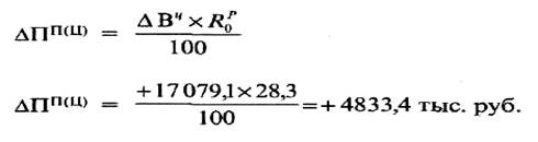
Расчет влияния фактора «Цена»
Для определения степени влияния изменения цены на изменение суммы прибыли от продажи необходимо сделать следующий расчет:

Таким образом, прирост цен на продукцию в отчетном периоде по сравнению с прошедшим периодом в среднем на 19% привел к увеличению суммы прибыли от продажи на 4833,4 тыс. руб.
Материалы на данной страницы взяты из открытых источников либо размещены пользователем в соответствии с договором-офертой сайта. Вы можете сообщить о нарушении.