Язык программирования Паскаль. Решение задач с применением операторов цикла
·
Цели:
обучающие:
- закрепление знаний, умений и навыков работы с циклами языка программирования Паскаль;
- актуализация и контроль знаний, умений и навыков;
- формирование умения решать задачи с использованием циклов;
- составление блок-схем;
развивающие:
- развитие логического мышления, памяти, внимания;
- развитие самостоятельности при работе,
- развитие познавательного интереса;
воспитательные:
- воспитание аккуратности, терпения, усидчивости.
Тип урока: контрольно-обобщающий.
Оборудование:
- компьютерный класс с наличием локальной сети, компьютер, проектор;
- программное обеспечение: программа PascalABC, панель Рисование Microsoft Office Word или векторный графический редактор;
- карточки с заданиями.
Ход урока
1. Оргмомент.
Приветствие учащихся, сообщение темы и целей урока.
На предыдущих уроках мы познакомились с операторами цикла языка Паскаль. Сегодня повторим изученный ранее материал, выполним практическую работу. Начнём с компьютерного тестирования. Затем вы должны будете составить, ввести и отладить программы с применением операторов цикла, а также попробовать построить блок-схемы к данным задачам. В конце урока мы подведём итоги нашей работы и выставим оценки.
2. Актуализация знаний и умений учащихся.
Повторение материала начнём с выполнения теста по теме “Циклы” в программе
(Учитель раздаёт тест , распределяет варианты. Учащиеся выполняют тест, получают предварительные оценки. Приложении 1)
И/или для повторения материала можно использовать устный опрос учащихся. - Какой процесс называется циклическим?
Процесс называется циклическим, если вычисления в нём многократно повторяются по одним и тем же формулам при разных значениях входящих в них переменных.
Алгоритмическая структура “Цикл” обеспечивает многократное выполнение некоторой последовательности действий, которая называется телом цикла.
- Какие типы циклических структур и операторы цикла в Паскале вы знаете?
Различают циклы:
1) с определённым числом повторений (цикл с параметром, или цикл со счетчиком, или цикл “Для”);
2) с неопределенным числом повторений; здесь различают цикл с предусловием (цикл “Пока”) и цикл с постусловием (цикл “До”).
В Паскале существуют следующие операторы цикла: с предусловием WHILE, с постусловием REPEAT, с параметром FOR.
- Как работают эти операторы? В чём их особенности? Когда лучше применять тот или иной оператор?
Примерные ответы учащихся:
Оператор цикла с предусловием (цикл “Пока”) WHILE является наиболее общим по сравнению с другими конструкциями и имеет формат:
WHILE <выражение булёвского типа> DO <оператор>;
Выполняется данный оператор так: сначала вычисляется значение булёвского выражения (т.е. условие, стоящее после слова WHILE, проверяется на истинность). Если оно имеет значение TRUE, то выполняется оператор, стоящий после слова DO, затем условие проверяется вновь и т.д. Как только на очередном шаге условие не выполняется (значение булёвского выражения становится равным FALSE), то выполнение оператора цикла прекращается. Если выполняемый оператор не изменяет значения переменных, входящих в условие, то условие всегда будет истинным, и цикл будет выполняться вечно, при этом говорят, что программа зацикливается. Если же при первой проверке условия оно сразу оказывается ложным, то оператор цикла не выполняется вообще.
Если в цикле нам необходимо выполнять больше, чем один оператор, то применяется составной оператор, т.е. несколько операторов заключаются в операторные скобки BEGIN … END [1].
При построении программ со структурой цикла WHILE:
1) начальное значение логического выражения должно быть определено перед вхождением в цикл, т.е. перед WHILE;
2) последовательность выполняемых операторов в теле цикла должна быть логически связанной и содержать хотя бы один оператор, изменяющий значение параметра цикла, иначе цикл будет продолжаться бесконечно;
3) логическое выражение в заголовке цикла WHILE, чтобы цикл закончился, должно принять значение FALSE.
В операторе REPEAT (цикл “До”) используется так называемое постусловие, т.е. значение логического выражения, управляющее выходом из цикла, проверяется после выполнения операторов, содержащихся внутри оператора REPEAT. Оператор имеет вид:
REPEAT
<последовательность операторов>
UNTIL <выражение булёвского типа>;
На первом шаге цикла операторы, заключенные между REPEAT и UNTIL, выполняются в любом случае, дальше же цикл будет повторяться, пока значение булёвского выражения ложно. То есть цикл закончится, когда условие станет истинным. В этом случае цикл заканчивает, и происходит переход на оператор, следующий за REPEAT. Операторы внутри цикла REPEAT выполняются хотя бы один раз, поскольку условие выхода из цикла проверяется только после его очередного выполнения.
При построении циклов с использованием REPEAT этому оператору должен предшествовать оператор присваивания начального значения параметру цикла.
В данном операторе слова REPEAT и UNTIL служат операторными скобками, и BEGIN…END использовать не требуется [1].
Синтаксическая запись цикла с параметром (цикл “Для”) имеет два варианта:
1) с возрастанием переменной цикла:
FOR <идентификатор> := <выражение> TO <выражение> DO <оператор>;
2) с убыванием переменной цикла:
FOR <идентификатор> := <выражение> DOWNTO <выражение> DO <оператор>;
Идентификатор и оба выражения должны быть одного и того же порядкового типа.
Оба выражения вычисляются перед выполнением оператора цикла и не должны изменяться внутри оператора цикла.
После окончания цикла значение параметра цикла не определено, т.е. нельзя считать, что значение параметра равно значению второго выражения.
Значения выражений определяются один раз, при входе в оператор FOR, и сохраняются на протяжении всего процесса выполнения. После задания переменной цикла присваивается начальное значение. Затем происходит проверка, не превосходит ли содержимое переменной цикла конечного значения. Если не превосходит, выполняются операторы, образующие тело цикла. Далее значение переменной цикла увеличивается на единицу, и процесс проверки и выполнения операторов повторяется. Так происходит до тех пор, пока проверка не даст результата TRUE. В этом случае цикл завершается, и осуществляется переход на оператор, следующий за FOR.
Поскольку оператор цикла FOR сам изменяет значения переменой цикла, её нельзя менять другими способами, например, присваиванием ей какого-либо значение в теле цикла.
Оператор цикла с параметром следует применять, если заранее известно, сколько раз нужно выполнить некоторый оператор. Параметр цикла может являться просто счётчиком, контролирующим количество повторений оператора, а может использоваться в самом операторе (с учётом того факта, что на каждом шаге цикла параметр цикла на 1 отличается от предыдущего своего значения) [1].
- Какие этапы решения задач на компьютере вы знаете?
1. Постановка задачи.
2. Формализация (составление математической модели).
3. Разработка алгоритма.
4. Составление программы.
5. Ввод и отладка программы.
6. Получение результатов.
3. Практическая работа. Самостоятельное решение задач на компьютере.
Учащиеся получают индивидуальные карточки с заданиями (см. Приложение 2), в каждой из которых содержится 2 задачи. Решают задачи на компьютере. Программы и полученные результаты записывают в тетрадь.
Также учащимся предлагается построить блок-схемы к задачам. Данное задание выполняется с помощью Панели Рисования в программе MS Word или в векторном графическом редакторе.
Учащиеся, не успевшие выполнить все задания, доделывают работу дома: в тетради записывают программы и блок-схемы.
4. Проверка решений задач. Подведение итогов. Выставление оценок.
Учащимся может быть выставлено две оценки: одна – за тест, другая – за решение задач и составление блок-схем. Если учащийся за выполнение теста получил неудовлетворительную оценку, но выполнил в полном объёме практическую работу, то возможно выставление средней оценки. Если учащийся успешно выполнил тест, но не успел решить все задачи, то также возможно выставление средней оценки. При выставлении оценок необходимо учитывать и устные ответы учащихся.
Приложение 1
Тест по теме «Циклы в языке Паскаль»
Вариант 1
1. Алгоритм, в котором команда или серия команд повторяется, называется
2. Укажите процесс, который демонстрирует работу циклического алгоритма:
3. Какой цикл называют циклом с предусловием?
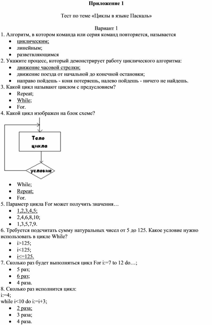
4. Какой цикл изображен на блок схеме?

5. Параметр цикла For может получить значения…
6. Требуется подсчитать сумму натуральных чисел от 5 до 125. Какое условие нужно использовать в цикле While?
7. Сколько раз будет выполняться цикл For i:=7 to 12 do…;
8.
Сколько раз исполнится цикл:
i:=4;
while i<10 do i:=i+3;
9. Сколько раз исполнится следующий цикл:
i:=21;
Repeat
i:=i-5
Until i>21;
10. Чему будет равна переменная sum после
выполнения фрагмента программы:
sum:=0;
for i:=7 to 9 do
sum:=sum+i;
11.Чему будет равна переменная sum после
выполнения фрагмента программы:
i:=15;
sum:=0;
While i>5 do begin
sum:=sum+i/5;
i:=i-5
end;
12. Чему будет равна переменная sum после
выполнения фрагмента программы:
sum:=0;
i:=3;
Repeat
Sum:=sum+3;
i:=i+2
Until i>11;
Тест по теме «Циклы в языке Паскаль»
Вариант 2

Приложение 2
Задачи
|
Вариант 1 1. По заданному целому неотрицательному значению n вычислить n! = 1*2*3*…n. Учтите, что по определению 0!=1. 2. Написать программу, которая выводит таблицу квадратов первых десяти целых положительных чисел. |
Вариант 2 1. Составить таблицу значений функции y = –2,4x2 +5x – 3 в диапазоне от –2 до 2 с шагом 0,5. 2. Начав тренировки, спортсмен в первый день пробежал 10 км. Каждый день он увеличивал дневную норму на 10% нормы предыдущего дня. Какой суммарный путь пробежит спортсмен за 7 дней? |
Вариант 3 1. Вычислить сумму натурального ряда чисел от 1 до N. 2. Одноклеточная амёба каждые 3 часа делится на 2 клетки. Определить, сколько будет амёб через 3,6,9,12,…24 часа. |
Вариант 4 1. Вычислить сумму n слагаемых вида x+i, где x – данное число, а i меняется от 1 до n. 2. Распечатать числа Фибоначчи от 1 до n. (Каждое число в последовательности, начиная с третьего, получается сложением двух предыдущих чисел: 1,1,2,3,5,8,13…) |
|
Вариант 5 1. Подсчитать сумму всех нечетных чисел от 101 до 301. 2. Даны
действительное число a, натуральное число n. Вычислить:
|
Вариант 6 1. Определить, сколько из n заданных точек принадлежат графику функции y=|x|. 2. Дано натуральное n. Вычислить y=1*3*5*…*(2n-1).
|
Вариант 7 1.
Составьте таблицу значений функции y=5x2–2x + 1 на
отрезке 2. Дано натуральное n. Вычислить S= 2/1 + 3/2 + 4/3 + … + (n+1)/n.
|
Вариант 8 1. Напечатать таблицу значений функции y=x3 на отрезке [–1;1] с шагом 0,1. 2. Напечатать таблицу перевода 1,2,…, 20 долларов США в рубли по текущему курсу (значение курса вводится с клавиатуры). |
Скачано с www.znanio.ru
Материалы на данной страницы взяты из открытых источников либо размещены пользователем в соответствии с договором-офертой сайта. Вы можете сообщить о нарушении.