















![]()





![]()








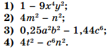
Формулы сокращённого выражения.














Контрольная работа № 12. «Формулы сокращенного умножения»

Контрольная работа № 12. «Формулы сокращенного умножения»

![]()
Контрольная работа № 12. «Формулы сокращенного умножения»

Контрольная работа № 12. «Формулы сокращенного умножения»







Материалы на данной страницы взяты из открытых источников либо размещены пользователем в соответствии с договором-офертой сайта. Вы можете сообщить о нарушении.