3_8 _Рациональное неравенство_Дидактические материалы_2 урок

  • docx
  • 30.04.2020
Публикация на сайте для учителей

Публикация педагогических разработок

Бесплатное участие. Свидетельство автора сразу.
Мгновенные 10 документов в портфолио.

Иконка файла материала 3_8 _Рациональное неравенство_Дидактические материалы_2 урок.docx

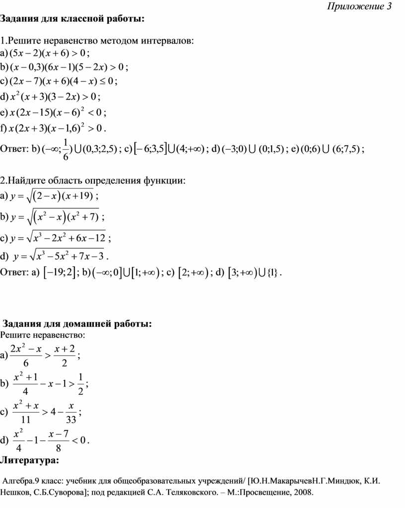
                                                                                                                              Приложение 3

Задания для классной работы:

1.Решите неравенство методом интервалов:

a);

b);

c);

d);

e);

f).

Ответ: b); c); d); e);

 

2.Найдите область определения функции:

a);

b);

c);

d) .

Ответ: а) ; b); c) ; d) .

 

 

 

 Задания для домашней работы:

Решите неравенство:

a);

b) ;

c) ;

d) .

Литература:

 

 Алгебра.9 класс: учебник для общеобразовательных учреждений/ [Ю.Н.МакарычевН.Г.Миндюк, К.И. Нешков, С.Б.Суворова]; под редакцией С.А. Теляковского. – М.:Просвещение, 2008.