План 7

  • docx
  • 02.12.2025
Публикация на сайте для учителей

Публикация педагогических разработок

Бесплатное участие. Свидетельство автора сразу.
Мгновенные 10 документов в портфолио.

Иконка файла материала Возведение одночлена в степень.docx


Возведение одночлена в степень

Цели: формировать умение возводить одночлен в степень и приводить его к стандартному виду.

Ход урока

I. Организационный момент

II. Объяснение нового материала.

1. Актуализация знаний.

Выполните устно умножение одночленов.

а) a3 ∙  a4;б) a ∙  a2;            в) –a ∙  a2 ∙  a4;г) a ∙  (–x);             д) (–x) ∙  (–y);    е) (–x) ∙  ;

ж) (–2a) ∙  a2;             з) b2 ∙  (–3b3);    и)  ∙  6y;к) (0,2a) ∙  (–5b);л)  ∙  (–4ab); м) (–8m3) ∙  (–0,5n).

2. Теперь рассмотрим произведение двух или нескольких одинаковых одночленов, то есть степень одночлена. Например, (5a3b2c)2. Так как этот одночлен является произведением чисел 5, a3, b2, c, то по свойству возведения в степень произведения имеем:

(5a3b2c)2 = 52(a3)2(b2)2c2 = 25a6b4c2.

В результате возведения одночлена в натуральную степень снова получается одночлен.

III. Формирование умений и навыков.

1. № 472.

Решение:

а) ;б) ;в) ;

г) ;д) ;

е) .

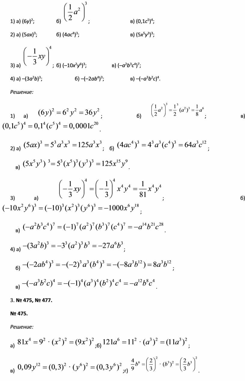
2. Выполните возведение одночлена в степень.

1) а) (6y)2;                  б) ;                                   в) (0,1c5)4;

2) а) (5ax)3;                б) (4ac4)3;                                          в) (5x5y3)3;

3) а) ;   б) (–10x2y6)3;                    в) (–a2b3c4)7;

4) а) –(3a2b)3;                           б) –(–2ab4)3;                     в) –(–a3b2c)4.

Решение:

1) а) ;    б) ;    в) .

2) а) ;    б) ;

    в) .

3) а) ;    б) ;

    в) .

4) а) ;

    б) ;

    в) .

3. № 475, № 477.

№ 475.

Решение:

а) ;б);

в) ;г) .

№ 477.

Решение:

а) ;    ;

б) ;    .

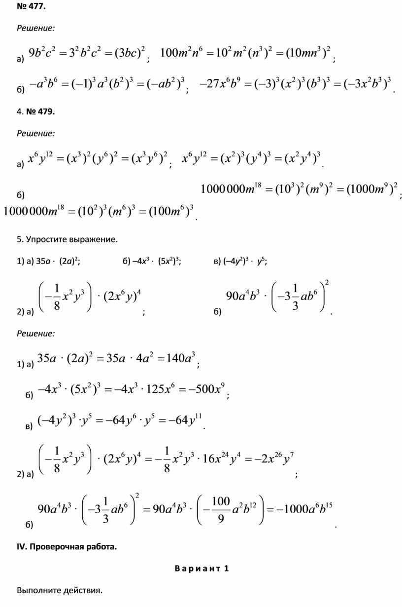
4. № 479.

Решение:

а) ;    .

б) ;    .

5. Упростите выражение.

1) а) 35a ∙  (2a)2;                      б) –4x3 ∙  (5x2)3;                в) (–4y2)3 ∙  y5;

2) а) ;                                    б) .

Решение:

1) а) ;

    б) ;

    в) .

2) а) ;

    б) .

IV. Проверочная работа.

Вариант 1

Выполните действия.

1)  ∙  (–24n) ∙  (4mn);                 2) ;                  3) (0,1a3b3)3.

Вариант 2

Выполните действия.

1) (–18n) ∙   ∙  (–5mn);              2) ;                              3) (0,4a3b2)2.

V. Итоги урока.

– Дайте определение одночлена.

– В  каком  случае  мы  говорим,  что  одночлен  задан  в  стандартном виде?

– Сформулируйте определение степени одночлена. Приведите пример.

– Каким образом можно умножить одночлен на одночлен? Что получится в результате?

– Как возвести одночлен в степень? На какое правило мы при этом опираемся?

Домашнее задание: № 473; № 474; № 476; № 478; № 480.