Экзаменационное задание по дисциплине «Объектно-ориентированный анализ и программирование»
1. Тестирование программы проводится с целью... 1 балл
а. проверки копии программного кода на соответствие оригиналу;
б. обнаружения факта наличия ошибок в программе;
в. оптимизации программного кода;
г. доказательства отсутствия ошибок в программе.
2. Процесс локализации и устранения ошибки в программе называется: 1 балл
а. отладкой;
б. валидацией;
в. калибровкой;
г. тестированием;
д. модификацией.
3. В состав канонических диаграмм UML входят: 3 балла
а. диаграмма деятельности;
б. диаграмма последовательности;
в. диаграмма связей;
г. диаграмма компонентов.
4. Диаграмма развертывания (Deployment diagram) определяет …. 1 балл
а. логическую структуру программы;
б. требования к функциональному поведению программы;
в. объекты, реализующие вариант использования, и взаимодействие этих объектов;
г. физические связи между узлами вычислительной среды на этапе исполнения программы;
д. хронологию передачи сообщений между объектами при реализации варианта использования.
5. Справедливо ли утверждение, что класс должен содержать хотя бы одну операцию 1 балл
а. да;
б. нет.
6. Приведенное изображение класса соответствует: 1 балл

а. граничному классу;
б. интерфейсу;
в. классу сущности;
г. абстрактному классу;
д. управляющему классу.
7. Из приведенной диаграммы в нотации UML следует, что классы B и A находятся в отношении реализации 1 балл

а. ассоциации;
б. композиции;
в. агрегации;
г. наследования.
8. Из приведенной диаграммы следует, что: 3 балла

а. A1 – разновидность A;
б. P2 может быть инициатором P1;
в. A2 – разновидность A;
г. A2 может быть потребителем результатов P1;
д. P2 – разновидность P1.
9. Из приведенного обозначения класса следует, что операция Op 3 балла

а. возвращает вызывающему объекту значение логического типа;
б. использует параметр P1 для передачи вызывающему объекту значения после выполнения операции;
в. использует параметр P2 для приема значения из вызывающего объекта и передачи вызывающему объекту значения после выполнения операции;
г. использует параметр P2 для обмена данными вещественного типа;
д. имеет видимость private.
10. Внутреннее действие объекта exit/ выполнить расчет для состояния Активен 1 балл
а. будет выполнено при входе в состояние Активен;
б. будет выполняться при входе в любое состояние, кроме состояния Активен;
в. будет выполнено при выходе из состояния Активен;
г. будет выполняться во время нахождения объекта в состоянии Активен.
11. Из приведенных ниже высказываний укажите истинное высказывание: Исполняемый модуль в .NET Framework представлен 1 балл
а. на промежуточном языке MSIL;
б. в виде операторов языка C#;
в. в виде команд процессора;
г. в виде команд операционной системы, установленной на компьютере;
д. в виде операторов языка Java.
12. Литерал 8 определяет константу типа: 1 балл
а. char;
б. float;
в. double;
г. int;
д. string.
13. В программе объявлены переменные char A='1', B='2', в которых хранятся коды букв цифр. Какие значения получат эти переменные после выполнения оператора A = B++; 1 балл
а. A='3' B='3'
б. A='2' B='3'
в. A='1' B='1'
г. A='2' B='2'
д. A='1' B='2'
14. В классе ШАР для объявления поля используется оператор uint R=5; Для создания объекта использован оператор ШАР S = new ШАР(); Это означает, что поле R после создания объекта получит: 1 балл
а. неопределенное значение;
б. максимальное значение типа uint;
в. значение 5;
г. минимальное значение типа uint;
д. нулевое значение.
15. Продолжите фразу. Локальная переменная – это переменная, 2 балла
а. которая объявлена в теле метода;
б. которая имеет тип void независимо от места объявления;
в. которая имеет тип object независимо от места объявления;
г. объявление которой имеет модификатор static;
д. которая объявлена в заголовке метода.
16. Из определения class ТОЧКА{int X,Y; public ТОЧКА(int A){X=A; Y=A;}} следует, что правильной операцией создания объекта будет: 1 балл
а. new ТОЧКА(5.5);
б. new ТОЧКА();
в. new ТОЧКА[4];
г. new ТОЧКА(int.Parse("25"));
д. new ТОЧКА(2,3);
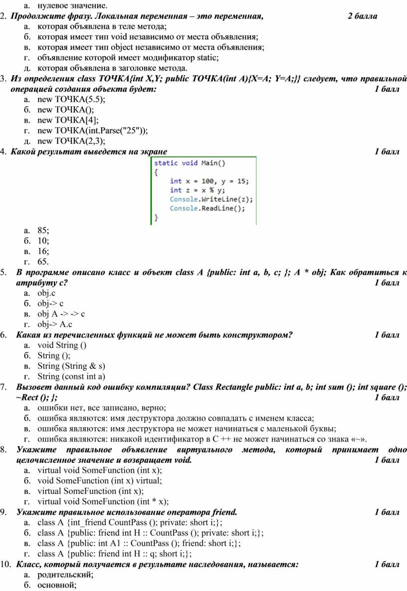
17. Какой результат выведется на экране 1 балл

а. 85;
б. 10;
в. 16;
г. 65.
18. В программе описано класс и объект class A {public: int a, b, c; }; A * obj; Как обратиться к атрибуту c? 1 балл
а. obj.c
б. obj-> с
в. obj A -> -> с
г. obj-> A.с
19. Какая из перечисленных функций не может быть конструктором? 1 балл
а. void String ()
б. String ();
в. String (String & s)
г. String (const int a)
20. Вызовет данный код ошибку компиляции? Class Rectangle public: int a, b; int sum (); int square (); ~Rect (); }; 1 балл
а. ошибки нет, все записано, верно;
б. ошибка являются: имя деструктора должно совпадать с именем класса;
в. ошибка являются: имя деструктора не может начинаться с маленькой буквы;
г. ошибка являются: никакой идентификатор в С ++ не может начинаться со знака «~».
21. Укажите правильное объявление виртуального метода, который принимает одно целочисленное значение и возвращает void. 1 балл
а. virtual void SomeFunction (int х);
б. void SomeFunction (int х) virtual;
в. virtual SomeFunction (int х);
г. virtual void SomeFunction (int * x);
22. Укажите правильное использование оператора friend. 1 балл
а. class A {int_friend CountPass (); private: short i;};
б. class A {public: friend int Н :: CountPass (); private: short i;};
в. class A {public: int A1 :: CountPass (); friend: short i;};
г. class A {public: friend int Н :: q; short i;};
23. Класс, который получается в результате наследования, называется: 1 балл
а. родительский;
б. основной;
в. потомки;
г. порожденный.
24. Из приведенных ниже высказываний укажите истинное высказывание: В консольном приложении точкой входа в программу является метод, который может иметь любое имя, а его определение в исходном коде класса Program должно быть первым 1 балл
а. который имеет имя main и может быть определен в любом классе;
б. который имеет имя Main и может быть определен в любом классе;
в. имя которого указывает пользователь при запуске приложения;
г. который имеет имя Main и должен быть определен в классе Program.
25. Переменная объявлена как double A = double.Parse(Console.ReadLine()); При каких вариантах ввода символов с клавиатуры переменная A получит значение 2.0 2 балла
а. 2,1
б. "2"
в. 2.0
г. 2,0
д. 2
26. Оператор break используется 2 балла
а. для выхода из case-ветви в операторе switch;
б. для перехода к следующему шагу цикла;
в. для выхода из метода;
г. в качестве пустого оператора;
д. для прекращения выполнения цикла.
27. В программе объявлены переменные int X=4,Y=2; Какое значение получит переменная Y после выполнения оператора if(X<3) Y=7; else Y=9; 1 балл
а. 6;
б. 4;
в. 2;
г. 7;
д. 9.
28. В программе объявлены переменные int S = 0, I=5; Какое значение получит переменная S после выполнения оператора do { S = S + I; I++; } while (I < 5); 1 балл
а. 0;
б. 6;
в. 5;
г. 1;
д. 11.
29. Литерал 25E1 определяет константу типа 1 балл
а. int;
б. float;
в. decimal;
г. double;
д. string.
30. С помощью операции инкремента в C# можно: 2 балла
а. увеличить целочисленную константу на 1;
б. добавить к строке символов один символ, представляющий собой пробел;
в. увеличить вещественную константу на 1;
г. увеличить значение переменной типа float на 1;
д. увеличить значение переменной типа int на 1.
Критерии оценки
0 - 19 балла Неудовлетворительно
20 – 27 баллов Удовлетворительно
28 –34 баллов Хорошо
35 – 40 баллов Отлично
Материалы на данной страницы взяты из открытых источников либо размещены пользователем в соответствии с договором-офертой сайта. Вы можете сообщить о нарушении.