ПРАКТИЧЕСКОЕ ЗАНЯТИЕ
Тема: Программирование линейных алгоритмов
Цель: формирование практических умений ввода и вывода данных при выполнении программы, программированию простейшие линейных алгоритмов.
Формируемые компетенции: ОК 1, ОК 2, ОК 3, ОК 4, ОК 8, ОК 9, ОК10
Материально-техническое и информационное обеспечение:
персональные компьютеры, среда программирования QBasic.
Краткие теоретические сведения
Операторы ввода и вывода данных
Программа на Бейсике состоит из пронумерованных строк. В одной строке может содержаться один или несколько операторов. Несколько операторов в одной строке разделяются между собой двоеточием.
Обычно строки нумеруются начиная с 10 с шагом 10 (10, 20, 30, …) и исполняются в порядке возрастания их номеров, такие алгоритмы называются линейными.
При написании программы, как правило, используют переменные, называют их буквами латинского алфавита A, B, C, D. При исполнении программы необходимо определить значение используемых в программе переменных. Это позволяет сделать оператор INPUT. При этом каждой переменной присваивается одно значение. Значение переменной хранится в ячейке памяти и для того чтобы вывести его на экран необходимо использовать в программе оператор PRINT.
Оператор PRINT используется также для вывода на экран различных поясняющих надписей. В этом случае текст надписи заключается в кавычки PRINT “а =”.
Ход работы:
Задание 1
Наберите текст программы и исполните её для А=1, 2.5, 3, -4 10 INPUT A
20 PRINT “A=”; А
Запустите программу на исполнение (Shift+F5)
На экране появится знак вопроса, это означает, что машина ожидает ввода информации. Введите первое значение переменной 1 . Для того чтобы ввести второе значение (2.5) нужно снова запустить программу на исполнение. Таким образом, в нашем примере нужно 4 раза запустить программу на исполнение.
Задание 2
Если в программе используется несколько переменных, то их значения можно ввести списком при помощи одного оператора INPUT при этом переменные в списке разделяются запятой INPUT A,В
Наберите и исполните программу для А=1 В=2 С=3 10 INPUT A,В
20 PRINT “A=”; А, “В=”; В
30 INPUT С
40 PRINT “С=”; С
После появления на экране ? введите значения переменных А и В через запятую и нажмите Enter.
?1,2
На экране появится А=1 В=2 и второй знак вопроса ?, это означает, что машина исполняет 20 и 30 строки ваше программы и ждет значения переменной С. Введите значение переменной 3.
?3
При использовании в операторе PRINT нескольких переменных можно использовать разные разделители “ ’ “, “ , ”, “ ; ” при этом информация выводится в различном виде:
Задание 3
Наберите и исполните следующую программу для А=1, В=0,5, С=-5. 10 INPUT A,В,С
20 PRINT “Вывод результата” 30 PRINT A;В;С
40 PRINT A,В,С
50 PRINT A’В’С
Запишите в тетради текст программы и результаты её работы
Оператор присваивания
Значение переменной можно задать оператором присваивания в программе непосредственно А=4 или через формулу А=В+С в последнем случае переменные в формуле должны быть уже определены ранее в программе.
Задание 4
Вычислите площадь круга для R=4.5 , 6 , 9.8 10 INPUT R
20 P=3.14159
30 S=P*R*R
40 PRINT “площадь круга” 50 PRINT “S=”;S
В нашем примере значение переменной R вводится с клавиатуры, Р и S
задается при помощи оператора присваивания.
Встроенные функции Basic
В языке Basic предусмотрены встроенные математические функции, выполняющие следующие распространенные операции:
ABS (X) – модуль числа или арифметического выражения ( х+у). COS(X)-Косинус угла выраженного в радианах
SIN(X) - Синус угла выраженного в радианах TAN(X) - Тангенс угла выраженного в радианах EXP(X) - ех
LOG(X) – Натуральный логарифм числа или арифметического выражения ln x
SQR(X) – Корень квадратный числа или арифметического выражения
INT(X) – Целая часть числа
CINT(X) – Округляет значение арифметического выражения по правилам арифметики.
При написании математических выражений используются следующие знаки операций:
*-умножение + - сложение
/ - деление - _ вычитание
![]()
^ -возведение в степень Пример:
sin x + e 2
- ln(2xy)
(SIN(X)+EXP(2))/SQR(X^2+Y^2)-ABS(LOG(2*X*Y))
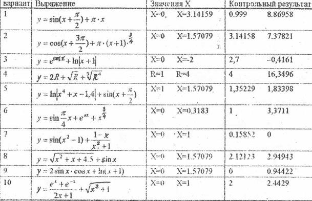
Задание 5
Выполните задание для самостоятельной работы в соответствии с Вашим вариантом. В задании необходимо вычислить значение выражения, ввести предложенные исходные данные и сравнить результат с эталоном.

Задание 6
Выполните задание для самостоятельной работы в соответствии с Вашим вариантом. В задании необходимо вычислить значение выражения, исходные данные определить самому при реализации программы:
1
вариант.
-
x
Z = e y
+ p + 1,5 +
2 вариант
z = x 2 + y 2 + +
e-x × p
3 вариант
![]()
z =
ecos(x+ y) + ln cos(x +
y) +
15,75
4вариант
Z = x 2 + y 2 +
4
5 вариант
Z = 12,7 × sin(x - y) + e
+
-ln
x +
14,25
![]()
x 2 + y 2
x 2 + y 2
6 вариант.
-
x
![]()
z = 2p (x +
y) + _ x + y + 3sin x × e y
7 вариант
z = tg(x 2 +
2x + 4,5) +
8 вариант
+ 3 (x 2 + 2x + 4,5) 4
![]()
![]()
Z = 2 sin x cos
x + ln x + y +
p × tg(x - 13,7)
9 вариант
3 3
![]()
Z = x 4 + y 4 + 2xy + ln xy
10 ![]()
вариант.
![]()
Z =
3 43,08(x +
y) + 2
+
![]()
ln x + y
Формы и методы контроля и оценка результатов обучения: Наблюдение и оценка выполнения практических заданий. Оценка выполнения самостоятельной работы.
Материалы на данной страницы взяты из открытых источников либо размещены пользователем в соответствии с договором-офертой сайта. Вы можете сообщить о нарушении.