Урок 3. Решение задач

  • docx
  • 10.11.2021
Публикация на сайте для учителей

Публикация педагогических разработок

Бесплатное участие. Свидетельство автора сразу.
Мгновенные 10 документов в портфолио.

Иконка файла материала Л2-00236.docx

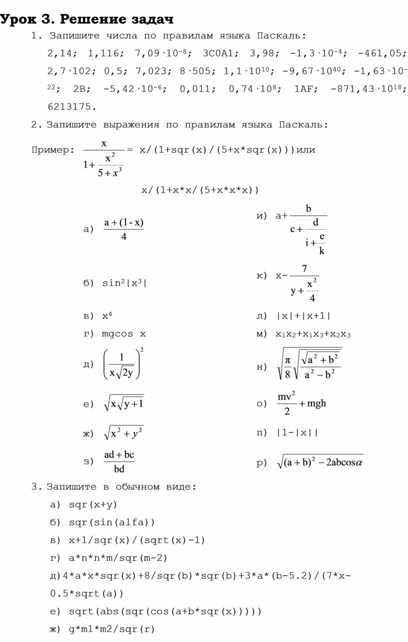
Урок 3. Решение задач

1. Запишите числа по правилам языка Паскаль:

2,14; 1,116; 7,09·10-8; 3С0А1; 3,98; -1,3·10-4; -461,05; 2,7·102; 0,5; 7,023; 8·505; 1,1·1010; -9,67·1040; -1,63·10-22; 2В; -5,42·10-6; 0,011; 0,74·108; 1АF; -871,43·1018; 6213175.

2. Запишите выражения по правилам языка Паскаль:

Пример: = x/(1+sqr(x)/(5+x*sqr(x)))или x/(1+x*x/(5+x*x*x))

а)

и) a+

б) sin2|x3|

к) x-

в) х4

л) |x|+|x+1|

г) mgcos x

м) x1x2+x1x3+x2x3

д)

н)

е)

о)

ж)

п) |1-|x||

з)

р)

3. Запишите в обычном виде:

а) sqr(x+y)

б) sqr(sin(alfa))

в) х+1/sqr(x)/(sqrt(x)-1)

г) a*n*n*m/sqr(m-2)

д)4*a*x*sqr(x)+8/sqr(b)*sqr(b)+3*a*(b-5.2)/(7*x-0.5*sqrt(a))

e) sqrt(abs(sqr(cos(a+b*sqr(x)))))

ж) g*m1*m2/sqr(r)

з) sin(pi/8)*sqr(cos(pi/8))

4. Чему равно значение выражения:

а) 10+6*2/2;

д) 24/12;

и) 2 div 3;

б) (10+6)*2/2;

е) 11 div 5;

к) 15+21 div 2;

в) (10+6*2)/2;

ж) 10 div 3;

л) 14 mod (5+3);

г) 10+6*(2/2);

з) 11 mod 5;

м) Round (11/5)?

5. Какой тип подходит для данных диапазона

а) 1..200;

г) ‘a’..’z’;

б) 0..7500;

д) -40..+45;

в)2.3476E-03..2.3475E+03;

е) +10..+65000?



 

Скачано с www.znanio.ru