Расчет коэффициента финансового рычага
В то время как эффект операционного рычага влияет на результат до учета процентов уплаченных и налогов, эффект финансового рычага возникает, когда предприятие имеет задолженность или располагает источником финансирования, который влечет за собой выплату постоянных сумм. Он воздействует на чистую прибыль предприятия и, таким образом, на рентабельность собственного капитала.
Рычаг представляет собой приспособление, позволяющее получить значительное увеличение результата благодаря использованию точки опоры.
Понятие рычага возникает тогда, когда в затратах организации имеются стабильные элементы, не находящиеся в прямой зависимости (в определенных пределах) от объемов выполняемых работ, т.е. постоянные расходы.
Эффект финансового рычага увеличивает влияние роста годового оборота на рентабельность собственного капитала.
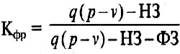
Для его измерения подсчитаем коэффициент финансового рычага (Кфр):

где q — проданное количество изделий;
р — продажная цена единицы изделия;
НЗ — постоянные расходы;
ФЗ — финансовые расходы (проценты уплаченные и налоги).
Пример. Наша организация продает 583 изделия по 28 руб. за единицу. Переменные расходы на единицу изделия составляют 14,68 руб. Постоянные расходы — 4857 тыс. руб. Финансовые расходы равны 2015 тыс.руб.
Каков коэффициент финансового рычага данного предприятия?

Это означает, что прирост на 1% прибыли до финансовых расходов и налогов (прибыли от продажи) влечет изменение на 3,3% рентабельности собственного капитала. Таким образом, если прибыль до финансовых расходов и налогов увеличится на 5%, то рентабельность собственного капитала увеличится на 16,5% (5x3,3).
Рост задолженности приводит к увеличению коэффициента финансового рычага и одновременно финансового риска предприятия.
Эффект финансового рычага можно объединить с эффектом операционного рычага для получения общего эффекта рычага. За счет этого будет еще больше усилено влияние колебаний прибыли до финансовых расходов и налогов на рентабельность собственного капитала.
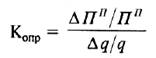
Чтобы оценить эффект операционного рычага, рассчитывают коэффициент операционного рычага.
Коэффициент операционного рычага (Копр) представляет собой частное от деления относительного изменения прибыли от продажи (Пп) на относительное изменение объема продаж (q).

Коэффициент операционного рычага зависит от доли постоянных расходов в структуре расходов организации.
Иначе говоря, значение коэффициента операционного рычага выражает чувствительность прибыли от продажи к изменению объема продаж.
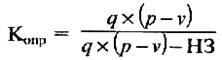
Коэффициент операционного рычага может быть также рассчитан на основе следующей формулы:

где р — цена единицы продукции;
v — переменные расходы на единицу продукции;
НЗ — постоянные расходы.
Коэффициент операционного рычага выражает коммерческий риск предприятия. Коммерческий риск — это неопределенность, связанная с получением прибыли и обусловленная двумя факторами: изменением объемов продажи продукции (товаров) и уровнем условно-постоянных расходов. Постоянные расходы отражают эффективность управления хозяйственной деятельностью.
Чем выше удельный вес постоянных расходов, тем больше коэффициент операционного рычага, тем выше коммерческий риск предприятия.
Общий эффект рычага будет соответствовать в таком случае произведению двух эффектов:

Если у предприятия высокие значения эффекта операционного и эффекта финансового рычагов, то любое небольшое увеличение годового оборота будет ощутимо отражаться на значении рентабельности собственного капитала.
Материалы на данной страницы взяты из открытых источников либо размещены пользователем в соответствии с договором-офертой сайта. Вы можете сообщить о нарушении.