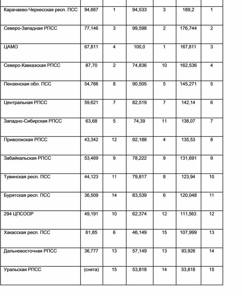
Вторые Всероссийские соревнования спасателей МЧС России прошли в августе 1996 года под Красноярском. Было проложено две дистанции: в условиях природной среды и в условиях землетрясения. На первом этапе спасатели отрабатывали навыки проведения ПСР в условиях лесистой местности. На втором этапе ПСР велись в усло-виях, максимально приближенных к сильному землетрясению. Здесь применялись и отрабатывались новые виды специального снаряжения и спасательные технологии.

Командный сводный протокол результатов Вторых Всероссийских соревнований поисково-спасательных формирований МЧС России
|
Команда |
Поисково-спасательные работы в |
|
Место |
|||
|
|
|
условиях |
|
|
|
|
|
|
|
|
|
|
|
|
|
|
природной |
техногенных |
|
|
||
|
|
среды |
катастроф |
|
|
||
|
|
|
|
|
|
|
|
|
|
Баллы |
Место |
Баллы |
Место |
|
|
|
|
|
|
|
|
|
|
|
Карачаево-Черкесская респ. ПСС |
94,667 |
1 |
94,533 |
3 |
189,2 |
1 |
|
|
|
|
|
|
|
|
|
Северо-Западная РПСС |
77,146 |
3 |
99,598 |
2 |
176,744 |
2 |
|
|
|
|
|
|
|
|
|
ЦАМО |
67,811 |
4 |
100,0 |
1 |
167,811 |
3 |
|
|
|
|
|
|
|
|
|
Северо-Кавказская РПСС |
87,70 |
2 |
74,836 |
10 |
162,536 |
4 |
|
|
|
|
|
|
|
|
|
Пензенская обл. ПСС |
54,766 |
8 |
90,505 |
5 |
145,271 |
5 |
|
|
|
|
|
|
|
|
|
Центральная РПСС |
59,621 |
7 |
82,519 |
7 |
142,14 |
6 |
|
|
|
|
|
|
|
|
|
Западно-Сибирская РПСС |
63,68 |
5 |
74,39 |
11 |
138,07 |
7 |
|
|
|
|
|
|
|
|
|
Приволжская РПСС |
43,342 |
12 |
92,188 |
4 |
135,53 |
8 |
|
|
|
|
|
|
|
|
|
Забайкальская РПСС |
53,469 |
9 |
78,222 |
9 |
131,691 |
9 |
|
|
|
|
|
|
|
|
|
Тувинская респ. ПСС |
44,123 |
11 |
79,817 |
8 |
123,94 |
10 |
|
|
|
|
|
|
|
|
|
Бурятская респ. ПСС |
36,509 |
14 |
83,539 |
6 |
120,048 |
11 |
|
|
|
|
|
|
|
|
|
294 ЦПСООР |
49,191 |
10 |
62,374 |
12 |
111,563 |
12 |
|
|
|
|
|
|
|
|
|
Хакасская респ. ПСС |
61,85 |
6 |
46,149 |
15 |
107,999 |
13 |
|
|
|
|
|
|
|
|
|
Дальневосточная РПСС |
36,777 |
13 |
57,149 |
13 |
93,926 |
14 |
|
|
|
|
|
|
|
|
|
Уральская РПСС |
(снята) |
15 |
53,818 |
14 |
53,818 |
15 |
|
|
|
|
|
|
|
|
Материалы на данной страницы взяты из открытых источников либо размещены пользователем в соответствии с договором-офертой сайта. Вы можете сообщить о нарушении.