Конспект урока по физике "Закон сохранения механической энергии"

  • doc
  • 20.12.2025
Публикация на сайте для учителей

Публикация педагогических разработок

Бесплатное участие. Свидетельство автора сразу.
Мгновенные 10 документов в портфолио.

Иконка файла материала Закон сохранения энергии.doc

Урок по теме: «Закон сохранения механической энергии»

 

Цели урока:

Образовательная: 

-  сформировать знания обучающихся о законе сохранения энергии и превращении одного вида энергии в другой;

-  продолжить закрепление ранее изученных видов энергии: кинетической, потенциальной. 

2. Развивающая: 

-              развивать операции логического мышления, при изучении данной темы;

-              совершенствовать общеучебные умения, коммуникативные качества обучающихся;

-              повышать познавательную активность.

3. Воспитательная:

 Воспитывать:  мотивы учения, добросовестности, дисциплинированность, вести аккуратные записи в тетрадях, толерантно относиться к друг к другу при устных ответах.

Вид  урока: изучение нового материала

Тип урока: комбинированный

Методы обучения:

-      информационный,

-      репродуктивный,

-      наглядный

Оборудование:

 

-      ПО: ОС Windows, Microsoft Power Point, Microsoft Word,  мультимедиапроектор

 

Наглядность:

-     Презентация “Закон сохранения энергии в механике

-     Тест игра “Верю – не верю” (Приложение1)

-     Игра “Заблудившиеся величины” (Приложение 2)

-     Решение задач (Приложение 3)

-     Памятка обучающимся (Приложение 4)

-     Карточка контроля знаний (Приложение5)

 

Ход урока:

Природа никогда не изменит 
великим законам сохранения.
Даниил Бернулли

 

I. Актуализация опорных знаний 

1.      Сообщение цели урока Слайд 1,2

2.      Повторение пройденного  Слайд 3,4,5

3.     Слайды 6,7  Тест игра “Верю – не верю”

(Ответы на вопросы: “да”, “нет”) Приложение №1

Время на задание: 2 мин

1 вариант

2 вариант

1.      Потенциальная энергия мяча в конце падения максимальна.

2.      Чем больше скорость тела, тем больше его кинетическая энергия.

3.      При полете стрелы вверх кинетическая энергия увеличивается, а потенциальная энергия уменьшается.

4.      Растянутая пружина
обладает потенциальной энергией

5.      Движущееся тело обладает кинетической энергией mgh

1.      Потенциальная энергия пружины тем  больше, чем меньше ее деформация.

2.      Чем выше тело поднято над Землей, тем больше его потенциальная энергия.

3.      Мяч бросили вверх. В верхней точке у него будет максимальная кинетическая энергия.

4.      У падающего камня кинетическая энергия увеличивается, а потенциальная энергия уменьшается.

5.      Тело,  поднятое над поверхностью земли, обладает потенциальной энергией 

Эталон ответа  1 вариант 1. нет 2. да 3. нет 4. да 5. нет   2 вариант 1. нет 2. да 3. нет 4. да 5. нет

 

Игра: “Заблудившиеся величины”. Определить соответствие между величинами и единицами измерений. Слайд 8,9

Приложение №2  Время на задание: 1 мин

 

№1

Работа  ( А)

м/с2

Ускорение (а)

кг

Скорость (υ)

Ньютон

Сила  (F)

Джоуль

Масса  (m)

м/с

 

№2

Энергия (E)

м

Масса (m)

м/с

Мощность(Р)

Джоуль

Cкорость(υ)

Ватт

Удлинение (х)

кг

№3

Импульс )

Ньютон

Сила  (F)

метр

Время (t)

м/с2

Ускорение (а)

секунда

Высота ( h)

кгм/с


II. Формирование новых понятий и способов действий:

Слайд10

Истоки открытия закона сохранения энергии уходят в глубокую древность. “Из ничего ничего не бывает” – так древние греки выражали идею сохранения. Золотым правилом” механики (“что выигрываешь в силе, то проигрываешь в расстоянии”) пользовался еще Архимед.

·                     Томас Юнг (1773–1829 гг.) – ввел понятие кинетической энергии. Под словом “энергия” понимал “способность тела совершать работу вследствие приобретения скорости”.

·                     Михаил Васильевич Ломоносов (1711–1765 гг.) – В 1748 году М.В. Ломоносов писал:

·                      “… встречающиеся в природе изменения происходят так, что если б к чему-либо нечто прибавилось, то это отнимается у чего-то другого…Тело, своим толчком побуждает другое к движению, столько же теряет от своего движения, сколько сообщает другому, им двинутому”.

·                    В середине 19 века немецким врачом и физиологом Р. Майером, английским физиком Дж. Джоулем и немецким врачом и естествоиспытателем Г. Гельмгольцем примерно в одно и тоже время был установлен закон сохранения и превращения энергии  как  всеобщий закон природы.

Слайд 11

Изучение явлений превращения одного вида энергии в другой привело к открытии одного из основных законов природы – закона  сохранения механической энергии

Во всех явлениях, происходящих в природе, энергия не возникает и не исчезает, она только превращается из одного вида в другой, при этом её значение сохраняется.

Слайд 12

Закон сохранения механической энергии (записать в тетрадь)

 Сумма кинетической и потенциальной энергии тел, составляющих замкнутую систему и взаимодействующих между собой силами тяготения и силами упругости, остается неизменной. Сумму E = Ek + Ep называют полной механической энергией

Слайд 13

В процессе движения системы всякое увеличение кинетической энергии системы должно сопровождаться соответствующим уменьшением её потенциальной энергии и наоборот.

Рассмотрим границы применяемости закона сохранения механической энергии.

Закон сохранения полной механической энергии предполагает взаимное превращение кинетической энергии в потенциальную энергию и обратно в равных количествах. При этом полная энергия остается неизменной.

Справедливость закона сохранения энергии подтверждается экспериментально с высокой степенью точности.

С помощью закона сохранения механической энергии значительно проще находить кинематические величины, чем при непосредственном применении законов движения и законов динамики Ньютона.

Один из самых основных законов природы – закон сохранения энергии. Это не только физический закон. Он применим: (слайд 14)

·      В астрономии (для расчета движения планет и звезд);

·      В космонавтике (для расчета движения космических кораблей и спутников);

·      В технике (для расчета движения и работы различных машин и механизмов);

·      В химии, биологии, физике.

Вопросы:

·      Как читается ЗСМЭ?

·      Какие превращения энергии могут происходить в изолированной системе?

 

III. Формирование навыков умственного труда:

Решение задач  Приложение 3(слайд 15,16,17)

1.   Вопрос. В чем состоит закон сохранения механической энергии?

      Ответ:  Полная механическая энергия замкнутой системы тел,  взаимодействующих     силами тяготения или силами упругости, остается неизменной при движениях тел системы.

2.                                                                           Вопрос. Выполняется ли закон сохранения механической энергии, если действуют, одновременно, и сила тяжести и сила упругости?

          Ответ:  Да (пример с пружинным пистолетом).

3. Вопрос.  Объясните, какие превращения энергии и почему происходят в следующих случаях:

а) при движении мяча, брошенного вверх;

б) при скатывании шара с наклонной плоскости;

в) при падении потока воды в водопаде;

г) при падении пластилинового шарика на пол;

д) при движении математического маятника.

4. Вопрос. Что убеждает нас в справедливости закона сохранения механической энергии? Ответ обоснуйте.

 

IV. Подведение итогов урока. (Оценочная карта)

Фамилия, имя

Тест игра “Верю – не верю”

За каждый верный ответ 1б

Игра “Заблудившиеся величины»

За каждый верный ответ 1б

Решение задач

За каждый верный ответ 1б

Обобщение темы

Ответы на вопросы

Эталон ответов

16-14 б - «5»

13- 11б - «4»

10-8б - «3»

1

 

 

 

 

 

 

 

Оценка за урок:

 

V. Домашнее задание. Слайд

 Используемая литература:

1. Мякишев Г.Я., Буховцев Б.Б., Сотский Н.Н. Физика: учебник для 10 кл. общеобразовательных учреждений. – 15-е изд. – М.: Просвещение, 2011;

2. Современное естествознание: энциклопедия. –М.: Дом-МАГИСТР-ПРЕСС, 2001.

3. Интернет ресурсы

4.Перельман Д.И. “Занимательная физика”

5.Ланина И.Я. “Формирование познавательных интересов учащихся на уроках физики”

6.Дерябин В.М. “Законы сохранения в механике

Рефлексия

Проанализируйте движение своих мыслей, чувств, ощущений, которые у вас возникли в течение урока. (Словами или рисунком.)

 

 

Задача спор.

            На строительной площадке произошел спор мастера и рабочего. Нужно поднять груз 625000Дж на высоту 20 метров. Рабочий предложил  отнести  в ручную по лестнице, мастер предложил поднять краном. Кто из них прав? (Вычисли массу груза выразив массу из формулы потенциальной энергии)

  Ответ:                      Е = mgh,        m = = = 3125 кг      

Приложение №1

Тест игра “Верю – не верю”

1 вариант

2 вариант

6.      Потенциальная энергия мяча в конце падения максимальна.

7.      Чем больше скорость тела, тем больше его кинетическая энергия.

8.      При полете стрелы вверх кинетическая энергия увеличивается, а потенциальная энергия уменьшается.

9.      Растянутая пружина
обладает потенциальной энергией

10.  Движущееся тело обладает кинетической энергией mgh

6.      Потенциальная энергия пружины тем  больше, чем меньше ее деформация.

7.      Чем выше тело поднято над Землей, тем больше его потенциальная энергия.

8.      Мяч бросили вверх. В верхней точке у него будет максимальная кинетическая энергия.

9.      У падающего камня кинетическая энергия увеличивается, а потенциальная энергия уменьшается.

10.  Тело,  поднятое над поверхностью земли, обладает потенциальной энергией 

 

Приложение № 2

 Игра: “Заблудившиеся величины”(соедини стрелками)

№1

Работа  ( А)

м/с2

Ускорение (а)

кг

Скорость (υ)

Ньютон

Сила  (F)

Джоуль

Масса  (m)

м/с

 

№2

Энергия (E)

м

Масса (m)

м/с

Мощность(Р)

Джоуль

Cкорость(υ)

Ватт

Удлинение (х)

кг

№3

Импульс )

Ньютон

Сила  (F)

метр

Время (t)

м/с2

Ускорение (а)

секунда

Высота ( h)

кгм/с



 

 

 

 

 

 

 

 

Приложение № 3  Решение задач

Задача

Помощь к задаче

Рабочий равномерно через блок поднимает ведро с песком массой 15кг на высоту 20м. Определите энергию поднятого ведра?

Еп = mgh    g≈10м\с2

 Вычисли   Еп=        

При перемещении по стройплощадке мешков с цементом, рабочий воспользовался тележкой. Груз массой 200 кг он перемещал со скоростью 2 м\с.

Рассчитайте кинетическую энергию тележки?

 ЕК =

Вычисли   Ек =     

На строительной площадке произошел спор мастера и рабочего. Нужно поднять груз обладающий энергией 625000Дж на высоту 20 метров. Рабочий предложил  отнести  в ручную по лестнице, мастер предложил поднять краном. Кто из них прав? (Вычисли массу груза, выразив массу из формулы потенциальной энергии)

 

  Еп = mgh,       g≈10м\с2

 m = = ( реши! )

 

Ответ: (обоснуй, кто прав)

Новая задача на закон сохранения

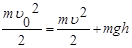
Кирпич массой 2 кг свободно падает  в течение 2 с. Определить кинетическую энергию в середине падения.

 

 (м)      h1=         (половина h)

По закону сохранения энергии:

т. к ЕК1=              

mgh = ЕК2 + mgh1      ЕК2= mgh - mgh1=mg(h –h1)

Вычислим по формуле: ЕК2=mg(hh1)

 

 

3.            Вопрос. В чем состоит закон сохранения механической энергии?

Ответ:  Полная механическая энергия замкнутой системы тел,  взаимодействующих силами тяготения или силами упругости, остается неизменной при движениях тел системы.

4.            Вопрос. Выполняется ли закон сохранения механической энергии, если действуют, одновременно, и сила тяжести и сила упругости?

          Ответ:  Да (пример с пружинным пистолетом).

 

Приложение №4

Памятка обучающимся

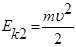
 Движущееся тело обладает кинетической энергией

где m - масса движущегося тела; v - скорость тела.

Тело поднятое над поверхностью земли, обладает потенциальной энергией

где h – высота тела над поверхностью земли.

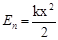
Сжатая или растянутая пружина обладает потенциальной энергией

где k - жесткость пружины; х - сжатие (или растяжение) пружины.

Под полной механической энергией  Е  понимают сумму кинетической и потенциальной энергий:

Е= Ек + Еп

Изолированной системой тел называется такая система, на которую не действуют силы со стороны тел, не входящих в эту систему.

Для тела, движущегося со скоростью v на высоте h над поверхностью земли, уравнение закона сохранения механической энергии имеет вид:

В случае, когда на тело (систему тел) действуют внешние силы (например, сила трения, сила тяги), закон сохранения механической энергии не выполняется. В этом случае выполнимо следующее соотношение:

A = ΔΕ = E- E0

Где А - работа внешних сил, действующих на тело; E и E0- конечная и начальная механическая энергии тела; ΔΕ - изменение полной механической энергии тела.


Тело, брошено вертикально вверх

   

 

 


 

 

 

 

1),если тело достигло максимальной высоты