Формативное оценивание
Цель обучения – решать системы и совокупности двух квадратных неравенств
Критерии оценивания – решает системы и совокупности двух квадратных неравенств
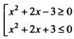
Задание 1.
Решить систему неравенств
![]()
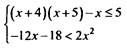
Задание 2.
Решить совокупность неравенств

Формативное оценивание
Цель обучения – решать системы и совокупности двух квадратных неравенств
Критерии оценивания – решает системы и совокупности двух квадратных неравенств
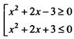
Задание 1.
Решить систему неравенств
![]()
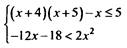
Задание 2.
Решить совокупность неравенств

Материалы на данной страницы взяты из открытых источников либо размещены пользователем в соответствии с договором-офертой сайта. Вы можете сообщить о нарушении.