Пятые, Шестые и Седьмые Всероссийские соревнования спасателей МЧС России прошли летом 1999, 2000 и 2001 годов на базе 179 Спасательного центра МЧС России в г. Ногинске, где был создан учебно-тренировочный полигон для профес-сиональной подготовки спасателей. Здесь собрались лучшие команды, победительни-цы региональных соревнований.

|
|
Командный сводный протокол результатов Пятых Всероссийских |
|
|
|
|
||||||||||||||||
|
|
соревнований поисково-спасательных формирований МЧС России |
|
|
|
|
||||||||||||||||
|
|
|
|
|
|
|
|
|
|
|
|
|
|
|
|
|
|
|
|
|
||
|
Команда: |
|
|
|
|
|
|
|
Дистанция |
|
|
|
|
|
Сум- |
Общее |
|
|||||
|
|
|
|
|
|
|
|
|
|
|
|
|
|
|
|
|
|
|
ма |
место |
|
|
|
|
|
|
|
|
ПСР |
|
ПСР |
|
ПСР |
Кросс |
Комбини- |
|
|
||||||||
|
|
|
|
|
|
|
|
|
бал- |
|
|
|||||||||||
|
|
|
|
|
|
в условиях |
в условиях |
на |
|
на 3 км |
рованное |
|
лов |
|
|
|||||||
|
|
|
|
|
|
природной |
ликвидации |
акваториях |
|
силовое |
|
|
|
|
|
|||||||
|
|
|
|
|
|
среды |
ЧС |
|
|
|
|
упражнение |
|
|
|
|
|
|||||
|
|
|
|
|
|
|
|
|
техногенного |
|
|
|
|
на |
|
|
|
|
|
|||
|
|
|
|
|
|
|
|
|
характера |
|
|
|
перекладине |
|
|
|
|
|
||||
|
|
|
|
|
|
|
|
|
|
|
|
|
|
|
|
|
|
|
|
|
|
|
|
|
|
|
|
|
Баллы |
|
Мес- |
Баллы |
|
Мес- |
Баллы |
Мес- |
Баллы |
Мес- |
|
Баллы |
Мес- |
|
|
|
|
|
|
|
|
|
|
|
|
то |
|
|
то |
|
то |
|
то |
|
|
то |
|
|
|
|
|
|
|
|
|
|
|
|
|
|
|
|
|
|
|
|
|
|
|
|
|
||
|
Северо-Западный РПСО |
|
1010,3 |
|
1 |
863,95 |
|
1 |
826,5 |
7 |
754,3 |
1 |
|
650,0 |
2 |
4390 |
1 |
|
||||
|
|
|
|
|
|
|
|
|
|
|
|
|
|
|
|
|
|
|
|
|
||
|
ЦАМО |
|
995,19 |
|
2 |
694,65 |
|
8 |
987,4 |
1 |
662,7 |
8 |
|
575,0 |
7 |
4235 |
2 |
|
||||
|
|
|
|
|
|
|
|
|
|
|
|
|
|
|
|
|
|
|
|
|
||
|
Карачаево-Черкесская респ. |
|
975,18 |
|
3 |
692,72 |
|
9 |
863,5 |
6 |
730,0 |
3 |
|
706,25 |
1 |
4143 |
3 |
|
||||
|
ПСС |
|
|
|
|
|
|
|
|
|
|
|
|
|
|
|
|
|
|
|||
|
|
|
|
|
|
|
|
|
|
|
|
|
|
|
|
|
|
|
|
|
||
|
294 ЦПСООР |
|
780,75 |
|
7 |
734,62 |
|
7 |
920,9 |
4 |
729,7 |
4 |
|
581,25 |
6 |
3922 |
4 |
|
||||
|
|
|
|
|
|
|
|
|
|
|
|
|
|
|
|
|
|
|
|
|
||
|
Краснодарская краевая ПСС |
|
754,08 |
|
8 |
775,32 |
|
6 |
927,7 |
3 |
577,0 |
14 |
|
512,5 |
8 |
3848 |
5 |
|
||||
|
|
|
|
|
|
|
|
|
|
|
|
|
|
|
|
|
|
|
|
|
||
|
Московская гор. ПСС |
|
927,97 |
|
4 |
630,35 |
|
13 |
623,8 |
12 |
637,7 |
И |
|
491,67 |
9 |
3582 |
6 |
|
||||
|
|
|
|
|
|
|
|
|
|
|
|
|
|
|
|
|
|
|
|
|
||
|
Восточно-Сибирский РПСО |
|
717,78 |
|
9 |
792,04 |
|
5 |
770,6 |
9 |
533,7 |
15 |
|
425,0 |
12 |
3576 |
7 |
|
||||
|
|
|
|
|
|
|
|
|
|
|
|
|
|
|
|
|
|
|
|
|
||
|
Пензенская обл. ПСС |
|
592,85 |
|
12 |
804,23 |
|
4 |
874,7 |
5 |
633,0 |
12 |
|
447,92 |
11 |
3575 |
8 |
|
||||
|
|
|
|
|
|
|
|
|
|
|
|
|
|
|
|
|
|
|
|
|
||
|
Адыгейской респ. ПСС |
|
900,29 |
|
5 |
628,32 |
|
14 |
611,7 |
13 |
664,0 |
7 |
|
625,0 |
3 |
3574 |
9 |
|
||||
|
|
|
|
|
|
|
|
|
|
|
|
|
|
|
|
|
|
|
|
|
||
|
Орловская обл. ПСС |
|
522,34 |
|
15 |
850,47 |
|
2 |
803,1 |
8 |
660,3 |
9 |
|
462,5 |
10 |
3459 |
10 |
|
||||
|
|
|
|
|
|
|
|
|
|
|
|
|
|
|
|
|
|
|
|
|
||
|
Уральский РПСО |
|
567.66 |
|
14 |
612,91 |
|
15 |
932,1 |
2 |
688,3 |
5 |
|
354,17 |
13 |
3335 |
11 |
|
||||
|
|
|
|
|
|
|
|
|
|
|
|
|
|
|
|
|
|
|
|
|
||
|
Западно-Сибирский РПСО |
|
57938 |
|
13 |
672,8 |
|
11 |
715Л |
10 |
742,7 |
2 |
|
587,5 |
5 |
3275 |
12 |
|
||||
|
|
|
|
|
|
|
|
|
|
|
|
|
|
|
|
|
|
|
|
|
||
|
Дальневосточный РПСО |
|
816,78 |
|
6 |
686,44 |
|
10 |
550,6 |
14 |
630,3 |
13 |
|
58,33 |
15 |
3261 |
13 |
|
||||
|
|
|
|
|
|
|
|
|
|
|
|
|
|
|
|
|
|
|
|
|
||
|
Марийская респ. ПСС |
|
653,33 |
|
11 |
823,83 |
|
3 |
401,7 |
15 |
653,3 |
10 |
|
612,5 |
14 |
3191 |
14 |
|
||||
|
|
|
|
|
|
|
|
|
|
|
|
|
|
|
|
|
|
|
|
|
||
|
Иркутская обл. ПСС |
|
680,87 |
|
10 |
666,22 |
|
12 |
665,6 |
11 |
680,7 |
6 |
|
64,58 |
7 |
3181 |
15 |
|
||||
|
|
|
|
|
|
|
|
|
|
|
|
|
|
|
|
|
|
|
|
|
|
|
|
|
|
|
|
|
|
|
|
|
|
|
|
|
|
|
|
|
|
|
|
|
|
|
|
|
|
|
|
|
|
|
|
|
|
|
|
|
|
|
|
|
|
|
|
|
|
|
|
|
|
|
|
|
|
|
|
|
|
|
|
|
|
|
|
|
|
|
|

Командный сводный протокол результатов Шестых Всероссийских соревнований поисково-спасательных формирований МЧС России
|
Команда: |
|
|
|
|
|
|
Дистанция |
|
|
|
|
|
|
Сум- |
Об- |
|
|||
|
|
|
|
|
|
|
|
|
|
|
|
|
|
|
|
|
|
ма |
щее |
|
|
|
ПСР в условиях |
ПСР в условиях |
|
ПСР на |
|
Кросс на 3 км |
|
КСУ |
|
|
|||||||||
|
|
|
|
|
|
бал- |
мес- |
|
||||||||||||
|
|
природной среды |
ликвидации ЧС |
акваториях 1200 |
|
500 |
|
|
300 |
|
лов |
то |
|
|||||||
|
|
|
1600 |
|
техногенного |
|
|
|
|
|
|
|
|
|
|
|
|
|
||
|
|
|
|
|
характера 1400 |
|
|
|
|
|
|
|
|
|
|
|
|
|
||
|
|
|
|
|
|
|
|
|
|
|
|
|
|
|
|
|
|
|
|
|
|
|
Ре- |
Сум- |
Мес- |
Ре- |
|
Мес- |
Ре- |
|
Сум- |
Мес- |
Ре- |
Сум- |
Мес- |
Ре- |
Сум- |
Мес- |
|
|
|
|
|
Сум- |
|
|
|
|
||||||||||||||
|
|
зуль- |
ма |
то |
зуль- |
то |
зуль- |
|
ма |
то |
зул- |
ма |
то |
зуль- |
ма |
то |
|
|
|
|
|
|
тат |
ба- |
|
тат |
ма |
|
тат |
|
бал- |
|
ьтат |
ба- |
|
тат |
бал- |
|
|
|
|
|
|
|
лов |
|
|
ба- |
|
|
|
лов |
|
|
лов |
|
|
лов |
|
|
|
|
|
|
|
|
|
|
лов |
|
|
|
|
|
|
|
|
|
|
|
|
|
|
|
|
|
|
|
|
|
|
|
|
|
|
|
|
|
|
|
|
|
|
|
|
|
|
|
|
|
|
|
|
|
|
|
|
|
|
|
|
|
|
|
|
|
Пензенская |
566 |
1600 |
1 |
183 |
1109 |
3 |
22 |
|
1200 |
1 |
1:16:01 |
452 |
11 |
34 |
128 |
13 |
4489 |
1 |
|
|
областная |
|
|
|
|
|
|
|
|
|
|
|
|
|
|
|
|
|
|
|
|
ПСС |
|
|
|
|
|
|
|
|
|
|
|
|
|
|
|
|
|
|
|
|
|
|
|
|
|
|
|
|
|
|
|
|
|
|
|
|
|
|
|
|
|
Сборная |
612 |
1480 |
3 |
145 |
1400 |
1 |
37 |
|
714 |
4 |
1:09:48 |
492 |
2 |
66 |
248 |
4 |
4334 |
2 |
|
|
Северо- |
|
|
|
|
|
|
|
|
|
|
|
|
|
|
|
|
|
|
|
|
Западного |
|
|
|
|
|
|
|
|
|
|
|
|
|
|
|
|
|
|
|
|
РЦ |
|
|
|
|
|
|
|
|
|
|
|
|
|
|
|
|
|
|
|
|
|
|
|
|
|
|
|
|
|
|
|
|
|
|
|
|
|
|
|
|
|
Иркутская |
645 |
1401 |
5 |
169 |
1201 |
2 |
122 |
|
216 |
9 |
1:14:31 |
461 |
7 |
56 |
210 |
8 |
3492 |
3 |
|
|
областная |
|
|
|
|
|
|
|
|
|
|
|
|
|
|
|
|
|
|
|
|
ПСС |
|
|
|
|
|
|
|
|
|
|
|
|
|
|
|
|
|
|
|
|
|
|
|
|
|
|
|
|
|
|
|
|
|
|
|
|
|
|
|
|
|
Орловская |
644 |
1406 |
4 |
348 |
583 |
8 |
31 |
|
852 |
2 |
1:14:38 |
460 |
8 |
46 |
173 |
9 |
3474 |
4 |
|
|
областная |
|
|
|
|
|
|
|
|
|
|
|
|
|
|
|
|
|
|
|
|
ПСС |
|
|
|
|
|
|
|
|
|
|
|
|
|
|
|
|
|
|
|
|
|
|
|
|
|
|
|
|
|
|
|
|
|
|
|
|
|
|
|
|
|
Цснтроспас |
697 |
1299 |
8 |
433 |
469 |
10 |
34 |
|
776 |
3 |
1:18:53 |
436 |
14 |
41 |
154 |
12 |
3134 |
5 |
|
|
|
|
|
|
|
|
|
|
|
|
|
|
|
|
|
|
|
|
|
|
|
Сборная |
673 |
1346 |
6 |
431 |
471 |
9 |
44 |
|
600 |
5 |
1:14:45 |
460 |
9 |
45 |
169 |
10 |
3046 |
6 |
|
|
Дальне- |
|
|
|
|
|
|
|
|
|
|
|
|
|
|
|
|
|
|
|
|
восточного |
|
|
|
|
|
|
|
|
|
|
|
|
|
|
|
|
|
|
|
|
РЦ |
|
|
|
|
|
|
|
|
|
|
|
|
|
|
|
|
|
|
|
|
|
|
|
|
|
|
|
|
|
|
|
|
|
|
|
|
|
|
|
|
|
Марийская |
714 |
1268 |
9 |
315 |
644 |
5 |
74 |
|
357 |
7 |
1:16:16 |
451 |
12 |
42 |
158 |
11 |
2878 |
7 |
|
|
республи- |
|
|
|
|
|
|
|
|
|
|
|
|
|
|
|
|
|
|
|
|
канская ПСС |
|
|
|
|
|
|
|
|
|
|
|
|
|
|
|
|
|
|
|
|
|
|
|
|
|
|
|
|
|
|
|
|
|
|
|
|
|
|
|
|
|
294 ЦСООР |
772 |
1173 |
11 |
318 |
638 |
6 |
223 |
|
118 |
11 |
1:10:51 |
485 |
3 |
76 |
285 |
2 |
2699 |
8 |
|
|
«Лидер» |
|
|
|
|
|
|
|
|
|
|
|
|
|
|
|
|
|
|
|
|
|
|
|
|
|
|
|
|
|
|
|
|
|
|
|
|
|
|
|
|
|
Московская |
746 |
1214 |
10 |
309 |
657 |
4 |
202 |
|
131 |
10 |
1:14:28 |
462 |
6 |
62 |
233 |
5 |
2697 |
9 |
|
|
городская |
|
|
|
|
|
|
|
|
|
|
|
|
|
|
|
|
|
|
|
|
ПСС |
|
|
|
|
|
|
|
|
|
|
|
|
|
|
|
|
|
|
|
|
|
|
|
|
|
|
|
|
|
|
|
|
|
|
|
|
|
|
|
|
|
179 Спаса- |
690 |
1312 |
7 |
471 |
431 |
11 |
262 |
|
101 |
13 |
1:11:52 |
478 |
4 |
80 |
300 |
1 |
2622 |
10 |
|
|
тельный |
|
|
|
|
|
|
|
|
|
|
|
|
|
|
|
|
|
|
|
|
центр |
|
|
|
|
|
|
|
|
|
|
|
|
|
|
|
|
|
|
|
|
|
|
|
|
|
|
|
|
|
|
|
|
|
|
|
|
|
|
|
|
|
Эльбрусская |
904 |
1002 |
12 |
493 |
412 |
12 |
53 |
|
498 |
6 |
1:14:21 |
462 |
5 |
60 |
225 |
7 |
2599 |
11 |
|
|
террито- |
|
|
|
|
|
|
|
|
|
|
|
|
|
|
|
|
|
|
|
|
риальная |
|
|
|
|
|
|
|
|
|
|
|
|
|
|
|
|
|
|
|
|
ПСС |
|
|
|
|
|
|
|
|
|
|
|
|
|
|
|
|
|
|
|
|
|
|
|
|
|
|
|
|
|
|
|
|
|
|
|
|
|
|
|
|
|
Кемеровская |
603 |
1502 |
2 |
506 |
401 |
13 |
252 |
|
105 |
12 |
1:16:40 |
448 |
13 |
31 |
116 |
14 |
2572 |
12 |
|
|
областная |
|
|
|
|
|
|
|
|
|
|
|
|
|
|
|
|
|
|
|
|
ПСС |
|
|
|
|
|
|
|
|
|
|
|
|
|
|
|
|
|
|
|
|
|
|
|
|
|
|
|
|
|
|
|
|
|
|
|
|
|
|
|
|
|
Северо- |
931 |
973 |
13 |
333 |
610 |
7 |
II 1 |
|
238 |
8 |
1:15:52 |
453 |
10 |
69 |
259 |
3 |
2533 |
13 |
|
|
Осетинекая |
|
|
|
|
|
|
|
|
|
|
|
|
|
|
|
|
|
|
|
|
республи- |
|
|
|
|
|
|
|
|
|
|
|
|
|
|
|
|
|
|
|
|
канская ПСС |
|
|
|
|
|
|
|
|
|
|
|
|
|
|
|
|
|
|
|
|
|
|
|
|
|
|
|
|
|
|
|
|
|
|
|
|
|
|
|
|
|
Уральский |
1160 |
781 |
14 |
515 |
394 |
14 |
272 |
|
97 |
14 |
1:08:44 |
500 |
1 |
61 |
229 |
6 |
2001 |
14 |
|
|
РПСО |
|
|
|
|
|
|
|
|
|
|
|
|
|
|
|
|
|
|
|
|
|
|
|
|
|
|
|
|
|
|
|
|
|
|
|
|
|
|
|
|
![]()
![]()
|
|
Профессиональная подготовка спасателей МЧС России |
||
|
|
|
|
|
|
|
|
||
|
|
|
|
|

Соревнования спасателей МЧС России являются сложным экзаменом на профессиональную зрелость, придирчивой проверкой умения применять теоретические знания и практические навыки в экстремальных ситуаци-ях, когда окончательный результат работы зависит от слаженности ис-полнителей, времени работы и ее качества, выполнения требований тех-ники безопасности, при строгом соблюдении условий соревнования.
Пристальное внимание росту профессионального мастерства спасате-лей уделяет руководство МЧС России: С.К. Шойгу, Ю.Л. Воробьев, В.А. Вос-тротин, Г.Н. Кириллов, М.И. Фалеев и оказывает всестороннюю поддержку, помощь в организации и проведении соревнований.
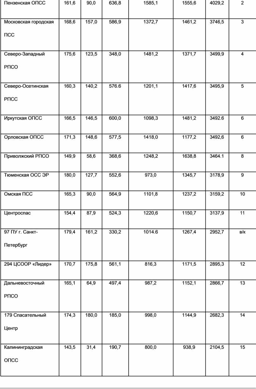
Командный сводный протокол результатов Седьмых Всероссийских соревнований поисково-спасательных формирований МЧС России
|
Команда |
|
|
Дистанция |
|
Сумма |
Общее |
|
|
|
|
|
|
|
|
|
баллов |
место |
|
|
|
Кросс |
КСУ |
ПСР на |
ПСР в условиях |
ПСР в |
|
||
|
|
|
|
|
|||||
|
|
|
|
аквато- |
ликвидации ЧС |
условиях |
|
|
|
|
|
|
|
риях |
техногенного |
природной |
|
|
|
|
|
|
|
|
характера |
среды |
|
|
|
|
|
|
|
|
|
|
|
|
|
|
Северо-Кавказский |
164,7 |
104,7 |
627,6 |
1675,0 |
1496,2 |
4068,3 |
1 |
|
|
РПСО |
|
|
|
|
|
|
|
|
|
|
|
|
|
|
|
|
|
|
|
Пензенская ОПСС |
161,6 |
90,0 |
636,8 |
1585,1 |
1555,6 |
4029,2 |
2 |
|
|
|
|
|
|
|
|
|
|
|
|
Московская городская |
168,6 |
157,0 |
586,9 |
1372,7 |
1461,2 |
3746,5 |
3 |
|
|
ПСС |
|
|
|
|
|
|
|
|
|
|
|
|
|
|
|
|
|
|
|
Северо-Западный |
175,6 |
123,5 |
348,0 |
1481,2 |
1371,7 |
3499,9 |
4 |
|
|
РПСО |
|
|
|
|
|
|
|
|
|
|
|
|
|
|
|
|
|
|
|
Северо-Осетинская |
160,3 |
140,2 |
576.6 |
1201,1 |
1417,6 |
3495,9 |
5 |
|
|
РПСС |
|
|
|
|
|
|
|
|
|
|
|
|
|
|
|
|
|
|
|
Иркутская ОПСС |
166,5 |
146,5 |
600,0 |
1098,3 |
1481,2 |
3492.6 |
6 |
|
|
|
|
|
|
|
|
|
|
|
|
Орловская ОПСС |
171,3 |
148,6 |
577,5 |
1418,0 |
1177,2 |
3492,6 |
6 |
|
|
|
|
|
|
|
|
|
|
|
|
Приволжский РПСО |
149,9 |
58,6 |
368,6 |
1248,2 |
1638,8 |
3464.1 |
8 |
|
|
|
|
|
|
|
|
|
|
|
|
Тюменская ОСС ЭР |
180,0 |
127,7 |
552,6 |
973,0 |
1345,7 |
3178,9 |
9 |
|
|
|
|
|
|
|
|
|
|
|
|
Омская ПСС |
165,3 |
90,0 |
564,9 |
1101,8 |
1237,2 |
3159,2 |
10 |
|
|
|
|
|
|
|
|
|
|
|
|
Центроспас |
154,4 |
87,9 |
524,3 |
1220,6 |
1150,7 |
3137,9 |
11 |
|
|
|
|
|
|
|
|
|
|
|
|
97 ПУ г. Санкт- |
179,4 |
161,2 |
330,2 |
1014.6 |
1267,4 |
2952,7 |
в/к |
|
|
Петербург |
|
|
|
|
|
|
|
|
|
|
|
|
|
|
|
|
|
|
|
294 ЦСООР «Лидер» |
170,7 |
175,8 |
561,1 |
816,3 |
1171,5 |
2895,3 |
12 |
|
|
|
|
|
|
|
|
|
|
|
|
Дальневосточный |
165,1 |
64,9 |
497,4 |
987,2 |
1152,1 |
2866,7 |
13 |
|
|
РПСО |
|
|
|
|
|
|
|
|
|
|
|
|
|
|
|
|
|
|
|
179 Спасательный |
174,3 |
180,0 |
185,0 |
998,0 |
1144,9 |
2682,3 |
14 |
|
|
Центр |
|
|
|
|
|
|
|
|
|
|
|
|
|
|
|
|
|
|
|
Калининградская |
143,5 |
31,4 |
190,7 |
800,0 |
938,9 |
2104,5 |
15 |
|
|
ОПСС |
|
|
|
|
|
|
|
|
|
|
|
|
|
|
|
|
|
|
![]()
Материалы на данной страницы взяты из открытых источников либо размещены пользователем в соответствии с договором-офертой сайта. Вы можете сообщить о нарушении.