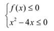
№1. Ниже показан график функции
.

а) Запишите решение
неравенства
.
б) Запишите решение
неравенства
.
в) Найдите решение системы

г) Найдите решение совокупности

Критерии оценивания:
Учащийся
- записывает ответ неравенства по графику;
- правильно находит решение квадратного неравенства;
- верно находит объединение числовых промежутков;
- верно записывает решение совокупности неравенств.
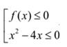
№2. Найдите область допустимых значений выражения:

Критерии оценивания:
Учащийся
- верно составляет систему неравенств;
- правильно находит решение квадратного неравенства;
- верно находит пересечение числовых промежутков;
- верно записывает решение системы неравенств.
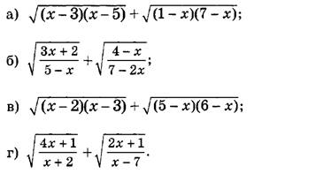
№3. Решите двойное неравенство:

Критерии оценивания:
Учащийся
- верно составляет систему неравенств;
- правильно находит решение квадратного неравенства;
- верно находит пересечение числовых промежутков;
- верно записывает решение двойного неравенства.
Материалы на данной страницы взяты из открытых источников либо размещены пользователем в соответствии с договором-офертой сайта. Вы можете сообщить о нарушении.