Итоговая контрольная работа по дисциплине
ЕН.01 Элементы высшей математики
Вариант 1
1. Вычислить предел функции а)
; б)
;
2. Найти производную функции
:
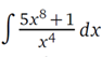
3. Найти неопределенный интеграл
.
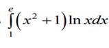
4.
Вычислить определенный интеграл:.
5.Найти матрицу C=A+3B,
если
,
.
6. Решить систему линейных уравнений методом Гаусса.

7.Решить
дифференциальное уравнение
.
8.Найти скалярное
произведение векторов
и
, если ![]()
Итоговая контрольная работа по дисциплине
ЕН.01 Элементы высшей математики
Вариант 2
1. Вычислить предел функции а)
; б) ![]()
2. Найти производную функции ![]()
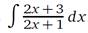
3. Найти неопределенный интеграл
.
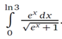
4.
Вычислить определенный интеграл:.
5.Найти матрицу C=2A-B,
если
,
.
6. Решить систему линейных уравнений по правилу Крамера

7. Решить задачу
Коши:
,
.
8. В пространстве задан треугольник координатами своих
вершин
. Найти
угол между сторонами
и
.
Итоговая контрольная работа по дисциплине
ЕН.01 Элементы высшей математики
Вариант 3
1. Вычислить предел функции:
а)
;
б)
![]()
2. Найти производную функции
;
3. Найти неопределенный интеграл 
4. Вычислить определенный интеграл 
5. Найти матрицу C=3A+B,
если
,
.
6. Решить систему линейных уравнений по формулам Крамера.

7. Решить дифференциальное уравнение ![]()
8. Даны три последовательные вершины параллелограмма А(1;-1),
В(-1;2),С(3;3). Не находя координаты вершины D, найти:
1) уравнение стороны AD.
Итоговая контрольная работа по дисциплине
ЕН.01 Элементы высшей математики
Вариант 4
1. Вычислить предел функции:
а)
;
б) 
2. Найти производную функции ![]()
3. Найти неопределенный интеграл
4. Вычислить определенный интеграл ![]()
5. Найти матрицу C=A-4B,
если
,
.
6. Решить систему линейных уравнений методом Гаусса.

7. Решить задачу Коши
![]()
8. Найдите длину средней линии треугольника ABC, если AC основание треугольника и А (-2;9), В (-8;-3), С(4;5).
Итоговая контрольная работа по дисциплине
ЕН.01 Элементы высшей математики
Вариант 5
1. Вычислить предел функции:
а)
;
б) ![]()
2. Найти производную функции: ![]()
3. Найти неопределенный интеграл ![]()
4. Вычислить определенный интеграл 
5. Найти матрицу C=4A-B,
если
,
.
6. Решить систему линейных уравнений методом Гаусса.

7. Решить задачу Коши ![]()
8. Найдите угол между векторами
.
Критерии оценок за итоговую контрольную работу
|
Процент результативности (правильных ответов) |
Оценка уровня подготовки |
|
|
балл (отметка) |
вербальный аналог |
|
|
90 ÷ 100 |
5 |
отлично |
|
80 ÷ 89 |
4 |
хорошо |
|
70 ÷ 79 |
3 |
удовлетворительно |
|
менее 70 |
2 |
неудовлетворительно |
Материалы на данной страницы взяты из открытых источников либо размещены пользователем в соответствии с договором-офертой сайта. Вы можете сообщить о нарушении.