Контрольная работа за 2 четверть физика 8 класс

  • docx
  • 17.11.2025
Публикация на сайте для учителей

Публикация педагогических разработок

Бесплатное участие. Свидетельство автора сразу.
Мгновенные 10 документов в портфолио.

Иконка файла материала Итоговая контрольная работа за 2 четверть 8 класс.docx

Итоговая контрольная  работа за 2 четверть (8 класс)

Вариант 1

Вариант 2

 

1. Идеальный тепловой двигатель получил от нагревателя количество теплоты, равное 1 000 Дж, и отдал холодильнику количество теплоты, равное 600 Дж. Чему равна полезная работа, совершённая двигателем?

2. Моделью какого движения является движение броуновских частиц?

1) вращения материальных точек по окружности

2) теплового движение молекул жидкости

3) колебательного движения математического маятника

4) свободного падения тела

3. Назовите процесс, при котором вещество переходит из газообразного состояния в жидкое.

1) Испарение

2) Кипение

3) Конденсация

4) Сублимация

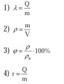
4. Какая из формул выражает удельную теплоту плавления вещества?

5. Какое количество теплоты необходимо сообщить, чтобы расплавить при нормальном атмосферном давлении кусок олова массой 20 г, взятого при температуре, равной 32 ºС? Температура плавления олова равна 232 ºС, удельная теплота плавления олова — 59 кДж/кг.

 

1.                       Определите максимально возможный КПД идеального теплового двигателя, если количество теплоты, отдаваемое нагревателем равно 500 Дж, а количество теплоты, получаемое холодильником — 300 Дж.

2.                       В каком агрегатном состоянии молекулы легко меняют своё место равновесия и скачком переходят в новое положение?

1) твёрдое состояние

2) жидкие кристаллы

3) жидкое состояние

4) газообразное состояние

3. Назовите процесс, при котором происходит испарение с поверхности твёрдых тел.

1) Кристаллизация

2) Кипение

3) Конденсация

4) Сублимация

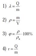
4. Какая из формул выражает относительную влажность воздуха?

5. Кипящая жидкость получила от нагревателя количество теплоты, равное 230 кДж при нормальном атмосферном давлении. Масса образовавшегося пара равна 100 г. Найдите удельную теплоту парообразования жидкости.

 


 

Скачивание материала доступно только для авторизованных пользователей.