7.png;

3. Найдите значение выражения 4,3–(0,43+с) при с= –2,43           а) 6,17; б) 1,57; в) 2,43; г) 6,3

4. Решите уравнение х–4,6= –9,3                                           а) 4,7; б) –4,7; в) –13,9; г) 13,9

     5.  Решите уравнение – у : 1,56= –4,5                               а) 7,02; б) –7,02; в) 70,2; г) -0,702

6.  Вычислитеhttps://fsd.kopilkaurokov.ru/uploads/user_file_5664219bada00/konspiekt-uroka-dieistviia-s-ratsional-nymi-chislami-1_8.png          а) 6,3 ; б)3; в)-3; г) -0,3.

7.  Расположите числа a= –2,01; b=https://fsd.kopilkaurokov.ru/uploads/user_file_5664219bada00/konspiekt-uroka-dieistviia-s-ratsional-nymi-chislami-1_9.png; c=3 в порядке возрастания их модуля.

а) a, b, c; б) b, a, c; в) a, c, b; г) в,с,а

8. Вася задумал число, прибавил к нему 67, затем от результата отнял 60.

В результате у него получилось число –98. Какое число задумал Вася?      а) –105; б) 19; в) –19; г) 105

9. Решите уравнение: ( х+2) · (–х+5)=0                                      а) –2 и –5; б) 2 и –5; в) –2 и 5; г) 2и 5

10. Найдите сумму всех целых чисел n таких, что       –17n                     а) –48; б) –31; в) 31; г) -45

Вариант 2

  1. Какой из данных примеров решен верно?

а) 6,5+(–2,3)=3,3; б) https://fsd.kopilkaurokov.ru/uploads/user_file_5664219bada00/konspiekt-uroka-dieistviia-s-ratsional-nymi-chislami-1_10.png; в) 3,01· (–https://fsd.kopilkaurokov.ru/uploads/user_file_5664219bada00/konspiekt-uroka-dieistviia-s-ratsional-nymi-chislami-1_11.png)=–0,43; г) https://fsd.kopilkaurokov.ru/uploads/user_file_5664219bada00/konspiekt-uroka-dieistviia-s-ratsional-nymi-chislami-1_12.png

2.   Какой из данных примеров решен верно?

а) https://fsd.kopilkaurokov.ru/uploads/user_file_5664219bada00/konspiekt-uroka-dieistviia-s-ratsional-nymi-chislami-1_13.png; б) –2,8–6,5=–9,3;  в) –2,25 : 1,5=1,5; г) https://fsd.kopilkaurokov.ru/uploads/user_file_5664219bada00/konspiekt-uroka-dieistviia-s-ratsional-nymi-chislami-1_14.png:(- 2,8)=1

 

3.   Найдите значение выражения 5,6–(2,4+с) при с=1,4      а) 2,7; б) 1,8; в) 0,43; г) -2,8

4.   Решите уравнение х–5,15=1,1                                         а) 6,25; б) –5,85; в) 5,75; г) -6,25

5.   . Решите уравнение : у : 2,34=–6,1                           а) 14,274; б) –14,274; в) 142,74; г) 1,4274

 

6. Вычислитеhttps://fsd.kopilkaurokov.ru/uploads/user_file_5664219bada00/konspiekt-uroka-dieistviia-s-ratsional-nymi-chislami-1_15.png                                          а) 6 ; б) -6 ; в) 0,6 ; г) 1,3

7. Расположите числа a= –3,1; b=https://fsd.kopilkaurokov.ru/uploads/user_file_5664219bada00/konspiekt-uroka-dieistviia-s-ratsional-nymi-chislami-1_16.png; c=1 в порядке возрастания их модуля.

а) a, b, c; б) b, a, c; в) a, c, b; г) в,с,а.

8. Вася задумал число, прибавил к нему 45, затем от результата отнял 87.

В результате у него получилось число –14. Какое число задумал Вася?      а) 28; б) 73; в) –19; г) -28

9.Решите уравнение(–х+3) · (х+4)=0   а) –3 и –4; б) 3 и –4; в) –3 и 4; г) 3и 4

10.Найдите сумму всех целых чисел n таких, что

–13,5n                                         а) –48; б) –36; в) 36; г) -25

Обучающиеся обмениваются листами ответов

вариант

1

2

3

4

5

6

7

8

9

10

1

б

а

г

б

а

б

а

а

в

г

2

г

б

б

а

б

б

г

а

б

г


6.Решите уравнение:

а)-12,7·(х-3,5)=0       б) 2,3 (5,8 – х) = 0                в) (5у -7) (2у – 0,4) = 0

7.Рефлексия.

  • Какие знания понадобились тебе на уроке?
  • Что понравилось на уроке больше всего?
  • Где во время урока у тебя всё получалось хорошо?
  • Какими словами можешь выразить своё настроение как результат работы на уроке?

9.№ Д/з : № 948-951(б,в,г)




 

Скачивание материала доступно только для авторизованных пользователей.