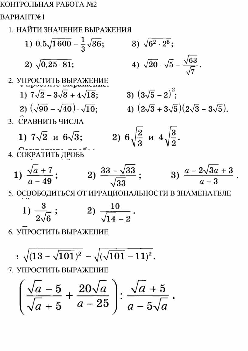
КОНТРОЛЬНАЯ РАБОТА №2
ВАРИАНТ№1
1. НАЙТИ ЗНАЧЕНИЕ ВЫРАЖЕНИЯ

2. УПРОСТИТЬ ВЫРАЖЕНИЕ

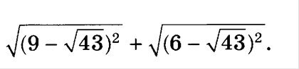
3. СРАВНИТЬ ЧИСЛА

4. СОКРАТИТЬ ДРОБЬ

5. ОСВОБОДИТЬСЯ ОТ ИРРАЦИОНАЛЬНОСТИ В ЗНАМЕНАТЕЛЕ

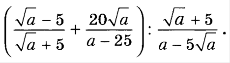
6. УПРОСТИТЬ ВЫРАЖЕНИЕ

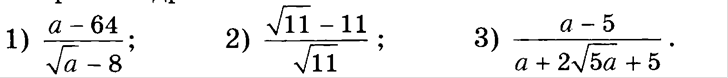
7. УПРОСТИТЬ ВЫРАЖЕНИЕ

КОНТРОЛЬНАЯ РАБОТА №2
ВАРИАНТ№2
1. НАЙТИ ЗНАЧЕНИЕ ВЫРАЖЕНИЯ

2. УПРОСТИТЬ ВЫРАЖЕНИЕ

3. СРАВНИТЬ ЧИСЛА

4. СОКРАТИТЬ ДРОБЬ

5. ОСВОБОДИТЬСЯ ОТ ИРРАЦИОНАЛЬНОСТИ В ЗНАМЕНАТЕЛЕ

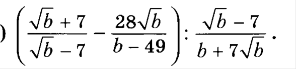
6. УПРОСТИТЬ ВЫРАЖЕНИЕ

7. УПРОСТИТЬ ВЫРАЖЕНИЕ

Материалы на данной страницы взяты из открытых источников либо размещены пользователем в соответствии с договором-офертой сайта. Вы можете сообщить о нарушении.