Лекция на тему:
Планування і аналіз чисельності й складу персоналу підприємства
Відповідно до законодавства підприємство самостійно визначає
загальну чисельність працівників, їх професійний і кваліфікаційний склад,
затверджує штати, тобто формує трудовий колектив, здатний в ринкових умовах
досягати високих кінцевих результатів.
Працівники підприємства поділяються на дві категорії: промислово-виробничий
персонал (ПВП) та персонал непромислових організацій.
У практиці обліку персоналу підприємства розрізняють списковий склад, явочний
склад, середньоспискова чисельність і структуру кадрів.
До спискового складу зараховуються всі працівники, прийняті на
постійну, сезонну і тимчасову роботу (ті, що фактично працюють та відсутні на
роботі).
Явочний склад показує, скільки робітників, що є в списку,
з'явились на роботу.
Середньоспискова чисельність працівників за звітний період
визначається шляхом додавання чисельності працівників спискового складу за
кожен календарний день звітного місяця та діленням одержаної суми на число днів
місяця.
Структура кадрів підприємства характеризується співвідношенням
різних категорій працівників у їх загальній чисельності. Визначається питома
вага кожної категорії працівників у загальній середньосписковій чисельності
персоналу підприємства. Структура кадрів визначається і аналізується по кожному
підрозділу.
Необхідною складовою такого планування є розрахунок балансу робочого часу
одного середньоспискового робітника. (За іншими категоріями баланс, як правило,
не складається).
Баланси бувають планові і звітні (фактичні), їх призначення —
виявити резерви зростання продуктивності праці і вивільнити працівників за
рахунок більш раціонального використання робочого часу.
Головні частини балансу робочого часу: календарний, номінальний і корисний
(ефективний) фонд робочого часу.
Календарний фонд – це число календарних днів у плановому періоді.
Номінальний фонд – це кількість робочих днів, які максимально
можна використати впродовж планового періоду. Він визначається як різниця між
календарним фондом і кількістю святкових і вихідих днів.
Корисний (ефективний) фонд робочого часу – це середня кількість
робочих днів, яка корисно використовується протягом планового періоду, і
визначається як різниця між номінальним фондом і кількістю неявок на роботу з
різних причин: втрати робочого часу та неявки, дозволені законом (чергові і
додаткові відпустки, відпустки у зв’язку з вагітністю і пологами, через
навчання, неявки у зв’язку з хворобою, у зв'язку з виконанням держобов'язків)
[3].
Баланс робочого часу складається з трьох етапів:
1) розрахунок корисного фонду робочого часу в днях;
2) встановлення середньої тривалості робочого дня;
3) визначення корисного фонду робочого часу в годинах.
У практиці господарювання застосовуються різні методи планування чисельності
працюючих, в тому числі: укрупнений метод, планування за категоріями
працівників на основі трудомісткості, нормативів чисельності і норм
обслуговування та ін.
Методи планування чисельності працівників пов'язані з безпосереднім
використанням показників обсягу продукції і продуктивності праці. Планова
чисельність працівників може бути встановлена:
- прямим рахунком відношення планового обсягу продукції до планової величини
продуктивності праці;
- індексним методом. Спочатку визначається індекс планової зміни (зростання або
зменшення) чисельності працівників, який обчислюється як відношення темпу
зростання планового обсягу продукції до темпу планового зростання
продуктивності праці. З урахуванням цього індексу і базової чисельності
проводиться розрахунок чисельності працівників.
Показник планового балансу робочого часу використовується для розрахунку
планової чисельності основних працівників:

де Чпл- планова чисельність робітників, осіб;
ТМпл – планова трудомісткість робіт, люд /год.;
Ф – фонд робочого часу на одного середньоспискового робітника;
Кнв – плановий коефіцієнт виконання норм виробітку.
Метою аналізу чисельності і структури кадрів є виявлення внутрішніх резервів
економії робочої сили у зв'язку з більш раціональною розстановкою працівників,
їх завантаженням і використанням відповідно до отриманої професії,
спеціальності і кваліфікації.
Основними завданнями проведення аналізу чисельності і складу працівників є:
- дослідження чисельності і складу за статтю, віком, спеціальністю,
кваліфікацією;
- встановлення ступеня забезпеченості підприємств кадрами;
- перевірка даних про використання робочого часу;
- вивчення форм, динаміки і причин руху працівників;
- розробка заходів, що спрямовані на поліпшення забезпеченості підприємства
кадрами, вдосконалення їх структури і використання.
Аналіз забезпеченості підприємств робочою силою починають з визначення
абсолютного і відносного відхилення (надлишку або нестачі робітників) в
звітному періоді. Вони визначаються шляхом простого зіставлення фактичного і
планового числа працівників за категоріями персоналу. При цьому встановлюються
причини надлишку або нестачі в кадрах. Так, надпланова чисельність основних
робітників може бути наслідком підвищення трудомісткості продукції, що
випускається, або нераціонального використання робітників.
Наступним етапом аналізу є вивчення структури кадрів, яке здійснюється шляхом
зіставлення фактичної і планової питомої ваги чисельності кожної категорії
працівників в загальній чисельності промислово-виробничого персоналу.
Зміна питомої ваги категорій працівників в загальній їх чисельності
характеризується індексом, який визначається як відношення питомої ваги цієї
категорії працівників в звітному і базисних періодах. Встановлюються причини
зміни структури кадрів, вивчаються тенденції цього процесу на передових
підприємствах, а також нормативні документи, на підставі чого розробляються
відповідні заходи щодо раціоналізації структури кадрів.
Аналіз професійного складу кадрів проводиться методом зіставлення
фактичної і планової кількості робочих у кожній професії. Виявляється їх
надлишок або нестача. Надлишок робочих тієї або іншої професії приводить до їх
простоїв і недовантаження, зниження продуктивності праці, використання не за
призначенням, а нестача — до зриву термінів виконання завдань, понаднормових
робіт і т.д.
Кваліфікаційний склад робітників аналізують зіставленням рівня
кваліфікації робітників у кожній професії з кваліфікаційним рівнем (складністю)
робіт, тих які вони виконують. Узагальнюючим показником є середній тарифний
розряд. Фактичний рівень кваліфікації робітників порівнюють з середнім тарифним
розрядом робіт.
При плануванні додаткової потреби в працівниках обов'язково повинен
ураховуватися вихід персоналу з підприємства із різних причин. Число
робітників, фахівців та інших категорій.
При плануванні чисельності працівників дуже важливий аналіз руху і плинності кадрів.
Рівень інтенсивності руху працівників характеризують коефіцієнти обороту щодо
прийому і вибуття, плинності кадрів.
К-т обороту щодо прийому:

де Чпр – чисельність прийнятих на роботу;
ССЧ – середньоспискова чисельність, осіб.
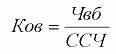
К-т обороту щодо вибуття:

де Чвб – чисельність вибулих за період, що визначаються.
К-т плинності кадрів визначається:
![]()
де Чзв – чисельність працівників, звільнених за прогули та інші
порушення трудової дисципліни, осіб. [3].
Причини вибуття працівників з підприємства можна згрупувати наступним чином:
- природний спад (вихід на пенсію через старість, інвалідність, смерть), призов
в армію, на навчання і ін.;
- звільнення внаслідок скорочення обсягу робіт, часткової ліквідації
підприємства, закінчення терміну договору і т. д.;
- вибуття у зв’язку з особистим бажанням, сімейними обставинами, за прогули та
з інших причин, не передбачених законом. Кількість робітників, звільнених із
цих причин, характеризує плинність кадрів.
Материалы на данной страницы взяты из открытых источников либо размещены пользователем в соответствии с договором-офертой сайта. Вы можете сообщить о нарушении.