ТЕСТИ АЛГЕБРА СИНФИ 10
ЧОРЯКИ 1
1.Сода кунед: 
А)
; B).
;
C).
D)
;
2. Сода кунед: 
А).
-2; B). 1; C).
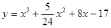
; D).
3. Муодиларо ҳал
кунед: ![]()
А). 2,5 ва
, B) 2ва 3; C). 3 ва
D). 2 ва 5
4. Муодиларо ҳал
кунед:
А)3 ва 0 B) 0 . C). 1 D).2 ва -3
5.
Муодиларо ҳал кунед: ![]()
А).-3 ва -2; B). 2ва 3; C).3ва1; D). 3 ва 2
6.Муодиларо ҳал кунед:
A) 5 B) -3; 5 C) -2 ва-3 D)
7. Муодиларо ҳал
кунед:
A) 8 B) -3; 8 C) -8;3 D) -3
8. Бо градус ифода кунед:![]()
A)
B)
C)
D)
9. Бо градус ифодакунед:![]()
A)
B)
C)
D)
10. Ҳисоб кунед: ![]()
A)
B)
C) 1 D)
11. Ҳисоб кунед: ![]()
A)
B)
C) 1 D)
12. Ҳисоб кунед: cos1050 + cos750
А) -1 В) 0 C) 1 D) sin 2
13. Ҳисоб
кунед: ![]()
А)
В)
С)
D)
14. Ҳисоб кунед: ![]()
А) 2 В) -1 С)
D)
0
15. Ҳисоб
кунед: ![]()
А)
В)
С)
D)
16.Касрро
ихтисор кунед :
![]()
17.Касрро
ихтисор кунед :
![]()
18.Касрро
ихтисор кунед :
![]()
19.Ифодаи
содда кунед :
![]()
20.Ифодаи
содда кунед :
![]()
21. Мувофиқати байни ифодаҳо ва қимати онҳоро барқарор кунед:
А)
1)
В)
2)
С)
3)
D)
4)
4
5)14
22.Мувофиқати байни ифодаҳо ва қимати онҳоро барқарор кунед:
А)
1)
В)
2)
С)
3) ![]()
D)
4)
5)
23.Мувофиқати байни муодилаҳо ва решаҳои онҳоро барқарор кунед:
А)
1) 8
В)
2)
С)
3) ![]()
D)
4)
5)
24. Мувофиқати байни муодилаҳо ва решаҳои онҳоро барқарор кунед:
А)
1)
В)
2)
С)
3) ![]()
D)
4)
5)
25. Мувофиқати байни муодилаҳо ва решаҳои онҳоро барқарор кунед:
А)
1)
В)
2)
С)
3) ![]()
D)
4) 1
5)
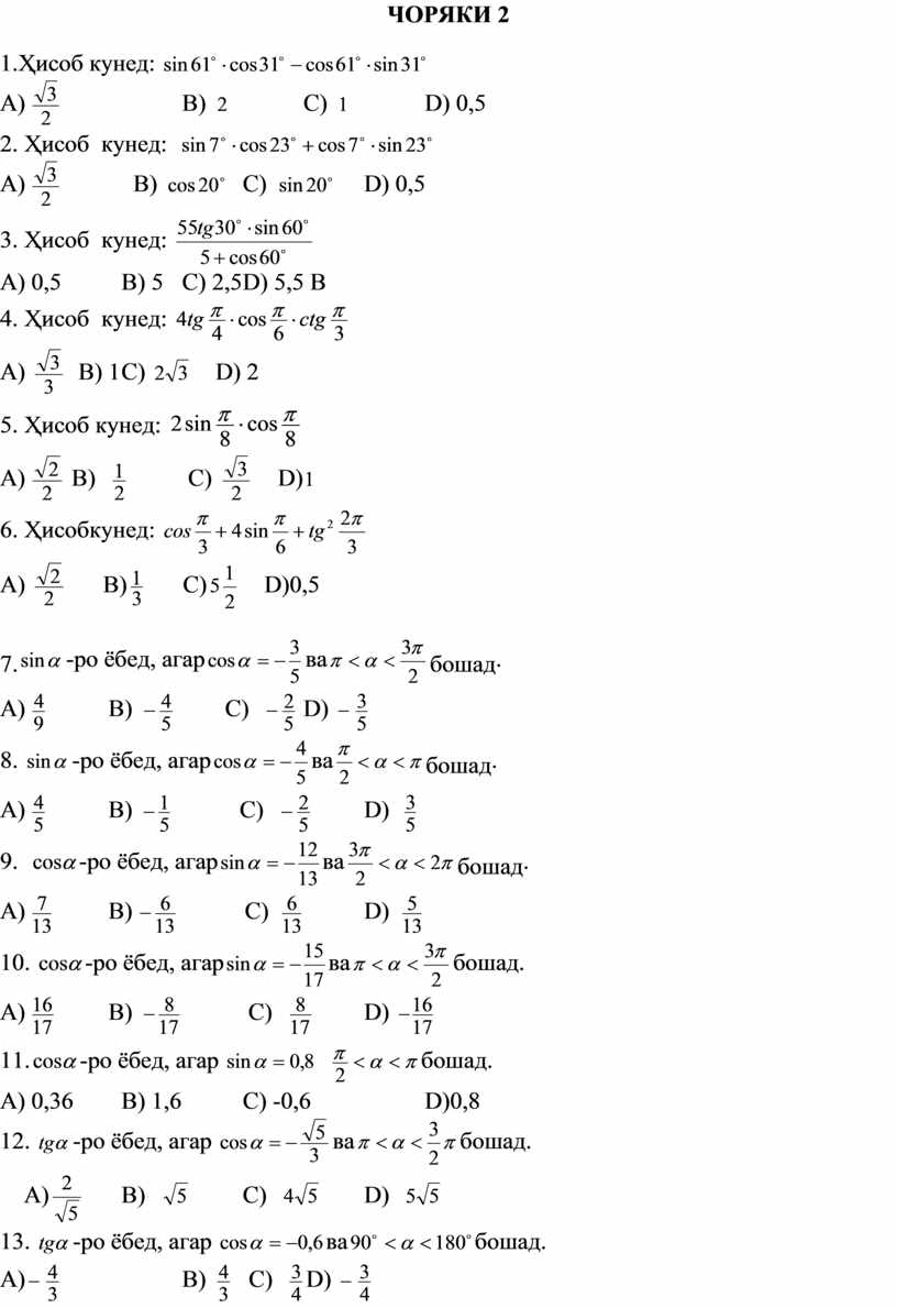
ЧОРЯКИ 2
1.Ҳисоб
кунед: ![]()
А)
В)
С)
D)
0,5
2.
Ҳисоб кунед: ![]()
А)
В)
С)
D)
0,5
3. Ҳисоб
кунед: ![]()
A) 0,5 B) 5 C) 2,5 D) 5,5 В
4. Ҳисоб
кунед: ![]()
А)
В) 1 С)
D)
2
5. Ҳисоб
кунед: ![]()
А)
В)
С)
D)
6. Ҳисобкунед: ![]()
A)
B)
C)
D)0,5
7.
-ро ёбед, агар
ва
бошад.
А)
В)
С)
D)
8.
-ро ёбед, агар
ва
бошад.
А)
В)
С)
D)
9.
-ро ёбед, агар
ва
бошад.
А)
В)
С)
D)
10.
-ро ёбед, агар
ва
бошад.
А)
В)
С)
D)
11.
-ро ёбед, агар
бошад.
A) 0,36 B) 1,6 С) -0,6 D)0,8
12.
-ро ёбед, агар
ва
бошад.
А)
В)
С)
D)
13.
-ро ёбед, агар
ва
бошад.
А)
В)
С)
D)
14.
-ро ёбед, агар
ва
бошад.
А)
В)
С)
D)
15.Системаи муодилаҳоро ҳал намоед:

А)
В) )
С) )
D)
16.Ҳисоб
кунед: ![]()
A)
B) 0
C) -1 D)
17. Ҳисоб
кунед: ![]()
А) 5 В)
С)
1 D)
3
18. Ҳисоб кунед: ![]()
А) 4 В)
С)
2 D) -1
19.Ифодаро сода кунед: ![]()
А)0 В) 1 С) 2 D)-2
20.
Ифодаро сода кунед: ![]()
А)
В)
С)
D)![]()
21.Мувофиқати байни формулаҳои додашударо барқарор кунед:
А)
1) ![]()
В)
2)![]()
С)
3)![]()
D)![]()
4)![]()
5)
22.Мувофиқати байни формулаҳои додашударо барқарор кунед:
А)
1) ![]()
В)
2) ![]()
С)
3)
![]()
D)
4)
![]()
5)
23.Формулаҳои мувофиқовариро истифода карда, мувофиқатро барқарор кунед:
А)
1) ![]()
В)
2) ![]()
С)
3)
D)![]()
4)![]()
5)
24.Мувофиқати байни ифодаҳо ва қимати онҳоро барқарор кунед:
А)
1)![]()
В)
2) ![]()
С)
3)![]()
D)![]()
4) ![]()
5)
25.Касрҳоро ихтисор намуда, мувофиқати байни онҳоро барқарор кунед:
А)
1) ![]()
В)
2) ![]()
С)
3)![]()
D)![]()
4)
5)
ЧОРЯКИ 3
1. Ҳисоб
кунед: ![]()
А)
В)
С)
D)
2.
Ҳисоб кунед: 2
arcsin
+ arctg1 + arccos
.
А) 2/3 π В) π С) 5π/6 D) 7π/6
3. Ҳисоб кунед: ![]()
А)
В)
С)
D)
4. Ҳисоб
кунед: ![]()
A)
B)
C)
D)
.
5. Ҳисоб кунед:
А) 26; B) 39; C) 13; D) 52;
6. Ҳисоб кунед:
А)
6; B)
4; C) 12; D)
2.
7.
Касрро ихтисор кунед
A)
B)
C)
D)
![]()
8.
Муодилаи
- ро ҳал кунед.
Агар зиёда аз як реша дошта бошад дар ҷавоб ҳосили ҷамъи решаҳои
онро нишон диҳед.
А) 25 B) 7 C) 16; D) 9
9. Кунҷи
дар кадом чоряк дохил аст, агар
бошад
A)
B)
C)
D) lV
10.Муодиларо ҳал
кунед ![]()
А)
В)
,
С)
,
D)
11. Решаи худтарини
мусбати муодиларо ёбед ![]()
А)
; В)
; С)
; D)
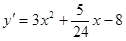
12.
Ҳосилаи функсияро ёбед:
А)
В)
С)
D)
13. Қимати ҳосилаи
функсия
-ро дар нуқтаи
ёбед.
А)
В)
С)
D)
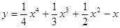
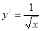
14.Ҳосилаи
функсияро нишон диҳед: ![]()
А)
В)
С)
D)
15. Ҳосилаи
функсияро нишон диҳед: ![]()
А)
В)
С)
D)
16. Қимати ҳосилаи
функсияи
-ро дар нуқтаи
ёбед.
А)
В)
С)
D)
17. Қимати ҳосилаи
функсияи
-ро дар нуқтаи
ёбед.
А)
В)
С)
D)
18. Қимати ҳосилаи
функсия
-ро дар нуқтаи
ёбед.
А)
В)
С)
D)
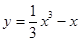
19.Ҳосилаи
функсияро ёбед:
.
A)
B)
C)
D) ![]()
20 .Ҳосилаи
функсияро ёбед:
.
A)
B)
C)
D) ![]()
21. Мувофиқати байни функсияҳо ва ҳосилаҳои онҳоро барқарор кунед:
А)
1)
В)
2)
С)
3) 3)
D)
4)
5)
22. Мувофиқати байни функсияҳо ва ҳосилаҳои онҳоро барқарор кунед:
А)
1) ![]()
-
В)
2)
С)
3)
D)
4)
5) ![]()
23.Мувофиқати байни функсияҳо ва ҳосилаҳои онҳоро барқарор кунед:
А)
1) ![]()
В)
2)
С)
3)
D)
4)
5)
24. Нобаробариҳоро ҳал намуда, мувофиқати байни маљмўи ҳалҳои онҳоро барқарор кунед:
А)
1) ![]()
В)
2) ![]()
![]()
![]()
![]()
С)
3) ![]()
D)
4)
5)
25.Графики
функсияи
дар расм тасвир
ёфтааст. Мувофиқатро баркарор кунед:
А) Соҳаи
муайянии функсия 1) ![]()
В) Соҳаи қиматҳои
функсия) 2) ![]()
С) Ҳалли
нобаробарии
3)
![]()
D) Ҳалли
нобаробарии
4)
5)

ЧОРЯКИ 4
1.
Қимати ифодаро ёбед:
А) 3; B) 1; C) 9; D) 6;
2.
Қимати ифодаро ёбед:
А)
; B) 2; C)
; D) 4;
3. Касрро ихтисор кунед
A)
B)
C)
D)
4.
Муодиларо ҳал кунед. Агар зиёда аз як реша дошта бошад дар љавоб ҳосили
љамъи решаҳои онро нишон диҳед
.
А) -2; B) 2; C) 4; D) 0
5.
Ифодаи
кадоме аз қиматҳои
додашударо қабул карда метавонад?
A)
B)
C)
D)
6.
Ҳисоб кунед:
А)
В)
С)
D)
0,5
7.
Қимати ифодаи
-ро ёбед, агар
бошад.
А)
В)
С)
D)
8.
Ҳисоб кунед:
A)
B)
C)
D)
.
9. Муодиларо ҳал кунед. ![]()
А)
В)
,
С)
D)
,
10.
Решаи худтарини мусбати муодиларо ёбед.
А)
; В)
; С)
; D)
11.
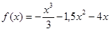
Ҳосилаи функсияро ёбед:
А)
В)
С)
D)
12.
Қимати ҳосилаи функсия
-ро дар нуқтаи
ёбед.
А)
В)
С)
D)
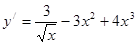
13.
Ҳосилаи функсияро ёбед:
А)
В)
С)
D) ![]()
14.
Муодилаи расанда ба графики функсияи
–
ро дар нуқтаи
нависед.
А)
, В)
, С)
, D)
15.
Фосилаи афзуншавии функсияро ёбед:
A) афзуншаванда B) ![]()
C) ![]()
D) ![]()
![]()
16. Максимуми функсияи
-ро
ёбед.
А). 2; B). -1; C). 1; D). -2
17. Муодилаи расандаро ба графики функсияи
дар нуқтаи
абсиссаш
=1 гузаронида
шудааст, нависед.
А)
.
B)
C)
; D) ![]()
18.Нобаробарии
– ро ҳал кунед, агар,
бошад.
А) ![]()
, В) ![]()
, С) ![]()
, D) ![]()
![]()
19. Барои
функсияи
, нобаробарии
−ро ҳал кунед.
А)
B). ![]()
C).
D).
20.Барои функсияи
муодилаи
– ро ҳал кунед.
А). 0;1 B). 1;4. C).- 1;4. D).2;25
21.Киматҳои калонтарини функсияҳоро дар фосилаҳои додашуда ёфта, мувофиқати байни онҳоро барқарор кунед:
А)
1)
В)
2)
С)
3)
D)
4)-3
5)0
22. Киматҳои хурдтарини функсияҳоро дар фосилаҳои додашуда ёфта, мувофиқати байни онҳоро барқарор кунед:
А)
1)
В)
2)
С)
3)
D)
4)
;
5)
23.Соҳаи муайянии функсиҳоро ёфта, мувофиқатро барқарор кунед:
А)
1) ![]()
![]()
В)
2)
С)
3)
D)
4)
![]()
5)
24.Мувофиқати байни ифодаҳо ва қимати онҳоро барқарор кунед:
А)
1) ![]()
В)
2) ![]()
С)
3)
D)
4)
5)
25.Мувофиқати байни ифодаҳо ва қимати онҳоро барқарор кунед:
А)
1)
В)
2)
С)
3) ![]()
D)
4)4
5)14
Материалы на данной страницы взяты из открытых источников либо размещены пользователем в соответствии с договором-офертой сайта. Вы можете сообщить о нарушении.