ТЕСТ ПО МАТЕМАТИКЕ 10 КЛАСС
1 ЧЕТВЕРТЬ
1.Если
- корень
уравнения
, то значение выражения
равно
A)
B)
C)
D)![]()
2.Найдите произведение корней уравнения ![]()
A)
B)
C)
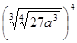
D)![]()
3.Найдите сумму корней или корень, если он
единственный, уравнения ![]()
A)
B)
C)
D)
![]()
4.Найдите наибольшее целое решение неравенства ![]()
A)
B)
C)
D)
![]()
5.Если
и
- решение системы уравнений
то значение выражения
равно
A)
B)
C)
D)
![]()
6. Найдите произведение корней уравнения ![]()
A)
B)
C)
D)![]()
7. Решите уравнение 
A)
B)
C)
D)
![]()
8.Решите систему уравнений 
A)
B)
(6;2) C) (5;2)
D)(7;1)
9.
Упростите выражение ![]()
A)
1 B)
2cosx
C) cosx+
sinx D)
![]()
10. Найдите значения выражения
.
A)
1 B) -1 C)
D) ![]()
11.
Упростите выражение
.
A) 8,3 B) 7,8 C) 6,8 D) 9,3
12. Вычислите:
. A) 3
B) 3 C)
1,5
D) ![]()
13. Упростите выражение ![]()
A) 1 B) 2 C) –2 D) –5
14. Упростите выражение 
A) -20,6 B) -16,4 C) -19,4 D) 6cos2α-22,4
15.
Найдите значение выражения
.
A)
B)
-2 C) 2 D) ![]()
16.
Упростите выражение
, если tg x = 4.
A) 5 B) 10 C) 17 D) 34
17.
Найдите значение выражения
при α
=
.
A)
B)
1+
C)
D)
![]()
18. Упростите выражение:
,
если
.
A) 2 B) 4 C) 1 D) 2tg2 α
19. Выберите наибольшее из чисел.
A)
B)
C)
D)
20. Выберите наименьшее из чисел.
A)
B)
C)
D)
21. Соотнести выражение и его значение:
А)
1)
В)
2)
С)
3)
D)
4)
4
5)14
22. Соотнести выражение и его значение:
А)
1)
В)
2)
С)
3) ![]()
D)
4)
5)
23. Соотнести уравнение и его корень:
А)
1) 8
В)
2)
С)
3) ![]()
D)
4)
5)
24. Соотнести уравнение и его корень:
А)
1)
В)
2)
С)
3) ![]()
D)
4)
5)
25. Соотнести уравнение и его корень:
А)
1)
В)
2)
С)
3) ![]()
D)
4) 1
5)
2 ЧЕТВЕРТЬ
1. График какой функции изображен на рисунке?
A) у = sinx
B)
C)
D)
2. Координата движущегося тела изменяется по закону
. Найдите амплитуду колебания.
A)
B)
-4,5 C)
D) ![]()
3. Решите
уравнение
.
A)
B)
C)
D) ![]()
4. Решите
уравнение
.
![]()
5. Решите
уравнение
.
A)
B)
C)
D) ![]()
6. Найдите сумму корней уравнения
на промежутке [-p;2p]. A)
B)
p C) 2p D) -p
7. Решите
уравнение ![]()
![]()
8. Решите
уравнение
.
A)
B)
C)
D) ![]()
9. Решите
уравнение
.
A)
B)
C)
D) ![]()
10. Решите уравнение
.
A)
B)
C)
D) ![]()
11. Найдите сумму наименьшего
положительного и наибольшего отрицательного корней уравнения
.
A)
B)
C)
D)
![]()
12. Решите
неравенство:
.
A)
B) 
C)
D) 
13.Найдите значение выражения
.
![]()
14.Сократите дробь
.
![]()
15.Вычислите
.
![]()
16.Представьте в виде произведения ![]()
![]()
17.Найдите значение выражения
.
![]()
18.Упростите выражение
.
![]()
![]()
19. Вычислите
,представив
как разность ![]()
B)
C)
![]()
20.Сократите дробь
.
![]()
21. Соотнести:
А)
1) ![]()
В)
2)![]()
С)
3)![]()
D)![]()
4)![]()
5)
22. Соотнести:
А)
1) ![]()
В)
2) ![]()
С)
3) ![]()
D)
4) ![]()
5)
23. Соотнести:
А)
1) ![]()
В)
2) ![]()
С)
3)
D)![]()
4)![]()
5)
24. Соотнести:
А)
1)![]()
В)
2) ![]()
С)
3)![]()
D)![]()
4) ![]()
5)
25. Соотнести:
А)
1) ![]()
В)
2) ![]()
С)
3)![]()
D)![]()
4)
5)
3 ЧЕТВЕРТЬ
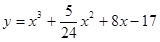
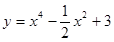
1. Найдите производную функции
.
A) 12х2 B) 12х C) 4х2 D) 12х3
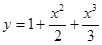
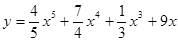
2. Найдите производную функции
.
A) -5 B) 11 C) 6 D) 6х
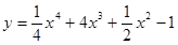
3. Найдите производную функции
.
A)
B)
C)
D)
4. Найдите производную функции
.
A)
B)
C)
D)
5. Найдите производную функции
.
A)
B)
C)
D) ![]()
6. Вычислите значение производной функции
в точке хо=2.
A) 10 B) 12 C) 8 D) 6
7. Найдите производную функции
.
A)
B)
C)
D) ![]()
8. Вычислите значение производной функции
в точке хо=
4.
A) 21 B) 24 C) 0 D) 3,5
9. Вычислите значение производной функции
в точке
. A)
2 B)
C)
4 D) ![]()
10. Найдите производную функции
.
A)
B)
C)
D)
![]()
11. Укажите промежуток, на котором функция
непрерывна.
A)
B)
C)
D) ![]()
12. Найдите область определения функции
.
A)
B)
C)
D) ![]()
13. Решите неравенство:
.
A)
B)
C)
D) ![]()
14. Найдите угловой коэффициент касательной,
проведенной к графику функции
в точке с
абсциссой
.
A) 14 B) -10 C) 10 D) -4
15. Через точку графика функции
с абсциссой
проведена касательная. Найдите
тангенс угла наклона этой касательной к оси абсцисс.
A) -3 B) 6 C) 2 D) 3
16.
Найдите тангенс угла наклона касательной к графику функции
в точке с абсциссой
.
A) 4 B) -0,4 C) 5 D) 7
17. На рисунке изображены прямые, являющиеся касательными к графику функции y=f(x) в точках с абсциссами х1, х2, х3, х4, х5. Определите количество положительных чисел среди значений производной в точках х1, х2, х3, х4, х5.
A)
2 B) 1 C)
4
D)
3
18. На рисунке изображена прямая, являющаяся касательной графику функции y=f(x) в точке (хо; f(xо). Найдите значение производной y=f ´(x) в точке хо.
A)
B)
C)
D)
![]()
19. При движении тела по прямой расстояние (в метрах)
от начальной точки изменяется по закону
.
Найти скорость (в м/с) тела через 5 секунды после начала
движения.
A) 10 B) 12 C) 65 D) 58
20. Найдите приближенное значение функции
в точке
.
A)
B)
C)
D) ![]()
21. Соотнести :
А)
1)
В)
2)
С)
3) 3)
D)
4)
5)
22. Соотнести:
А)
1) ![]()
-
В)
2)
С)
3)
D)
4)
5) ![]()
23. Соотнести:
А)
1) ![]()
В)
2)
С)
3)
D)
4)
5)
24. Соотнести:
А)
1) ![]()
В)
2) ![]()
![]()
![]()
![]()
С)
3) ![]()
D)
4)
5)
25. На рисунке
изображена график фукции
.
Соотнести:
А) Область
определение функция 1) ![]()
В) Область
значение функция 2) ![]()
С) Решение
неравества
3)
![]()
D) Решение
неравества
4)
5)

4 ЧЕТВЕРТЬ
1. Укажите промежуток, на котором функция
только возрастает.
A)
B)
C)
D) ![]()
2. Укажите промежуток, на котором функция
убывает.
A)
B)
C)
D) ![]()
3. На рисунке изображен график функции
. Сколько точек минимума
имеет функция?
A) 4 B) 5 C) 2 D) 1
4. Найдите точку максимума функции
.
A) -4 B) -2 C) 4 D) 2
5. Сколько критических точек имеет функция
?
A)
2 B) 1 C)
4 D) 3
6. На рисунке изображен график производной у =f ´(x).
Найдите точку максимума функции у =f(x).
A) 1 B) 3 C) 2 D) -2
7. Найдите точку минимума функции
.
A)
-2 B) -0,5 C)
0,5 D) 2
8. График функции у=f(x)
изображен на рисунке. Укажите наибольшее значение этой функции на отрезке
A) 2 B) 3 C) 4 D) 6
9. Найдите наименьшее значение функции
на отрезке
. A)
B)
3 C) 1 D) -![]()
10. Найдите наименьшее значение функции у=2sin
-1.
A)
-1; B) -3; C)
-2; D) -
.
11. Вычислите
.
A) 2;
B) 3; C) 9; D)
.
12. Вычислите
.
A) 2; B) 4; C) -2; D) -4.
13. Упростите выражение ![]()
A)
; B)
; C)
а; D)
.
14. Вычислите
A) 0,25; B) 0,5; C) 0,15; D) 5.
15. Найдите значения выражения
при у = 18.
A) 9(4+3
);
B) -
; C) 4+3
; D) 9.
16. Упростите выражение 
A)
B)
C)
D)
17. Найдите наименьшее значение функции
на отрезке [0;4].
A)
; B)
3; C) 1; D) -
.
18. Найдите наименьшее значение функции у=|2х+3|
-
.
A) -
; B)
0; C)
;
D) -
.
19. Найдите значение выражения:
.
A)
;
B) 1,2; C)
;
D)
.
20. Найдите значение выражения:
A) -4; B) 9; C) -5; D) 5.
21. Найти наибольшее значение функции на отрезке и соотнести:
А)
1)
В)
2)
С)
3)
D)
4)-3
5)0
22 Найти наименьшее значение функции на отрезке и соотнести:
А)
1)
В)
2)
С)
3)
D)
4)
;
5)
23. Найти область определения функции и соотнести:
А)
1) ![]()
![]()
В)
2)
С)
3)
D)
4)
![]()
5)
24. Соотнести:
А)
1) ![]()
В)
2) ![]()
С)
3)
D)
4)
5)
25. Соотнести:
А)
1)
В)
2)
С)
3) ![]()
D)
4)4
5)14
Материалы на данной страницы взяты из открытых источников либо размещены пользователем в соответствии с договором-офертой сайта. Вы можете сообщить о нарушении.