Степенные средние:
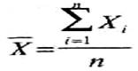
Средняя арифметическая простая: 
Средняя арифметическая взвешенная - 
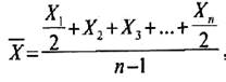
Средняя
хронологическая 
где Xj — индивидуальное значение признака каждой единицы совокупности;
п — число единиц совокупности.
Ki — частота повторений индивидуального значения признака (его вес)
Материалы на данной страницы взяты из открытых источников либо размещены пользователем в соответствии с договором-офертой сайта. Вы можете сообщить о нарушении.