Презентация 10

  • pptx
  • 23.10.2025
Публикация на сайте для учителей

Публикация педагогических разработок

Бесплатное участие. Свидетельство автора сразу.
Мгновенные 10 документов в портфолио.

Иконка файла материала _Тригонометрические тождества_.pptx

Тригонометрические
тождества

Доказательство:

Способы доказательства тождеств:

преобразование левой части к правой;
преобразование правой части к левой;
установление того, что разность между левой и правой частями равна нулю;
преобразование левой и правой частей к одному и тому же выражению.

Доказательство:

Доказательство:

Доказательство:

1)

2)

В классе:

№ 465 (1,3,5),
№ 466 (1,3),
№ 467 (1),
№ 469 (1,3).

Д/з:

§26,

№ 465 (2,4,6),
№ 466 (2,4),
№ 467 (2),
№ 469 (2,4).

Урок 2

Решение:

В классе:

№ 467 (3),
№ 468 (1),
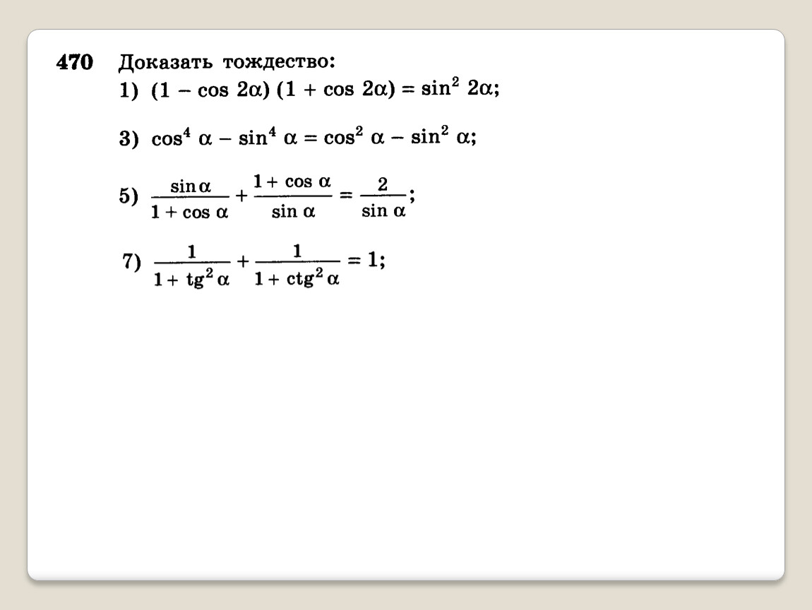
№ 470 (1,3,5,7),
№ 474 (1,3).

Д/з:

§26,

№ 467 (4),
№ 468 (2),
№ 470 (2,4,6,8),
№ 474 (2,4).