ТЕСТ ПО МАТЕМАТИКЕ 11 КЛАСС
1 ЧЕТВЕРТЬ
1. Найдите производную функции
.
A) 12х2 B) 12х C) 4х2 D) 12х3
2. Найдите производную функции
.
A) -5 B) 11 C) 6 D) 6х
3. Найдите производную функции
.
A)
B)
C)
D)
4. Найдите производную функции
.
A)
B)
C)
D)
5. Найдите производную функции
.
A)
B)
C)
D) ![]()
6. Вычислите значение производной функции
в точке хо=2.
A) 10 B) 12 C) 8 D) 6
7. Найдите производную функции
.
A)
B)
C)
D) ![]()
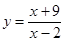
8. Вычислите значение производной функции
в точке хо=
4.
A) 21 B) 24 C) 0 D) 3,5
9. Вычислите значение производной функции
в точке
. A)
2 B)
C)
4 D) ![]()
10. Найдите производную функции
.
A)
B)
C)
D)
![]()
11. Выберите первообразную для функции
.
A)
B)
C)
D)
12. Какая из данных функций не является первообразной
для функции
?
A)
B)
C)
D)
13. Найдите общий вид первообразных для функции
.
A)
B)
C)
D)
14. Выберите первообразную для функции
.
A)
B)
C)
D)
15. Какая из данных функций не является первообразной
для функции
?
A)
B)
C)
D)
16. Найдите общий вид первообразных для функции
.
A)
B)
C)
D)
17.
Найдите все первообразные для функции
,
при всех
>0 .
A)
. B)
. C)
. D)
.
E)
.
18.
Найдите все первообразные для функции f(х)=
.
A)
. B)
. C)
.
D)
. E)
.
19.
Найдите все первообразные для функции f(х)=
.
A)
. B)
. C)
. D)
.
E)
.
20.
Найдите все первообразные для функции f(х)=
.
A)
. B)
. C)
.
D)
. E)
.
21. Соотнести:
|
А) x2 — 18x + 77 = 0 |
1) |
|
|
B) |
2) |
{11; 7} |
|
C) |x2 + x — 20| = 90 |
3) |
{—11; 6} |
|
D) (x + 2)(x + 3) = 72 |
4) |
{—11; 10} |
|
|
5) |
{—11; 11} |
22. Соотнести:
А)
;
1) ![]()
В)
;
2)![]()
С)
; 3) ![]()
D)![]()
; 4)
5)
23.Соотнести:
А) отрезок, соединяющий две точки окружности
B) отрезок, проходящий через центр окружности и соединяющий две точки окружности
C) отрезок, соединяющий точку окружности с её центром
D) прямая, проходящая через точку окружности перпендикулярно радиус
1)радиус
2)дуга
3)касательная
4)диаметр
5)хорда
24. Соотнести:
A)
1. ![]()
B)
2.
C)
3. ![]()
D)
4. ![]()
5.
![]()
25. Соотнести:
A)
1. ![]()
B)
2.
C)
3. ![]()
D)
4. ![]()
5.
![]()
2 ЧЕТВЕРТЬ
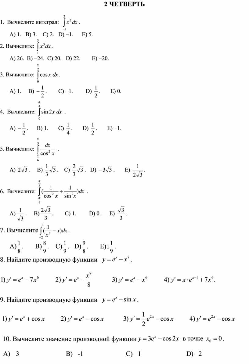
1.
Вычислите интеграл:
.
A) 1. B) 3. C) 2. D) −1. E) 5.
2.
Вычислите:
.
A) 26. B) −24. C) 20. D) 22. E) −20.
3.
Вычислите:
.
A) 1. B)
. C)
−1. D)
. E) 0.
4.
Вычислите:
.
A)
. B) 1. C)
. D)
. E) −1.
5.
Вычислите:
.
A)
. B)
. C)
. D)
. E)
.
6. Вычислите:
.
A)
. B)
. C)
1. D) 0. E)
.
7.
Вычислите
.
A)
. B)
. C)
. D)
. E)
.
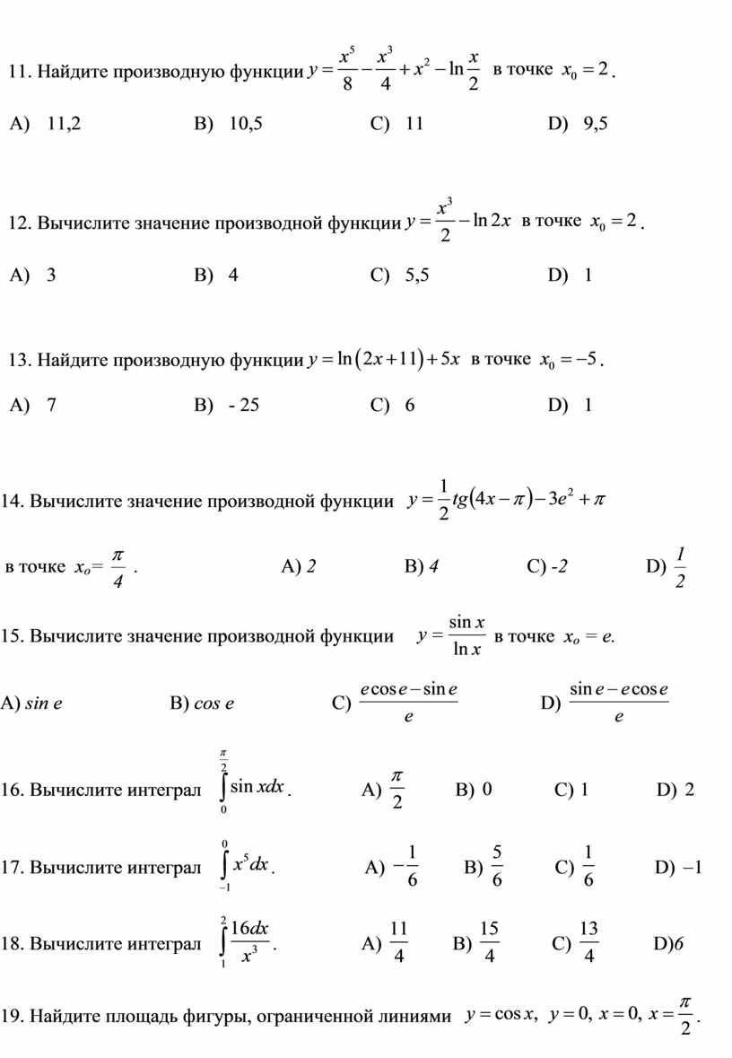
8.
Найдите
производную функции
.
9. Найдите производную функции
.
![]()
|
10. Вычислите
значение производной функции |
|||||||
|
A) |
3 |
B) |
-1 |
C) |
1 |
D) |
2 |
|
11. Найдите
производную функции |
|||||||
|
A) |
11,2 |
B) |
10,5 |
C) |
11 |
D) |
9,5 |
|
12. Вычислите
значение производной функции |
|||||||
|
A) |
3 |
B) |
4 |
C) |
5,5 |
D) |
1 |
|
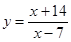
13. Найдите
производную функции |
|||||||
|
A) |
7 |
B) |
- 25 |
C) |
6 |
D) |
1 |
14. Вычислите значение производной функции
в точке хо=
. A)
2 B) 4 C) -2 D)
![]()
15. Вычислите значение производной функции
в точке хо = е.
A) sin e B)
cos e C)
D)
![]()
16. Вычислите интеграл
.
A)
B)
C)
D)
17. Вычислите интеграл
. A)
B)
C)
D)
18. Вычислите интеграл
. A)
B)
C)
D)6
19. Найдите площадь фигуры, ограниченной линиями
.
A)
B)
C)
D)
![]()
20. Найдите площадь фигуры, ограниченной линиями
.
A)
B)
C)
D)
![]()
21. Соотнести:
A)
, 1)
B)
, 2)
250,5
C)
, 3) 2
D)
4)
620,8
5) -2
22. Найти значение функции и соотнести:
А)
,
1)
В)
,
2)
С)
,
3)
![]()
D)
,
4)
2
5) 4
23. Соотнести:
![]()
![]()
![]()
![]()
![]()
24. Найти область определение функции и соотнести:
А)
1)
В)
2)
С)
3)
![]()
D)
4)
5)
25. Соотнести:
А)
1) ![]()
В)
2) ![]()
С)
3) ![]()
D)
4)
5)
3 ЧЕТВЕРТЬ
1.Найдите сумму корней уравнения :![]()
A)
B)
C)
D)![]()
2. Если
- корень
уравнения
, то значение выражения
равно
A)
B)
C)
D)![]()
3. Найдите произведение корней уравнения ![]()
A)-
B)
C)
D)![]()
4. Найдите наименьшее целое решение неравенства ![]()
A)
B)
C)
D) ![]()
5. Если
и
- решение системы уравнений
то значение выражения
равно
A)-
B)
C)
D)![]()
6. Найдите область определения функции
.
A)( 0; 1) B) (-¥; +¥) C) (-¥;0] È[1; +¥) D) (-¥;0)È(1; +¥)
7.
График какой функции изображен на рисунке?
A)
B)
![]()
C)
D)
8. Найдите область значений функции
.
A) (0; +¥) B) [-2; +¥) C) (-2; +¥) D) (-¥; -2)
9.
График какой функции изображен на рисунке?
A)
B)![]()
C)
D)
![]()
10. Какая функция является убывающей?
A)
B)
![]()
C)
D)
11. Укажите промежуток, которому принадлежит корень
уравнения
.
A) (0; 1) B) (4; 6) C) (2; 4) D) (1; 3)
12. Найдите сумму корней уравнения
.
A)
B)
30 C) 5 D) 3
13. Решите уравнение
.
A) 9 B) 8 C) 4 D) 10
14. Решите неравенство
.
A)(-¥; 2) B) [-14; 2] C) (-14;2) D) (-14; +¥)
15. Решите неравенство
.
A) (-¥; -5] B) (-5; +¥) C) (-¥;-5) D) [-5; +¥)
16. Укажите промежуток, которому принадлежит корень уравнения 2х-1+2х+1=20.
A) (0; A); B) (4; 6); C) (2; 4); D) (1; 3).
17. Найдите сумму корней уравнения 64х-17·8х+16=0.
A)
;
B)
; C)
5; D) 17.
18. Найдите сумму корней уравнения lg(5х-6)=2lgx.
A) 5; B) 2; C) 1; D) 12.
19. Укажите промежуток, которому принадлежит корень уравнения
log0,3(3-2x)=log0,3x.
A) (-1; 2); B)(4; 6); C) (2; 4); D) (-2; -A).
20. Найдите решение (хо; уо)
системы уравнений 
и вычислите значение
частного ![]()
A) 3; B) 5; C) 2; D) 1.
21. Найти область значение функции и соотнести:
|
|
1 |
2 |
3 |
4 |
5 |
|
A |
|
|
|
|
|
|
B |
|
|
|
|
|
|
C |
|
|
|
|
|
|
D |
|
|
|
|
|
А)
1)
В)
2)
С)
3) ![]()
D)
4)
5)
22. Найти значение функции и соотнести:
А)
,
1)
В)
,
2)
С)
,
3)
![]()
D)
,
4)
2
5) 4
23.В какому четверту относится.Соотнести:
А)
;
1) 1
|
|
1 |
2 |
3 |
4 |
5 |
|
A |
|
|
|
|
|
|
B |
|
|
|
|
|
|
C |
|
|
|
|
|
|
D |
|
|
|
|
|
В)
;
2) 2
С)
; 3) 3
D)
; 4) 4
5)1-2
24. Найти промежутки возрастания функқии и соотнести:
А)
1) ![]()
|
|
1 |
2 |
3 |
4 |
5 |
|
A |
|
|
|
|
|
|
B |
|
|
|
|
|
|
C |
|
|
|
|
|
|
D |
|
|
|
|
|
В)
2)
С)
3)
D)
4)
5)
25. Соотнести:
A)
, 1)
15 ,
|
|
1 |
2 |
3 |
4 |
5 |
|
A |
|
|
|
|
|
|
B |
|
|
|
|
|
|
C |
|
|
|
|
|
|
D |
|
|
|
|
|
B)
, 2)
3,
C)
,
3)
,
D)
4)
6,
5) 3,5
4 ЧЕТВЕРТЬ
1.Найдите сумму корней уравнения х3 +2х2 -9х –18 = 0.
A) -2 B) -8 C) 2 D) 8
2. Найдите сумму корней уравнения
.
A) 1,5 B) 8 C) 8,5 D) 6,5
3. Решите уравнение
.
A) 4 B) 12 C) 2 D) 8
4. Найдите сумму корней уравнения
.
A) 1 B) 3 C) 5 D) 6
5. Решите уравнение
.2
![]()
6. Сколько корней имеет уравнение: х4+9х2+4=0.
A) 2 B) ни одного C) 4 D) 1
7. Решите уравнение
.
A) 1 B) 2 C) 3 D) 8
8. Найдите сумму корней уравнения
.
A)
B)
C)
15 D) ![]()
9. Решите уравнение
.
A) 100 B) 1 C) 0,1 D) 10
10. Решите уравнение ![]()
![]()
11. Сколько корней имеет уравнение ![]()
A) 4 B) 2 C) 1 D) ни одного
12.
Укажите промежуток, которому принадлежит корень уравнения ![]()
A) (-
;0)
B) (0; 5) C) (5; 50) D) (50;100).
13. Решите уравнение
.
A)
B)
C)
3 D)
14. Найдите сумму корней уравнения
.
A) -1,25 B) -3,25 C) -1 D) 1
15. Решите неравенство
.
A)(-¥; 1) B)(0; +¥) C)(-¥; 0) D)(1; 0]
16. Решите неравенство
.
A)(-¥;1,25] B)[1,25;1,5) C)(-¥; 1,5) D) (-¥; -1,25]
17. Решите неравенство
A) [-6;-2)È(5;+¥) B) (-¥;-6) È(-2; 5) C) (-6;-2] È[5;+¥) D) (-¥;-6]È(-2;5)
18. Решите неравенство
.
A)(-¥; 2) B) (1; +¥) C) (-¥; 1) D) (-¥; 0]
19. Решите неравенство
.
A) (7;+¥) B) [5; 7) C) (0; 7) D) (5; 7]
20. Найдите наибольшее значение функции у=lg(100 –x2).
A) 10; B) 100; C) 2; D) 1.
21. Соотнести:
|
|
1 |
2 |
3 |
4 |
5 |
|
A |
|
|
|
|
|
|
B |
|
|
|
|
|
|
C |
|
|
|
|
|
|
D |
|
|
|
|
|
A)
.
1) -2.
B)
.
2) 125.
C)
.
3) 4.
D)
4)
2.
5) 0,5
22. Найти область значение функции и соотнести:
|
|
1 |
2 |
3 |
4 |
5 |
|
A |
|
|
|
|
|
|
B |
|
|
|
|
|
|
C |
|
|
|
|
|
|
D |
|
|
|
|
|
А)
1)
В)
2)
С)
3) ![]()
D)
4)
5)
|
|
1 |
2 |
3 |
4 |
5 |
|
A |
|
|
|
|
|
|
B |
|
|
|
|
|
|
C |
|
|
|
|
|
|
D |
|
|
|
|
|
23. Соотнести:
A) отрезок, соединяющий две точки окружности
B) отрезок, проходящий через центр окружности и соединяющий две точки окружности
C) отрезок, соединяющий точку окружности с её центром
D) прямая, проходящая через точку окружности перпендикулярно радиусу
1) радиус
2) дуга
3) касательная
4) диаметр
5) хорда
24. Найти область определение функции и соотнести:
|
|
1 |
2 |
3 |
4 |
5 |
|
A |
|
|
|
|
|
|
B |
|
|
|
|
|
|
C |
|
|
|
|
|
|
D |
|
|
|
|
|
А)
1)
![]()
В)
2)
С)
3)
D)
4)
5)
25. Соотнести:
|
|
1 |
2 |
3 |
4 |
5 |
|
A |
|
|
|
|
|
|
B |
|
|
|
|
|
|
C |
|
|
|
|
|
|
D |
|
|
|
|
|
A)
.
1) 1,5.
B)
.
2) 0,25.
C)
. 3)
0,5.
D)
4)
36.
5) 2
Материалы на данной страницы взяты из открытых источников либо размещены пользователем в соответствии с договором-офертой сайта. Вы можете сообщить о нарушении.