Расчет влияния фактора «Коммерческие расходы»
Для расчета используется формула, аналогичная предыдущей:

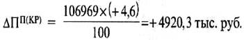
где УКР1 и УКР0 - соответственно уровни коммерческих расходов в отчетном и базисном периодах.

Таким образом, перерасход по коммерческим расходам в отчетном периоде и повышение их уровня на 4,6% привели к уменьшению суммы прибыли от продажи на 4920,3 тыс. руб.
Материалы на данной страницы взяты из открытых источников либо размещены пользователем в соответствии с договором-офертой сайта. Вы можете сообщить о нарушении.