Урок-консультация

  • docx
  • 09.01.2026
Публикация на сайте для учителей

Публикация педагогических разработок

Бесплатное участие. Свидетельство автора сразу.
Мгновенные 10 документов в портфолио.

Иконка файла материала Урок-консультация по теме Алгебраические дроби (9кл).docx

Урок- консультация  . 9 класс. Тема: «Алгебраические дроби» (Вишнякова Е.Б.)

Цель: обобщить и систематизировать знания и умения по теме: «алгебраические дроби; развитие самостоятельности, умение применять свои знания на практике; воспитывать умение работать в коллективе.

 

I. Организационный момент.5-6 мин

II Теоретическая часть. Ответить на вопросы

1.      Что такое алгебраическая дробь? Привести примеры.

2.      Назовите основное свойство дроби.

3.      Как сложить и вычесть алгебраические дроби? Привести примеры.

4.      Как выполнить умножение и деление алгебраической дроби? Привести примеры.

 Самостоятельная работа (проверка )

 

1 вариант

 

2 вариант

1. Найдите значение выражения:

а) https://oge.sdamgia.ru/formula/6d/6d59bce3d5d42ef7a9a9867abd805264p.png

б)https://oge.sdamgia.ru/formula/ff/ff67726d4415fb9e33dbbd16efe7288fp.png

в)https://oge.sdamgia.ru/formula/7a/7a75a3a584713f6ccfcd06d45b9958dbp.png

г)https://oge.sdamgia.ru/formula/b8/b8187210a7d1b5fa8f0bfcbe75ffd705p.png

1. Найдите значение выражения:

а) https://oge.sdamgia.ru/formula/bf/bf496c4e2c215bd8b7cb2c185e2cc733p.png

б)https://oge.sdamgia.ru/formula/d1/d1b814e1ae3851ad58bca1db54e70fa8p.png

в)https://oge.sdamgia.ru/formula/28/28ab65fff9df0d4d1d17e8db78600702p.png

г)https://oge.sdamgia.ru/formula/81/81d93063e76418a7957728e67cd8762dp.png

2. Упростите выражение:

а)https://oge.sdamgia.ru/formula/13/134cf537a94117d9d04b6b6d08fa4987p.png

б) https://oge.sdamgia.ru/formula/d9/d9e06878898c292dd3e44333afa73071p.png

2. Упростите выражение:

а) https://oge.sdamgia.ru/formula/75/75bccdf6113b476ff853ebbed11e1594p.png

б)http://xn--i1abbnckbmcl9fb.xn--p1ai/%D1%81%D1%82%D0%B0%D1%82%D1%8C%D0%B8/604285/img6.gif

3. hello_html_m585b2d4f.png

3. Упростить выражение и найдите его значение:

hello_html_m9c15183.png

 

3 вариант

 

4 вариант

1. Найдите значение выражения:

а) https://oge.sdamgia.ru/formula/5f/5fb178429ff080d4fa391540fa9d1ecdp.png

б)https://oge.sdamgia.ru/formula/35/352924f048273f8b8eb2bf4e5ddd4be5p.png

в)https://oge.sdamgia.ru/formula/7b/7bc26af181b10b6095f7c5ef4c407111p.png

г)https://oge.sdamgia.ru/formula/74/742bceac43838e38a4c57f75d12e963dp.png

1. Найдите значение выражения:

а) https://oge.sdamgia.ru/formula/50/50e80a4be92cac70cac809d7c638ac31p.png

б)https://oge.sdamgia.ru/formula/40/4021296a30e05c0d23fbddae6d422e17p.png

в)https://oge.sdamgia.ru/formula/ce/ce4451b7a94a0815193ea78844160e1ep.png

г)https://oge.sdamgia.ru/formula/f9/f97a91538b0fbf56e7712c0b10985859p.png

2. Упростите выражение:

а)https://oge.sdamgia.ru/formula/18/18289f3c4b2300162b3f6527c6430f48p.png

б)http://xn--i1abbnckbmcl9fb.xn--p1ai/%D1%81%D1%82%D0%B0%D1%82%D1%8C%D0%B8/604285/img6.gif

2. Упростите выражение:

а)

 

 

б)http://xn--i1abbnckbmcl9fb.xn--p1ai/%D1%81%D1%82%D0%B0%D1%82%D1%8C%D0%B8/604285/img6.gif

3. Упростить выражение и найдите его значение:

hello_html_m62fc1426.png

3. Упростить выражение и найдите его значение:

hello_html_4711a619.png

III. Практическая часть.

 

 

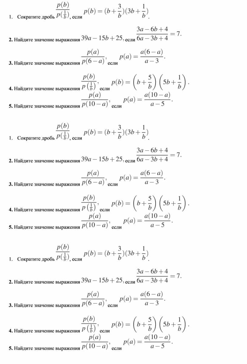
1.       Сократите дробь https://oge.sdamgia.ru/formula/c8/c8131fd39122a31085bbeeae48e60612p.png, если https://oge.sdamgia.ru/formula/e0/e0570459b36296a68a54fcec9218f784p.png.

 

2. Найдите зна­че­ние выражения https://oge.sdamgia.ru/formula/cb/cb4bb8339d7bcdf61834e5afb5708e29p.png если https://oge.sdamgia.ru/formula/4f/4f5008f7cf4b0d79403dbefd0425573dp.png

 

3. Найдите зна­че­ние вы­ра­же­ния https://oge.sdamgia.ru/formula/8a/8a137982a3049ed3af8ee4a7b93a2657p.png если https://oge.sdamgia.ru/formula/50/508b8d96cd376aa1eba148d7cce4d88dp.png

 

4. Найдите зна­че­ние вы­ра­же­ния https://oge.sdamgia.ru/formula/28/28ef0afc7d6d6c6e3b6c72de1e2b3d78p.png если https://oge.sdamgia.ru/formula/d8/d82f9be5c81d8418748a48c159e60674p.png

5. Найдите зна­че­ние вы­ра­же­ния https://oge.sdamgia.ru/formula/1a/1a4d2672790e709c22b27601a8b0488fp.png если https://oge.sdamgia.ru/formula/9e/9e28af03fd4a922ce24c77a3f772e3f0p.png

6.Разложите на множители: https://oge.sdamgia.ru/formula/fd/fd8e9e7bd61ed4c38577f24733b7f974p.png.

 

7. Сократите дробь  https://oge.sdamgia.ru/formula/ef/ef5ba11ea1b24c51b9875a75001bae10p.png

 

VI. Домашнее задание.

 

 

 

 

 

 

 

 

 

 

 

 

 

 

 

 

 

1 вариант

 

2 вариант

1. Найдите значение выражения:

а) https://oge.sdamgia.ru/formula/6d/6d59bce3d5d42ef7a9a9867abd805264p.png

б)https://oge.sdamgia.ru/formula/ff/ff67726d4415fb9e33dbbd16efe7288fp.png

в)https://oge.sdamgia.ru/formula/7a/7a75a3a584713f6ccfcd06d45b9958dbp.png

г)https://oge.sdamgia.ru/formula/b8/b8187210a7d1b5fa8f0bfcbe75ffd705p.png

1. Найдите значение выражения:

а) https://oge.sdamgia.ru/formula/bf/bf496c4e2c215bd8b7cb2c185e2cc733p.png

б)https://oge.sdamgia.ru/formula/d1/d1b814e1ae3851ad58bca1db54e70fa8p.png

в)https://oge.sdamgia.ru/formula/28/28ab65fff9df0d4d1d17e8db78600702p.png

г)https://oge.sdamgia.ru/formula/81/81d93063e76418a7957728e67cd8762dp.png

2. Упростите выражение:

а)https://oge.sdamgia.ru/formula/13/134cf537a94117d9d04b6b6d08fa4987p.png

б) https://oge.sdamgia.ru/formula/d9/d9e06878898c292dd3e44333afa73071p.png

2. Упростите выражение:

а) https://oge.sdamgia.ru/formula/75/75bccdf6113b476ff853ebbed11e1594p.png

б)http://xn--i1abbnckbmcl9fb.xn--p1ai/%D1%81%D1%82%D0%B0%D1%82%D1%8C%D0%B8/604285/img6.gif

hello_html_m585b2d4f.png3.Упростить выражение и найдите его значение:

3. Упростить выражение и найдите его значение:

hello_html_m9c15183.png

 

3 вариант

 

4 вариант

1. Найдите значение выражения:

а) https://oge.sdamgia.ru/formula/5f/5fb178429ff080d4fa391540fa9d1ecdp.png

б)https://oge.sdamgia.ru/formula/35/352924f048273f8b8eb2bf4e5ddd4be5p.png

в)https://oge.sdamgia.ru/formula/7b/7bc26af181b10b6095f7c5ef4c407111p.png

г)https://oge.sdamgia.ru/formula/74/742bceac43838e38a4c57f75d12e963dp.png

1. Найдите значение выражения:

а) https://oge.sdamgia.ru/formula/50/50e80a4be92cac70cac809d7c638ac31p.png

б)https://oge.sdamgia.ru/formula/40/4021296a30e05c0d23fbddae6d422e17p.png

в)https://oge.sdamgia.ru/formula/ce/ce4451b7a94a0815193ea78844160e1ep.png

г)https://oge.sdamgia.ru/formula/f9/f97a91538b0fbf56e7712c0b10985859p.png

2. Упростите выражение:

а)https://oge.sdamgia.ru/formula/18/18289f3c4b2300162b3f6527c6430f48p.png

б)http://xn--i1abbnckbmcl9fb.xn--p1ai/%D1%81%D1%82%D0%B0%D1%82%D1%8C%D0%B8/604285/img6.gif

2. Упростите выражение:

а)

 

 

б)http://xn--i1abbnckbmcl9fb.xn--p1ai/%D1%81%D1%82%D0%B0%D1%82%D1%8C%D0%B8/604285/img6.gif

3. Упростить выражение и найдите его значение:

hello_html_m62fc1426.png

3. Упростить выражение и найдите его значение:

hello_html_4711a619.png

 

 

 

 

 

1.       Сократите дробь https://oge.sdamgia.ru/formula/c8/c8131fd39122a31085bbeeae48e60612p.png, если https://oge.sdamgia.ru/formula/e0/e0570459b36296a68a54fcec9218f784p.png.

 

2. Найдите зна­че­ние выражения https://oge.sdamgia.ru/formula/cb/cb4bb8339d7bcdf61834e5afb5708e29p.png если https://oge.sdamgia.ru/formula/4f/4f5008f7cf4b0d79403dbefd0425573dp.png

 

3. Найдите зна­че­ние вы­ра­же­ния https://oge.sdamgia.ru/formula/8a/8a137982a3049ed3af8ee4a7b93a2657p.png если https://oge.sdamgia.ru/formula/50/508b8d96cd376aa1eba148d7cce4d88dp.png

 

4. Найдите зна­че­ние вы­ра­же­ния https://oge.sdamgia.ru/formula/28/28ef0afc7d6d6c6e3b6c72de1e2b3d78p.png если https://oge.sdamgia.ru/formula/d8/d82f9be5c81d8418748a48c159e60674p.png

5. Найдите зна­че­ние вы­ра­же­ния https://oge.sdamgia.ru/formula/1a/1a4d2672790e709c22b27601a8b0488fp.png если https://oge.sdamgia.ru/formula/9e/9e28af03fd4a922ce24c77a3f772e3f0p.png

 

1.       Сократите дробь https://oge.sdamgia.ru/formula/c8/c8131fd39122a31085bbeeae48e60612p.png, если https://oge.sdamgia.ru/formula/e0/e0570459b36296a68a54fcec9218f784p.png.

 

2. Найдите зна­че­ние выражения https://oge.sdamgia.ru/formula/cb/cb4bb8339d7bcdf61834e5afb5708e29p.png если https://oge.sdamgia.ru/formula/4f/4f5008f7cf4b0d79403dbefd0425573dp.png

 

3. Найдите зна­че­ние вы­ра­же­ния https://oge.sdamgia.ru/formula/8a/8a137982a3049ed3af8ee4a7b93a2657p.png если https://oge.sdamgia.ru/formula/50/508b8d96cd376aa1eba148d7cce4d88dp.png

 

4. Найдите зна­че­ние вы­ра­же­ния https://oge.sdamgia.ru/formula/28/28ef0afc7d6d6c6e3b6c72de1e2b3d78p.png если https://oge.sdamgia.ru/formula/d8/d82f9be5c81d8418748a48c159e60674p.png

5. Найдите зна­че­ние вы­ра­же­ния https://oge.sdamgia.ru/formula/1a/1a4d2672790e709c22b27601a8b0488fp.png если https://oge.sdamgia.ru/formula/9e/9e28af03fd4a922ce24c77a3f772e3f0p.png

 

1.       Сократите дробь https://oge.sdamgia.ru/formula/c8/c8131fd39122a31085bbeeae48e60612p.png, если https://oge.sdamgia.ru/formula/e0/e0570459b36296a68a54fcec9218f784p.png.

 

2. Найдите зна­че­ние выражения https://oge.sdamgia.ru/formula/cb/cb4bb8339d7bcdf61834e5afb5708e29p.png если https://oge.sdamgia.ru/formula/4f/4f5008f7cf4b0d79403dbefd0425573dp.png

 

3. Найдите зна­че­ние вы­ра­же­ния https://oge.sdamgia.ru/formula/8a/8a137982a3049ed3af8ee4a7b93a2657p.png если https://oge.sdamgia.ru/formula/50/508b8d96cd376aa1eba148d7cce4d88dp.png

 

4. Найдите зна­че­ние вы­ра­же­ния https://oge.sdamgia.ru/formula/28/28ef0afc7d6d6c6e3b6c72de1e2b3d78p.png если https://oge.sdamgia.ru/formula/d8/d82f9be5c81d8418748a48c159e60674p.png

5. Найдите зна­че­ние вы­ра­же­ния https://oge.sdamgia.ru/formula/1a/1a4d2672790e709c22b27601a8b0488fp.png если https://oge.sdamgia.ru/formula/9e/9e28af03fd4a922ce24c77a3f772e3f0p.png