Практическое занятие №7
«Ввод формул»
Цель работы: научится работать с редактором формул, приобрести навыки по оформлению различных математических выражений с использованием формул и символов.
Порядок выполнения работы:
Заданий №1
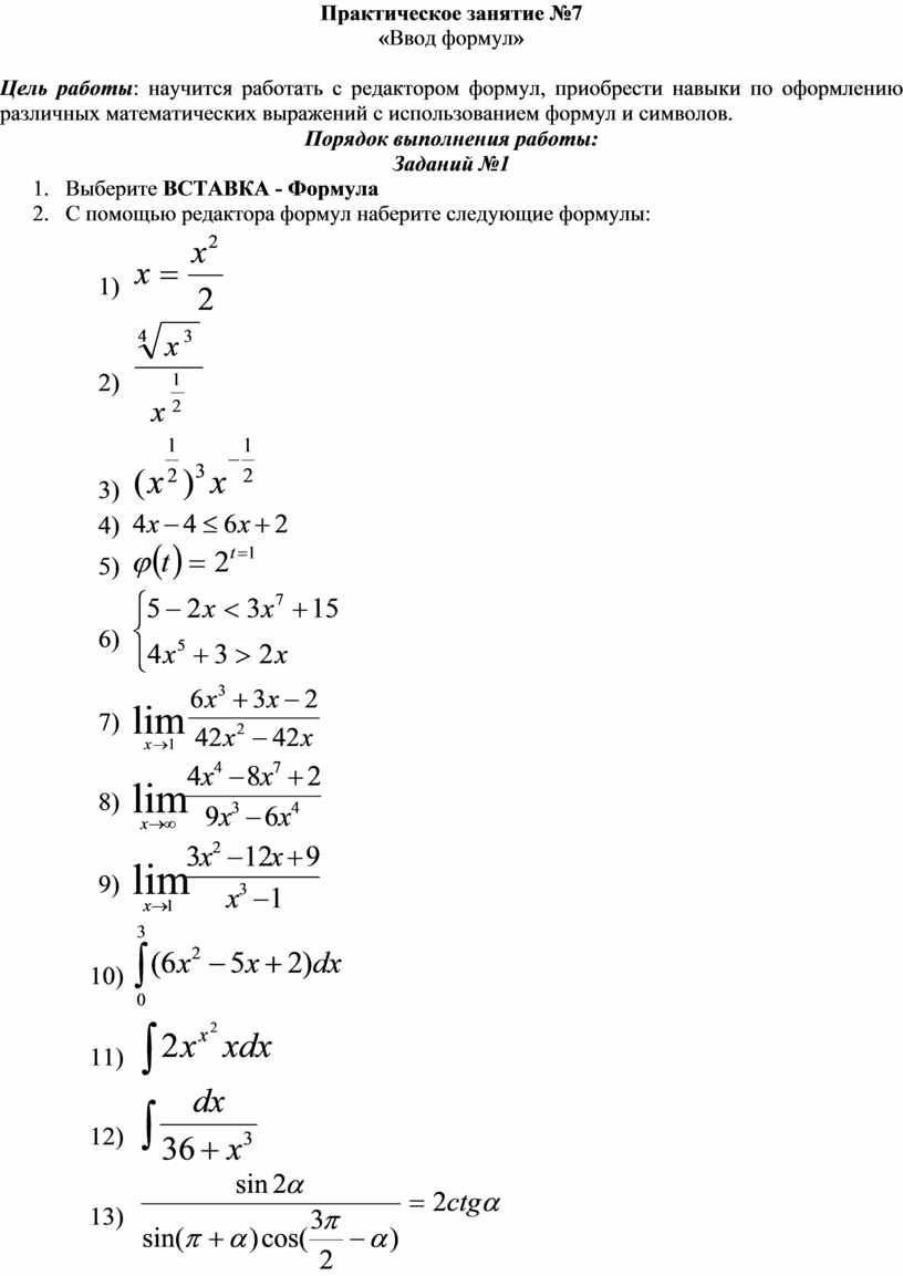
1. Выберите ВСТАВКА - Формула
1)

2)

3)

4)
![]()
5)
![]()
6)

7)

8)

9)

10) 
11) ![]()
12) 
13) 
14) ![]()
![]()
Заданий №2
1. Выберите ВСТАВКА - Символ
2*2=4
60°
2,33≈2
75≠70
a, β, φ, ξ – буквы греческого алфавита.
? & 6 ' J M Q R [
? & 6 ' J M Q R [
ÂN^"§õ
8. Закройте документ, сохранив его под именем Символы в своей папке.
Контрольные вопросы:
1. Как вставить в текст математическую формулу?
2. Как вставить символ?
3. Какие объекты можно размещать на странице документа?
4. Что располагается на панели инструментов вставка?
5. Какие возможности у конструктора формул?
6. Меняется ли символ от выбора шрифта? Что такое специальные знаки?
Материалы на данной страницы взяты из открытых источников либо размещены пользователем в соответствии с договором-офертой сайта. Вы можете сообщить о нарушении.