Практична робота № 4
1 Тема "Розробка ієрархічної структури підприємства"
2 Мета: засвоєння теоретичного матеріалу з питань "Функції менеджменту" та "Теоретичні основи побудови структур управління".
3 Матеріальне забезпечення: ручка, аркуші належної форми, зошит.
4 Вихідні данні: ІНДИВІДУАЛЬНІ ЗАВДАННЯ
5 Хід виконання:
5.1 Розглянути завдання у ІНДИВІДУАЛЬНОМУ ЗАВДАННІ
5.2 На основі вихідних даних (таблиця 1) необхідно:
- провести розрахунок чисельності працівників за функціями управління;
- визначити, які структурні підрозділи треба створити на підприємстві й кількість штатних одиниць у підрозділі;
- визначити кількість рівнів лінійного й функціонального керівництва.
5.3 Зробити висновки.
6 Контрольні запитання
6.1 Чим характеризується функція організації діяльності при різних видах організаційних структур управління?
6.2 Що таке культура організації?
6.3 Що нині характерне для розвитку організації в Україні»?
6.4 Неформальні організації в структурі управління підприємствами?
7 Література:
7.1 О.М.Гірняк, П.П. Лазановський «Менеджмент». Ст.61-91.
7.2 С.І. Михайлова «Менеджмент». Ст.136-164.
ІНДИВІДУАЛЬНІ ЗАВДАННЯ
Таблиця 1-ВИХІДНІ ДАНІ ДЛЯ ПОБУДОВИ СТРУКТУРИ УПРАВЛІННЯ
|
№ п/п |
Показники
|
ВАРІАНТИ |
|||||||||
|
|
|
1 |
2 |
3 |
4 |
5 |
6 |
7 |
8 |
9 |
10 |
|
1 |
Змінність роботи підприємства (Кз) |
1 |
2 |
2 |
2 |
2 |
2 |
1 |
1 |
1 |
2 |
|
2 |
Кількість робітників, чол. (Р) |
600 |
700 |
800 |
1000 |
1200 |
1400 |
500 |
750 |
550 |
1100 |
|
3 |
Норма керованості для керівників ланок нижчих ієрархічних рівнів (Нкн) |
2 5 |
25 |
25 |
30 |
30 |
30 |
25 |
25 |
25 |
30 |
|
4 |
Норма керованості для керівників ланок вищих ієрархічних рівнів (Нкв) |
5 |
4 |
5 |
6 |
5 |
6 |
4 |
5 |
4 |
6 |
Примітка: Норми керованості прийняті на основі даних діючих промислових підприємств державної форми власності.
Етапи розв'язку:
1. Розрахунок чисельності за функціями проводиться у таблиці 2.
Таблиця 2- РОЗРАХУНОК ЧИСЕЛЬНОСТІ ПРАЦІВНИКІВ УПРАВЛІННЯ
|
№ п/п |
ФУНКЦІЇ |
% від чисельності робітників |
Чисельність працівників управління |
|
1 |
Лінійне керівництво |
2.8-3.0 |
|
|
2 |
Оперативне управління основним виробництвом |
0.46-0.5 |
|
|
3 |
Розробка й вдосконалення технології |
1.0-1.2 |
|
|
4 |
Ремонтне і енергетичне обслуговування |
0.6-0.8 |
|
|
5 |
Контроль якості продукції |
0.5-0.8 |
|
|
6 |
Організація праці та заробітної плати |
0.75-1.0 |
|
|
7 |
Економічні дослідження й ціноутворення |
0.6-0.8 |
|
|
8 |
Бухгалтерський облік і фінансова діяльність |
1.3-1.5 |
|
|
9 |
МТЗ і маркетингова діяльність |
1.2- 1.3 |
|
|
10 |
Підготовка кадрів |
0.2-0.3 |
|
|
11 |
Загальне діловодство |
0.3-0.4 |
|
|
Всього |
|
|
|
2. Склад структурних підрозділів і штатна кількість працівників заповнюються в таблиці 3 на основі таблиць 4 і 5.
Таблиця 3 - СКЛАД СТРУКТУРНИХ ПІДРОЗДІЛІВ
|
№п/п |
Структурні підрозділи |
Кількість штатних одиниць, чол. |
|
1 |
Відділ праці і заробітної плати |
|
|
2 |
|
|
|
3 |
|
|
|
|
і т.д. |
|
Таблиця4 - НОРМА ФОРМУВАННЯ ПІДРОЗДІЛІВ АПАРАТУ УПРАВЛІННЯ
|
Підрозділ апарату управління |
Норми формування, чол. |
||
|
|
Економічні служби |
Технічні служби |
загального призначення |
|
Відділ |
більше 8 |
більше 10 |
більше 5 |
|
Бюро |
5-7 |
6-10 |
3-4 |
|
Група |
до 5 |
до 6 |
доз |
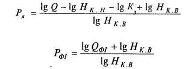
3. На основі таблиці 4 запроектувати схему структури управління, визначивши попередньо кількість рівнів лінійного (Рл) і функціонального (Рф) керівництва за формулами:

де Q — загальна чисельність працюючих, чол.
Qф1 — число виконавців по і-й функції, чол. У практичній роботі розраховується тільки для 3, 4, 6, 7, 8 функцій.
Наприклад, якщо Іф6= 3, то схема для функції організації праці та по заробітній платі має вигляд: заступник директора з економіки - відділ організації праці та заробітної плати - нормувальник цеху.
4. Розробка схеми розподілу функціональних обов'язків в апараті управління ВО, підприємства, цеху.
Для виконання завдання необхідно заповнити таблицю 5 (функції менеджменту), використовуючи такі умовні позначення:
П - планування;
О-організація;
К-контроль;
М - мотивація;
Об - облік;
Р - регулювання;
І - інформування, тобто надання інформації вищим органам;
Н - неучасть, тобто функціональний підрозділ не бере участі у вирішенні конкретної задачі.
Функції менеджменту розробляються за трьома завданнями індивідуально кожним студентом згідно з таблицею 5. Номер варіанту відповідає двом останнім цифрам залікової книжки або видається викладачем
|
Таблиця4.6. |
|
Таблиця4.6. |
Таблиця5 - ФУНКЦІОНАЛЬНІ ПІДРОЗДІЛИ
|
|
Умовні позначення:
ВО - Виробниче об'єднання.
ГД - Генеральний директор.
ВЕДіЦ - Відділ економічних досліджень і ціноутворення.
ВОПіЗП - Відділ організації праці і зарплати.
Завдання до розробки схеми розподілення функціональних обов'язків
1. Основна виробнича діяльність.
2. Технологічна підготовка виробництва.
3. Впровадження нової техніки.
4. Заходи з підвищення якості продукції.
5. Модернізація діючого обладнання.
6. Маркетингові дослідження.
7. Дотримання технологічної дисципліни.
8. Впровадження нової технології.
9. Проведення ремонту обладнання.
10. Матеріально-технічне забезпечення виробництва.
11. Збут продукції.
12. Зовнішньо - економічні зв'язки.
13. Заходи з охорони праці.
14. Підготовка кадрів.
15. Капітальне будівництво.
16. Впровадження комп'ютерної техніки.
17. Економічна оцінка і аналіз ефективності виробництва.
18. Розробка перспективних планів розвитку виробництва.
19. Розробка оперативних завдань виробничим підрозділом.
20. Ведення статистичного обліку.
21. Вдосконалення організації праці.
22. Вдосконалення систем оплати праці.
23. Переведення цеху на оренду.
24. Розробка технічно обґрунтованих норм часу та виробітку.
25. Розвиток соціальної інфраструктури.
26. Охорона навколишнього середовища.
27. Впровадження технічно обґрунтованих норм обслуговування устаткування.
28. Підготовка договору для виготовлення продукції на експорт.
Таблиця 6 Варіанти завдань
|
Номер варіанту |
Номер завдання |
Номер варіанту |
Номер завдання |
Номер варіанту |
Номер завдання |
|
01 |
/, 13, 23 |
35 |
11, 17, 27 |
69 |
9, 14, 25 |
|
02 |
2, 22, 24 |
36 |
12, 19, 28 |
70 |
10, 22, 25 |
|
03 |
3, 20, 25 |
37 |
1, 16, 23 |
71 |
11, 20, 27 |
|
04 |
4, 19, 26 |
38 |
2, 14, 24 |
72 |
12, 15, 28 |
|
05 |
5, 17, 27 |
39 |
3, 13, 25 |
73 |
1, 19, 23 |
|
06 |
6, 15, 28 |
40 |
4, 22, 26 |
74 |
2, 17, 24 |
|
07 |
7, 13, 23 |
41 |
50, 20, 27 |
75 |
3, 16, 25 |
|
08 |
8, 21, 24 |
42 |
6, 18, 28 |
76 |
4, 14, 26 |
|
09 |
Я 19, 25 |
43 |
7, 16, 23 |
77 |
5, 13, 27 |
|
10 |
10, 17, 23 |
44 |
8, 14, 24 |
78 |
6, 21, 28 |
|
11 |
11, 15, 27 |
45 |
9, 22, 25 |
79 |
7, 19, 23 |
|
12 |
12, 16, 28 |
46 |
10, 20, 26 |
80 |
8 17,24 |
|
13 |
1, 14, 24 |
47 |
11, 18, 27 |
81 |
9, 15, 25 |
|
14 |
2, 12, 25 |
48 |
12, 21, 28 |
82 |
10, 13, 26 |
|
15 |
3, 21, 26 |
49 |
1, 17, 25 |
83 |
11, 21, 27 |
|
16 |
4, 20, 27 |
50 |
2, 15, 26 |
84 |
12, 14, 28 |
|
17 |
5, 18, 28 |
51 |
3, 14, 27 |
85 |
1, 20, 26 |
|
18 |
6, 16, 23 |
52 |
4, 12, 28 |
86 |
2, 18, 27 |
|
19 |
7, 14, 23 |
53 |
5, 21, 23 |
87 |
3, 17, 28 |
|
20 |
8, 22, 25 |
54 |
6,19, 24 |
88 |
4, 15, 23 |
|
21 |
9, 20, 25 |
55 |
7, 17, 25 |
89 |
5, 14, 24 |
|
22 |
10, 18, 26 |
56 |
8, 15, 23 |
90 |
6, 22, 25 |
|
23 |
11, 16, 17 |
57 |
9, 13, 27 |
91 |
7, 20, 26 |
|
24 |
12, 17, 28 |
58 |
10, 21, 28 |
92 |
8, 18, 27 |
|
25 |
1, 15, 28 |
59 |
11, 19, 23 |
93 |
9, 16, 28 |
|
26 |
2, 13, 27 |
60 |
12, 22, 24 |
94 |
10,14, 28 |
|
27 |
3, 22, 26 |
61 |
1, 18, 25 |
95 |
11, 22, 27 |
|
28 |
4, 21, 25 |
62 |
2, 16, 26 |
96 |
12, 13, 26 |
|
29 |
5, 19, 27 |
63 |
3, 15, 27 |
97 |
1, 21, 23 |
|
ЗО |
6, 17, 28 |
64 |
4, 13, 28 |
98 |
2, 19, 24 |
|
31 |
7, 15, 23 |
65 |
5, 22, 23 |
99 |
3, 18, 25 |
|
32 |
8, 13, 24 |
66 |
6, 20, 24 |
00 |
4, 16, 26 |
|
33 |
9, 21, 25 |
67 |
7, 18, 25 |
|
|
|
34 |
10, 19, 28 |
68 |
8, 16, 26 |
|
|
Материалы на данной страницы взяты из открытых источников либо размещены пользователем в соответствии с договором-офертой сайта. Вы можете сообщить о нарушении.