Практическая работа №17 Тема: Оформление формул редактором MS Equation
Цель работы: Получить практические навыки при работе с редактором формул.
Оборудование: ПК
Содержание работы
Задание 1
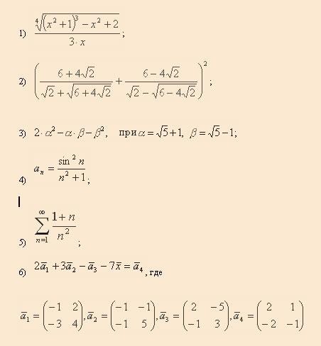
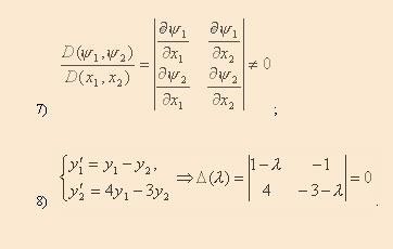
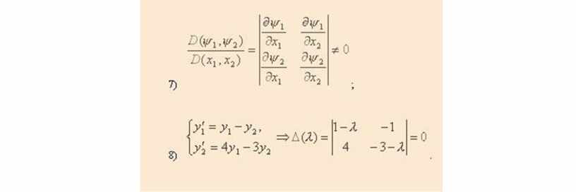
1. Создайте документ. Используя вставку символов, напечатайте приведенные математические формулы:


Материалы на данной страницы взяты из открытых источников либо размещены пользователем в соответствии с договором-офертой сайта. Вы можете сообщить о нарушении.