Теория.
Новая информация.
Ø Формулировка закона всемирного тяготения
Все тела взаимодействуют друг с другом с силой, прямо пропорциональной произведению масс этих тел и обратно пропорциональной квадрату расстояния между ними.
Ø Запись закона всемирного тяготения. Поясняющий рисунок.

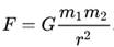
Согласно
Ньютоновскому закону всемирного тяготения, сила
гравитационного притяжения F между двумя материальными точками с массами m1
и m2, находящимися на расстоянии r, равна:
![]()
Коэффициент
пропорциональности G в этом уравнении называется гравитационной постоянной. Численно
она равна модулю силы тяготения, действующей на точечное тело единичной массы
со стороны другого такого же тела, находящегося от него на единичном
расстоянии.
G = 6,67408(31)·10−11 м3·с−2·кг−1,
или Н·м²·кг−2.
Ø Точка приложения силы всемирного тяготения и направление действия: направлена от центра одного тела к центру другого вдоль линии, соединяющей центры этих тел.
Ø Физический смысл гравитационной постоянной G: физическая величина, численно равная силе, с которой взаимодействуют два тела массами по 1 кг, если расстояние между ними равно 1м.
Материалы на данной страницы взяты из открытых источников либо размещены пользователем в соответствии с договором-офертой сайта. Вы можете сообщить о нарушении.