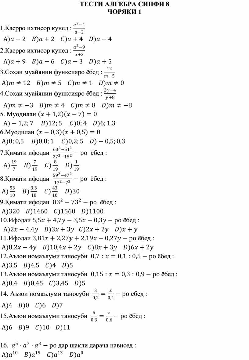
ТЕСТИ АЛГЕБРА СИНФИ 8
ЧОРЯКИ 1
1.Касрро
ихтисор кунед :
![]()
2.Касрро
ихтисор кунед :
![]()
3.Соҳаи
муайянии функсияро ёбед :
![]()
4.Соҳаи
муайянии функсияро ёбед :
![]()
5.
Муодилаи
![]()
6.Муодилаи
![]()
7.Қимати
ифодаи
ёбед :
![]()
8.Қимати
ифодаи
ёбед :
![]()
9.Қимати
ифодаи
ёбед :
![]()
10.Ифодаи
ёбед :
![]()
11.Ифодаи
ёбед :
![]()
12.Аъзои
номаълуми таносуби
ёбед :
![]()
13.Аъзои
номаълуми таносуби
ёбед :
![]()
14.
Аъзои номаълуми таносуби
ёбед :
![]()
15.Аъзои
номаълуми таносуби
ёбед :
![]()
16.
дар шакли
дараҷа нависед :
![]()
17.
дар шакли
дараҷа нависед :
![]()
18.
дар шакли
дараҷа нависед :
![]()
19.
Барои кадом қимати х ифода маъно надорад
.
|
|
|
B) |
|
C) |
|
D) |
|
20.
Касрро ихтисор кунед
.
|
|
|
B) |
|
C) |
|
D) |
|
21.Мувофиқати байни ифода ва қимати онро барқарор кунед:
A)
.
1) 1.
B)
2)
100.
C)
3)
12.
D)
4)
24.
5) 2.
22. ![]()
A)
1.
![]()
B)
2.
![]()
C)
3.
![]()
D)
4.
![]()
5.
![]()
23. ![]()
A)
1. ![]()
B)
2. ![]()
C)
3. 2
D)
4. ![]()
5.
![]()
24.Мувофиқати байни сутунҳоро барқарор кунед:
A)
1. ![]()
B)
2. ![]()
C)
3. ![]()
D)
4. ![]()
5.
![]()
25.Мувофиқати байни кунҷ ва таърифи онро барқарор намоед.
A) кунд 1) аз
хурд
B) тез 2) ба
баробар
бошад
C) кушод 3) аз
зиёд
ва аз
хурд
D) пурра 4) ![]()
5) ![]()
ЧОРЯКИ 2
1.Касрро
ихтисор кунед: ![]()
А)
В)
3 С)
Д) ![]()
2.
Касрро ихтисор кунед: ![]()
А)
В)
С)
Д) ![]()
3.
Касрро ихтисор кунед: ![]()
А)
В)
С)
Д) ![]()
4.
Касрро ихтисор кунед: ![]()
А)
В)
С)
Д) ![]()
5.
Касрро ихтисор кунед: ![]()
А)
В)
С)
Д) ![]()
6.
Соҳаи муайянии касрро ёбед: ![]()
А) у ≠3 В) у ≠4 С) у ≠-8 Д) у ≠0
7.
Соҳаи муайянии касрро ёбед: ![]()
А)
Ғайр
В)
≠0
С)
≠1 Д) Ғайр аз
≠-2
8.
Соҳаи муайянии касрро ёбед: ![]()
А)
Ғайр аз х = 3 В) ғайр аз х
С) ғайр аз х
Д) х
≠3
9.
Ифодаро сода кунед:![]()
А)
В)
С)
Д) ![]()
10.
Тақсимро иҷро кунед:![]()
А)
В)
С)
Д)
11.
Қимати решаро ёбед:
∙![]()
А) 25 В) 10 С) 50 Д) 40
12.
Қимати решаро ҳисоб кунед:![]()
А) 4 В) 6 С) 4 Д) 5
13.
Қимати решаро ҳисоб кунед: ![]()
А) 7 В) 6 С) 4 Д) 5
14.Касрро
ихтисор кунед: ![]()
А)
В)
С)
Д) ![]()
15.
Касрро ихтисор кунед: ![]()
А)
В)
С)
Д) ![]()
16.
Касрро ихтисор кунед: ![]()
А)
В)
С)
Д) ![]()
17.Нисбати се адад 5:4: 3 баробар аст. Суммаи ин ададҳо бошад ба 84 баробар аст. Ин ададҳоро ёбед:
А) 35; 20; 11 В) 35; 28; 21 С) 35; 20; 29 Д) 1; 40; 5
18. Периметри секунҷаи баробартараф ба 48 см баробар аст. Тарафҳои секунҷаро ёбед:
А) 15; 16; 15 В) 16; 16; 15 С) 20; 21; 22 Д) 16; 16; 16
19. Сода кунед:
A) 12. B)
.
C)
. D) 18
20. Сода кунед:
A)
. B) 6. C) – 60. D) ![]()
21. Мувофиқати байни ифода ва қимати онро барқарор кунед:
A)
.
1) 4.
B)
2)
1.
C)
3)
27.
D)
4)
196.
5) 26
22. Мувофиқати байни ифода ва қимати онро барқарор кунед:
A)
.
1) 8.
B)
2)
1,5.
C)
3) 2,6.
D)
4)
1,7.
5) 0,4.
23. Мувофиқати байни ифода ва қимати онро барқарор кунед:
A)
.
1) 45.
B)
2)
15.
C)
3)
5.
D)
4) 16.
5) 25.
24. Мувофиқати байни ифода ва қимати онро барқарор кунед:
A)
.
1) 5.
B)
2)
-5.
C)
3)
64.
D)
4) 72.
5) 2
25.Мувофиқатро
барқарор намоед:
A) Маҷмўи ададҳои натуралӣ 1. Q
B) Маҷмўи ададҳои бутун 2. C
C) Маҷмўи ададҳои ратсионалӣ 3. Z
D) Маҷмўи ададҳои ҳақиқӣ 4. N
5. R
ЧОРЯКИ 3
1.Муодиларо ҳал кунед ![]()
А) 5 В) -3 С) 3 D) 2
2.Муодиларо ҳал кунед ![]()
А)
ва1 В)
ва -2 С) 3ва 4 D)
ва 2
3.Муодиларо ҳал кунед ![]()
А)
ва-0,75
В) 0,8ва-2,5 С) 0,2ва 4 D)
ва 3
4.Суммаи решаҳои муодиларо ёбед: ![]()
А) -7 В) -5 С) 5 D) 2
5.Ҳосили зарби решаҳои муодиларо ёбед ![]()
А) 4 В) 5 С)7 D) 3
6. Ҳангоми кадом қиматҳои c муодила реша надорад?
А)
В)
С)
D) ![]()
7. Ҳангоми кадом қиматҳои
муодила як реша дорад?
А) -0,,5 В) 2,5 С)1,5 D) 0,5
8. Ҳангоми кадом қиматҳои b муодила як реша дорад?
А) -4;0 В) -2;-2 С)-4;4 D) 0;4
9.
Содда кунед:
,![]()
А)
B)
C)
10.
Содда кунед:![]()
А)
B)
C)
11.Нобаробариро ҳал кунед:![]()
![]()
12.Нобаробариро ҳал кунед:![]()
А)
B)
C) (
D) (-1; 3)
13.Нобаробариро ҳал кунед:![]()
А)
B)
C) (
D) (-1; 3)
14.Нобаробариро ҳал кунед:![]()
А)
B)
C) (
D) (-1; 3)
15. Касрро ихтисор кунед:![]()
А)
B)
C)
D)
5
16. Касрро ихтисор кунед:![]()
А)
B)
C)
D)
5
17. Қимати решаро ёбед:
∙![]()
А) 25 B) 10 C) 50 D) 40
18. Қимати решаро ёбед:![]()
А) 250 B) 100 C) 500 D) 200
19.Хонанда 80 саҳифаи китобро хонд, ки 32% - и ҳамаи китобро ташкил медод. Китоб чанд саҳифа дорад?
A) 250. B) 300. C) 350. D) 400
20. Картошка 20% крахмала дорад. Барои ҳосил кардани 40 кг крахмал чї қадар картошка лозим аст?
A) 100 кг. B) 200 кг. C) 300 кг. D) 400 кг
21.Мувофиқати байни функсияҳо ва соҳаи муайянии онҳоро барқарор намоед:
А)
1)
![]()
В)
2)
С)
3)
D)
4) ![]()
5)
![]()
22.Мувофиқати байни нобаробариҳо ва ҳалҳои онҳоро барқарор кунед:
А)
1) ![]()
В)
2) ![]()
С)
3) ![]()
D)
4)
5)
23.Мувофиқати байни нобаробариҳо ва ҳалли онҳоро барқарор кунед:
А)
1) ![]()
В)
2)
![]()
С)
3)
![]()
D)
4)
5)
24.Мувофиқати бисёркунҷаи барҷаста ва суммаи кунҷҳои дохилии онро муайян кунед:
А) чоркунҷа 1) 720°
В) панҷкунҷа 2) 540°
С) шашкунҷа 3) 860°
D) ҳашткунҷа 4) 1 080°
5) 360°
25. Мувофиқати фигураи
геометрӣ ва формулаи
ҳисоб кардани
масоҳати онро муайян кунед:
![]()
![]()
![]()
![]()
![]()
ЧОРЯКИ 4
1.Муодиларо ҳал кунед: ![]()
А) 0; -5 В) 0 С) 5 Д) -2; 3
2.Муодиларо ҳал кунед:
А) -4,5 В) 4,5 С) 0; 4,5 Д) 0
3.Муодиларо ҳал кунед:3х - х2 = 0
А) 3 В) 0;3 С) – 3; 0 Д) ∅
4.Муодиларо ҳал кунед:2х2 -9х +10= 0
А) 3; 3,5 В) -2; 2,5 С) -2; 3 Д) 2; 2,5
5.Муодиларо ҳал кунед:5х2 + 3х – 8= 0
А) -10; 10 В) -1,6; 1 С) 6 ; 2 Д) ∅
6. Муодилароҳалкунед:2х2 -199 = 1
А) -10; 10 В) -10; 5 С) 10 ; 12 Д) ∅
7.Ҳосили зарби ду адади натуралӣ, ки яке аз дигараш 6 воҳид калонаст, ба 187 баробар мебошад, онҳоро ёбед:
А) 11; 5 В) 11; 14 С) 11 ; 17 Д) 12; 6
8.Адади 120- ро ба намуди ҳосилизарби ду ададе, ки яке аз дигараш 2 воҳид хурдаст, ифода намоед.
А) 8; 10 В) 10; 12 С) 20 ; 22 Д) 4; 6
9. Дарозии росткунҷа аз бараш 4 см зиёд буда, масоҳаташ 60 см2аст. Периметри росткунҷаро ёбед.
А) 36 см В) 30 см С) 48 см Д) 32 см
10. Як тарафи росткунҷа аз тарафидигараш 14 см дарозтарбуда, диагнолаш ба 34 см баробараст. Дарозии тарафҳоиро секунҷаро ёбед:
А) 18; 20 В) 16; 14 С) 16; 30 Д) 12; 18
11.Муодилароҳалкунед: ![]()
А) -2 В)
1 С)
Д)
0,5
12.Яке аз решаҳоимуодилаи х2 – 13 х + q= 0 ба 12,5 баробараст. Решаи дуюм ва коэфисиенти q- роёбед:
А) -10 ;q= -80 В) -5; q= -2 С) 0,5; q= 6,25 Д) 4; q= -9
13.Нобаробариро ҳал кунед: ![]()
А) (-∞; 12) В) (12; +∞) С) (24; 24) Д) (-∞; -24)
14. Ҳисоб кунед:
![]()
А) 6
В) 6
С) 6
Д) 6m![]()
15.Масоҳати
трапетсияро ёбед:
А) 40 м2
В) 55 м2
С) 30 м2
D) 25 м2
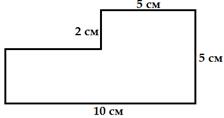
16.Масоҳати шаклро ёбед:
А) 50 см2
В) 25 см2
С) 15 см2
D) 40 см2
17.Муодиларо ҳал кунед: 3
А) 1;-11 В) 1;
-44
С) -44
Д) 2
18. Агар Х1ва Х2 решаҳои муодилаи квадратии
бошад, қимати ифодаи
- ро ҳисоб кунед:
А) 100 В)
С)
Д) 105
19. Агар Х1ва Х2 решаҳои муодилаи квадратии
бошад, қимати ифодаи
- ро ҳисоб кунед:
А) -2 В)
С)
Д) 3
20.Чунин 5 адади пай дар пайи натуралиро ёбед, ки суммаи квадратҳои се адади аввалин ба суммаи квадратҳои ду адади охирон баробар аст.
А) 1; 2; 3; 4; 5 В) 10;11; 12; 13; 14 С) 2; 3; 4; 5; 6 Д) 4; 5; 6; 7; 8; 9
21.Мувофиқати байни ифода ва қимати онро барқарор кунед:
A)
. 1)
8.
B)
2)
1,5.
C)
3)
2,6.
D)
4)
1,7.
5) 0,4.
22. Мувофиқати байни муодилаҳо ва решаҳои онҳоро барқарор кунед:
А)
В)
С) ![]()
D) ![]()
![]()
5) х1 = -4, х2=-3
23.График ва функсияҳоро мувофиқ гузоред:




А) В) С) D)
1)
![]()
2)
![]()
3)
![]()
4)
![]()
5)
![]()
24. Мувофиқати байни нобаробариҳо ва ҳалҳои онҳоро барқарор кунед:
А)
1) ![]()
В)
2) ![]()
С)
3) ![]()
D)
4)
5)
25. Мувофиқати шарти додашуда ва нобаробариро муайян кунед:
А) Суммаи
ададҳои 𝑥 ва 17 аз 18 калон аст. 1) 𝑥 — 17 < 18
В) Суммаи ададҳои 𝑥 ва 17 аз 18 калон нест. 2) 𝑥 — 17 ≤ 18
С) Фарқи ададҳои 𝑥 ва 17 аз 18 хурд аст. 3) 𝑥 + 17 < 18
D)Фарқи ададҳои 𝑥 ва 17 аз 18 калон нест. 4) 𝑥 + 17 > 18
5) 𝑥 + 17 ≤ 18
Материалы на данной страницы взяты из открытых источников либо размещены пользователем в соответствии с договором-офертой сайта. Вы можете сообщить о нарушении.