План 8

  • docx
  • 16.11.2025
Публикация на сайте для учителей

Публикация педагогических разработок

Бесплатное участие. Свидетельство автора сразу.
Мгновенные 10 документов в портфолио.

Иконка файла материала Биквадратное уравнение.docx

Алгебра 8 класс

УМК С.М. Никольский

Тема: Биквадратное уравнение

 

Тип урока: урок освоения и первичного закрепления новых знаний

 

Цель: познакомить учащихся с понятием биквадратного уравнения, показать метод введения новой переменной для решения биквадратных уравнений; совершенствовать вычислительные навыки учащихся, отрабатывать применение формул дискриминанта и корней квадратного уравнения.

 

Коммуникативные: слушать других, пытаться принимать другую точку зрения, быть готовым изменить свою точку зрения.

Регулятивные: проводить контроль в форме сравнения способа действия и его результат с заданным эталоном с целью обнаружения отклонений от эталона и внесения необходимых коррективов.

Познавательные: выделять существенную информацию из текстов разных видов

 

Ход урока

Этап урока

Деятельность учителя

Деятельность учащихся

Организационный момент

Визуальная проверка готовности класса к уроку

Проверка готовности своего рабочего места, положительный настрой на работу

Актуализация знаний

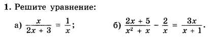
На прошлом уроке мы с вами повторили понятие рационального уравнения. Сейчас вам предстоит выполнить небольшую работу по решению рац-х уравнений.

(Лучше вместе, потому что были только Костя и Камила на этой теме)

Выполняют работу

Постановка темы и цели урока

Сегодня на уроке нам предстоит познакомиться с еще одним видом уравнений, тесно связанных с квадратными. Тема урока «Биквадратное уравнение»

Что значит приставка би?

Это квадратное уравнение, взятое 2 раза. Т.е. уравнение 4 степени

Записывают тему урока, формулируют цели.

Работа по теме урока

1.введем новую переменную, например у

У=х2, получим новое уравнение:

У2-4у+3=0 – это обычное квадратное уравнение, к доске пойдет его решать Черниязова Альбина, остальные в тетрадях.

Нашли корни у1=1, у2=3

2.возвращаемся к нашей замене:

Х2=1, Х2=3,  

 

Рассуждают, отвечают на вопросы учителя, делают необходимые записи в тетрадь

Физминутка

Таблица умножения

Смена деятельности

Закрепление изученного материала

Выполняют упражнения на применение теоремы Виета

Рефлексия

Что узнали?

Что повторили?

Что вызвало затруднение?

Подводят итоги

Домашнее задание

Дома записать примеры в тетрадь №2-№4, №297(2 столбик) или что останется

Записывают д/з