Самостійна робота студента
Тема 13. Ефективність менеджменту
Ефект – результат реалізації заходів, спрямований на підвищення ефективності виробництва за рахунок економії всіх виробничих ресурсів. Результатом господарської діяльності підприємства є прибуток або збиток.
Ефективність – співвідношення між результатом (ефектом) та витратами.
Ефективність виробництва – об’єктивна економічна категорія, що характеризує міру досягнення загальних і окремих результатів від оптимального використання всіх ресурсів підприємства (матеріальних, трудових, фінансових).
За сферою застосування ефективність розрізняють загальну, локальну і часткову.
Загальна ефективність виробництва характеризує ефективність виробництва підприємства в цілому.
Локальна ефективність виробництва визначається на окремих стадіях виробництва, розподілу, обміну та споживання.
Часткова ефективність виробництва характеризує ефективність використання в процесі виробництва певних ресурсів (предметів і засобів праці, капітальних вкладень, робочої сили тощо).
За рівнем виробництва виділяють народно-господарську та госпрозрахункову.
Народногосподарська ефективність визначається виходячи із інтересів, мети і завдань народного господарства. Тобто зважають на внесок підприємства в діяльність народного господарства в цілому або окремої його ланки.
Госпрозрахункова ефективність відображає результати діяльності і витрати окремого підприємства (об’єднання).
За об’єктами визначення ефективність поділяється на ефективність діючого виробництва, ефективність капітальних вкладень, ефективність розвитку науки і техніки, ефективність зовнішньоекономічних зв’язків, ефективність охорони навколишнього середовища тощо.
За призначенням та методами розрахунку розрізняють абсолютну та порівняльну ефективність.
Абсолютна економічна ефективність визначається по підприємству в цілому і характеризує загальний ефект (віддачу) від використання ресурсів та витрат. Визначається за загальною величиною ефекту, одержаного в результаті запровадження заходів по удосконаленню системи управління виробництвом.
Порівняльна економічна ефективність характеризує економічні переваги одного варіанта порівняно з іншими щодо раціонального використання ресурсів та витрат.
Відповідальність та етика в менеджменті
Юридична відповідальність – дотримання конкретних законів і норм державного регулювання, яке визначає, що може, а чого не може робити організація.
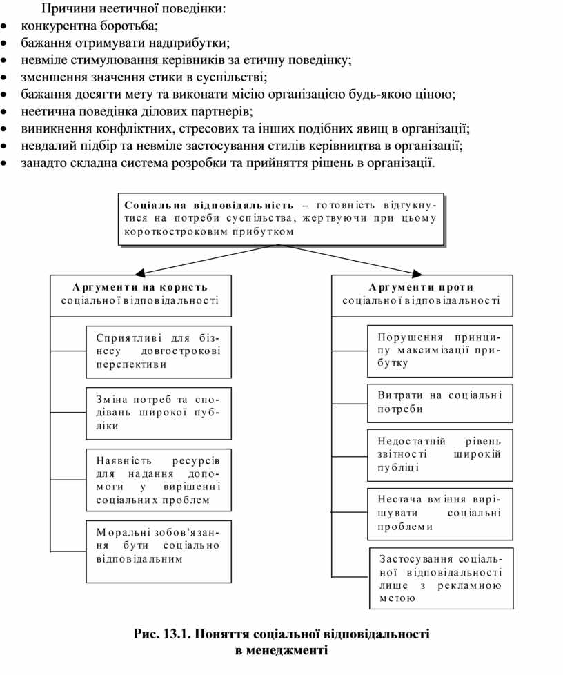
Соціальна відповідальність – це добровільне визнання суб’єктами господарювання потреб суспільства та діяльність, що дозволяє вирішувати конкретні проблеми. В короткостроковій перспективі організації можуть втрачати прибутки, проте такою поведінкою вони забезпечують собі успіх у майбутньому.
Етика поведінки – сукупність вчинків та дій людей, які відповідають тим нормам моралі, свідомості чи порядку, що склалися у суспільстві або до яких воно прагне.
Етичний кодекс (кодекс поведінки) – форми закріплення ділової етики, яка полягає у декларуванні етичних принципів та правил поведінки для працівників організації.
Дотримання “права статусу” передбачає офіційне спілкування на переговорах між особами, які мають приблизно однакове положення в діловому світі, що забезпечить досягнення домовленості та запобігатиме “втраті обличчя” опонентів ( має особливе значення при веденні переговорів із японцями).
Причини неетичної поведінки:
· конкурентна боротьба;
· бажання отримувати надприбутки;
· невміле стимулювання керівників за етичну поведінку;
· зменшення значення етики в суспільстві;
· бажання досягти мету та виконати місію організацією будь-якою ціною;
· неетична поведінка ділових партнерів;
· виникнення конфліктних, стресових та інших подібних явищ в організації;
· невдалий підбір та невміле застосування стилів керівництва в організації;
· занадто складна система розробки та прийняття рішень в організації.

Рис.
13.1. Поняття соціальної відповідальності
в менеджменті
Материалы на данной страницы взяты из открытых источников либо размещены пользователем в соответствии с договором-офертой сайта. Вы можете сообщить о нарушении.