ЛЕКЦИЯ НА ТЕМУ:
Ринковий попит і закон попиту
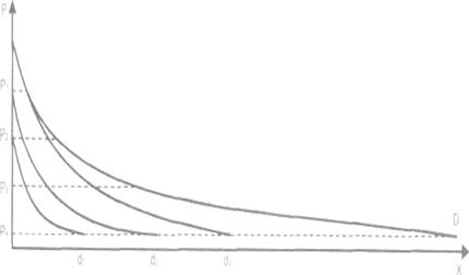
Ринковий попит — це сума індивідуальних попитів при певному рівні цін. Бажання різних споживачів придбати товар при однакових цінах будуть відрізнятися, тому що в них різні уподобання і доходи. Іншими словами, ринковий попит — це кількість товару, яку всі споживачі готові придбати за тими чи іншими цінами (табл 1).
Таблиця 1 Формування ринкового попиту

Як видно з табл. 1, при ціні 30 грн. лише третій споживач готовий придбати даний товар, тому ринковий попит співпадає з індивідуальним попитом третього споживача. При ціні 20 грн. ринковий попит вже формується як сума індивідуальних попитів третього і другого споживачів, а при цінах 10 і 4 грн. — як сума попитів усіх трьох споживачів.
Крива ринкового попиту показує загальний обсяг попиту всіх споживачів при будь-якій ціні. Вона будується як сума кривих індивідуальних попитів (рис. 1).
|
|
|
|
|
|
Рис. 1 - Ринковий попит X
Ринковий попит залежить від тих же факторів, що й індивідуальний, крім того, він залежить від кількості носіїв індивідуального попиту, тобто від кількості споживачів (рис .2).
|
|
Рис. 2 - Фактори ринкового попиту
Функція попиту — це залежність між величиною попиту та факторами, що на нього впливають. Найбільше впливає на попит ціна товару.
Функція попиту може бути задана рівнянням:
XD = f (P),
де XD — обсяг попиту, одиниць товару;
Р — ціна товару.
Досить стійка залежність між попитом на товар та його цінами дає змогу сформулювати закон попиту, який стверджує, що підвищення цін на певний товар призводить до зменшення обсягів попиту на нього і, навпаки, зниження цін сприяє збільшенню кількості товару, яку бажає придбати споживач.
На величину попиту, тобто на пересування точки по незмінній кривій попиту, впливає виключно ціна товару. Всі інші фактори, що впливають на попит, належать до нецінових. їхня дія призводить до пересування самої кривої попиту на графіку вправо (збільшення попиту) чи вліво (зменшення попиту).
До нецінових факторів ринкового попиту належать:
- зміна споживацьких переваг під впливом зміни потреб споживача, моди чи реклами;
- зміна цін на інші товари, зокрема товари-субститути чи то-вари-комплементи;
- кількість споживачів, які виходять на ринок цього товару;
- цінові очікування покупців;
- доходи споживачів.
У реальному житті жоден з перелічених факторів не діє відокремлена, у чистому вигляді. Вони переплітаються, утворюючи складну та суперечливу систему.
Материалы на данной страницы взяты из открытых источников либо размещены пользователем в соответствии с договором-офертой сайта. Вы можете сообщить о нарушении.