Лекция на тему: Аудит эффективности внешнеэкономических операций

  • docx
  • 12.10.2021
Публикация на сайте для учителей

Публикация педагогических разработок

Бесплатное участие. Свидетельство автора сразу.
Мгновенные 10 документов в портфолио.

Иконка файла материала 01-242.docx

Лекция на тему:

Аудит эффективности внешнеэкономических операций

Внешнеэкономические связи — это международные хо­зяйственные и торгово-политические отношения, предусмат­ривающие обмен товарами, специализацию и кооперацию производства, научно-техническое сотрудничество, экономи­ческое и техническое содействие, создание совместных пред­приятий и другие формы экономического сотрудничества. Через внешнеэкономические связи осуществляется между­народное разделение труда, целью которого является эко­номия общественного труда в процессе производства и об­мена его результатами между разными странами.

Международный обмен товарами экономически целесо­образен для страны, если она затрачивает на производство экспортных товаров меньше общественного труда, чем долж­на затратить на производство товаров вместо импортиро­ванных на средства от экспорта. Участие в международ­ном разделении труда позволяет достичь поставленную экономическую цель при меньших затратах общественного труда. Следовательно, с целью ускорения социального и экономического развития страны необходимо увеличить мас­штабы выпуска конкурентоспособной продукции.

Для достижения наибольшего экономического эффекта от участия в международном разделении труда необходи­мо развивать экспорт той продукции, которая дает наиболь­шую валютную выручку на единицу затрат общественного труда. Импортировать следует те товары, собственное про­изводство которых связано с большими затратами обще­ственного труда на единицу валютных средств, расходуе­мых при этом. Опыт показывает, что в мировой экономике стоимостных пропорций наибольший эффект достигается от экспорта наукоемкой готовой продукции.

Экономическая целесообразность внешнеторгового обме­на определяется сопоставлением общественных затрат труда на производство экспортной продукции с затратами, кото­рые имели бы место при самостоятельном производстве продукции вместо импортированной.

Для оценки аудиторами экономической эффективности деятельности внешнеторговых организаций используют показатели валютной (бюджетной) эффективности. Исход­ные данные для расчета этих показателей имеют постав­щики экспортной продукции, заказчики импортных това­ров и внешнеторговые организации.

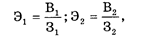
Показатели бюджетной эффективности экспорта Э1 и импорта Э2, при расчетах наличностью аудиторы определя­ют по следующим формулам:

где В1 — чистая валютная выручка от экспорта товаров, пе­реведенная во внутреннюю валюту по официальному курсу;

31 — полные затраты в собственной валюте Украины на экспорт продукции (оптовая или согласованная с постав­щиком отпускная стоимость, увеличенная на транспортные и другие накладные расходы);

32 — стоимость реализованной импортной продукции отечественным заказчикам в собственной валюте Украи­ны по оптовым или договорным ценам, за вычетом транс­портных и других накладных расходов;

В2 — полные валютные затраты на импорт продукции, переведенные во внутреннюю валюту по официальному курсу, с учетом транспортных и накладных расходов.

В основу чистой валютной выручки и полных валют­ных затрат положены внешнеторговые цены, близкие к це­нам мирового рынка, которые под влиянием конкуренции приближаются к стоимости, отражающей общественно не­обходимые затраты труда на производство продукции.

По показателям экспортной и импортной эффективно­сти аудиторам сложно определить экономическую целесо­образность внешнеторговой операции, так как неизвестно, насколько оптовые или договорные цены отклоняются от стоимости товаров. Поэтому применяют показатель народ­нохозяйственной эффективности.

Народнохозяйственную эффективность аудитор опреде­ляет по таким алгоритмам:

для экспорта

 

 

для импорта

где 3 — затраты на производство и транспортировку това­ров к границе Украины в собственной валюте (3 = С + + Nэф К), Nэф единый норматив эффективности по народ­ному хозяйству (0,15), К — капиталовложения в основные и оборотные фонды и другие одноразовые затраты на про­изводство или капиталоемкость продукции;

Ккр — коэффициент кредитного влияния, принятый при экспорте и импорте товаров в кредит;

Bз — стоимость импортной продукции в собственной ва­люте Украины.

Показатели эффективности внешнеэкономических опе­раций, в том числе и народнохозяйственных затрат, сто­имости импортной продукции и коэффициент кредитного влияния аудиторы определяют по методике, которая осно­вывается на народнохозяйственной эффективности