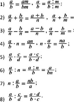
Apud)Me-rnqecrcne aeìácTBnq:

h _ am + bn nm
am — hn nm ![]()
Решение.
1
Ответ: 7
1.
Вычислите:
2. Вычислите:
З. Вычислите:
4. Вычислите:
5. Вычислите:
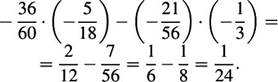
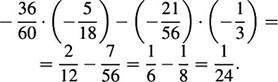
74 — 26 48 15
6. Вычислите:
![]()
13-69 56 7
7. Вычислите: 42 ![]()
8.
Вычислите:
9. Вычислите:
10. Вычислите:
11. Вычислите:
12. Вычислите: ![]()
13. Вычислите: ![]()
Решение.
1
1.
Вычислите:
Ответ: -1/37
2. Вычислите: Ответ: 8/3
З. Вычислите: Ответ: 6/5
4. Вычислите:
Ответ: -1/2
5. Вычислите:
Ответ: -1/2
74 — 26 48 15
![]()
6. Вычислите: 25 (-5) 4
Ответ: -3/4
7.
Вычислите: ![]()
Ответ: -1/4
8.
Вычислите: Ответ: 40/17
Ответ:
10. Вычислите:
Ответ: 77/12
11. Вычислите:
Ответ: 77/16
12. Вычислите: ![]()
Ответ:![]()
13.
Вычислите: ![]()
Ответ: 1/12
6
Образец: Вычислите: Зт Решение.
Вычислим:
![]()
4
Отв ет . 15
1.Вычисли САМ:
8
2. Вычислите: 5Ответ дайте в виде
неправильной дроби.
З. Вычислите: ![]()
|
8 3 11 4.Вычислите: |
|
|
1 6 5 |
З |
![]()
5.Вычислите: З 5 6 25

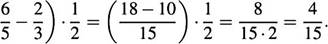
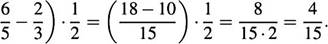
Решение. Сначала проведем умножение, затем вычитание:

1 15 • 1. Вычислите:
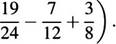
72.
2. Вычислите:
6
Образец: Вычислите: Зт
Решение. Вычислим:
![]()
4
Отв ет . 15
З
1.Вычисли САМ:Ответ: 10
8
2. Вычислите: 5Ответ дайте в виде
неправильной дроби.
Ответ: 17/5
З. Вычислите: ![]()
Ответ: 23/7
8 3 11
4.Вычислите:
8
Ответ: 103/40
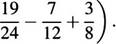
1 6 5 З
![]()
5.Вычислите: З 5 6 25
Ответ: -1/2

Решение. Сначала проведем умножение, затем вычитание:

1 15 •
1. Вычислите:
Ответ: 17
72.
2. Вычислите:
Ответ: 42
Материалы на данной страницы взяты из открытых источников либо размещены пользователем в соответствии с договором-офертой сайта. Вы можете сообщить о нарушении.